![]() |
||||||||||||||||||||||||||||||||||||||||||||||||
| Главная
Рефераты по биологии Рефераты по экономике Рефераты по москвоведению Рефераты по экологии Краткое содержание произведений Рефераты по физкультуре и спорту Топики по английскому языку Рефераты по математике Рефераты по музыке Остальные рефераты Рефераты по авиации и космонавтике Рефераты по административному праву Рефераты по безопасности жизнедеятельности Рефераты по арбитражному процессу Рефераты по архитектуре Рефераты по астрономии Рефераты по банковскому делу Рефераты по биржевому делу Рефераты по ботанике и сельскому хозяйству Рефераты по бухгалтерскому учету и аудиту Рефераты по валютным отношениям Рефераты по ветеринарии Рефераты для военной кафедры Рефераты по географии Рефераты по геодезии Рефераты по геологии |
Реферат: Приложения производнойРеферат: Приложения производнойЛицей информационных технологий Реферат Производная и ее приложения Выполнил: ученик 11А класса Новиков А. Проверила: Шекера Г.В. г.Хабаровск 2004 СодержаниеВведение……………………………………………………………………………………….…31. Понятие производной……………………………………………………....………………....42. Геометрический смысл производной…………………….………………….......……..43. Физический смысл производной……………………………………………………….…….54. Правила дифференцирования………………………………………………………….……..65. Производные высших порядков……………………………………………………….……..76. Изучение функции с помощью производной6.1.Возрастание и убывание функции. Экстремум функции……………………………..86.2.Достаточные условия убывания и возрастания функции.Достаточные условия экстремума функции………………..…………………...…….116.3 .Правило нахождения экстремума………………………………………………….....12 6.4.Точка перегиба графика функции………………………………………………...…...126.5.Общая схема исследования функции и построение ее графика……………………..156.5. Касательная и нормаль к плоской кривой…………………………..………………..157.Экономическое приложение производной.7.1.Экономическая интерпретация производной………………………………...……….167.2. Применение производной в экономической теории...………………………..……..197.3. Использование производной для решения задач по экономической теории….…...218. Применение производной в физике…………………………………………………….…..239. Применение производной в алгебре9.1. Применение производной к доказательству неравенств…………………………....259.2. Применение производной в доказательстве тождеств………………………….…...289.3. Применение производной для упрощения алгебраическихи тригонометрических выражений……………………………………………….……299.4.Разложение выражения на множители с помощью производной…………………...309.5. Применение производной в вопросах существования корней уравнений………....31Заключение……………………………………………………………………………………...32Список литературы……………………………………………………………………………..33 Введение Понятие функции является одним из основных понятии математики. Оно не возникло сразу в таком виде, как мы им пользуемся сейчас, а, как и другие фундаментальные понятия прошло длинный путь диалектического и исторического развития. Идея функциональной зависимости восходит к древнегреческой математике. Например, изменение площади, объема фигуры в зависимости от изменения ее размеров. Однако древними греками идея функциональной зависимости осознавалась интуитивно. Уже в 16 - 17 в. в, техника, промышленность, мореходство поставили перед математикой задачи, которые нельзя было решить имеющимися методами математики постоянных величин. Нужны были новые математические методы, отличные от методов элементарной математики.
Впервые
термин "функция"
вводит в рассмотрение
знаменитый
немецкий математик
и философ Лейбниц
в
1694 г.
Однако, этот
термин (определения
он не дал вообще)
он употребляет
в узком смысле,
понимая под
функцией изменение
ординаты кривой
в зависимости
от изменения
ее абсциссы.
Таким образом,
понятие функции
носит у него
"геометрический
налет". В современных
терминах это
определение
связано с понятием
множества и
звучит так:
«Функция есть
произвольный
способ отображения
множества А
= {а} во множество
В = {в}, по которому
каждому элементу
а В математике XVII в. самым же большим достижением справедливо считается изобретение дифференциального и интегрального исчисления. Сформировалось оно в ряде сочинений Ньютона и Лейбница и их ближайших учеников. Введение в математику методов анализа бесконечно малых стало началом больших преобразований. Но наряду с интегральными методами складывались и методы дифференциальные. Вырабатывались элементы будущего дифференциального исчисления при решении задач, которые в настоящее время и решаются с помощью дифференцирования. В то время такие задачи были трех видов: определение касательных к кривым, нахождение максимумов и минимумов функций, отыскивание условий существования алгебраических уравнений квадратных корней. Первый в мире печатный курс дифференциального исчисления опубликовал в 1696 г. Лопиталь. Этот курс состоит из предисловия и 10 глав, в которых излагаются определения постоянных и переменных величин и дифференциала, объясняются употребляющиеся обозначения dx, dy, и др. Появление анализа бесконечно малых революционизировало всю математику, превратив ее в математику переменных величин. Исследование поведения различных систем (технические, экономические, экологические и др.) часто приводит к анализу и решению уравнений, включающих как параметры системы, так и скорости их изменения, аналитическим выражением которых являются производные. Такие уравнения, содержащие производные, называются дифференциальными. В своей же работе я хочу подробнее остановится на приложениях производной. 1. Понятие производнойПри решении различных задач геометрии, механики, физики и других отраслей знания возникла необходимость с помощью одного и того же аналитического процесса из данной функции y=f(x) получать новую функцию, которую называют производной функцией (или просто производной) данной функции f(x) и обозначают символом
Тот
процесс, с помощью
которого из
данной функции
f(x)
получают новую
функцию f
' (x), называют
дифференцированием
и состоит он
из следующих
трех шагов: 3)
считая x
постоянным,
а x
0,
находим Заметим,
что если при
некотором
значении x,
например при
x=a,
отношение
2. Геометрический смысл производной.Рассмотрим график функции у = f (х), дифференцируемой в окрестностях точки x0
f(x) Рассмотрим произвольную прямую, проходящую через точку графика функции - точку А(x0, f (х0)) и пересекающую график в некоторой точке B(x;f(x)). Такая прямая (АВ) называется секущей. Из ∆АВС: АС = ∆x; ВС =∆у; tgβ=∆y/∆x . Так как АС || Ox, то ALO = BAC = β (как соответственные при параллельных). Но ALO - это угол наклона секущей АВ к положительному направлению оси Ох. Значит, tgβ = k - угловой коэффициент прямой АВ. Теперь будем уменьшать ∆х, т.е. ∆х→ 0. При этом точка В будет приближаться к точке А по графику, а секущая АВ будет поворачиваться. Предельным положением секущей АВ при ∆х→ 0 будет прямая (a), называемая касательной к графику функции у = f (х) в точке А. Если
перейти к пределу
при ∆х → 0 в равенстве
tgβ
=∆y/∆x,
то получим Итак, геометрический смысл производной заключается в следующем: Производная функции в точке x0 равна угловому коэффициенту касательной к графику функции, проведенной в точке с абсциссой x0. 3. Физический смысл производной.Рассмотрим движение точки по прямой. Пусть задана координата точки в любой момент времени x(t). Известно (из курса физики), что средняя скорость за промежуток времени [t0; t0+ ∆t] равна отношению расстояния, пройденного за этот промежуток времени, на время, т.е. Vср = ∆x/∆t. Перейдем к пределу в последнем равенстве при ∆t → 0. lim Vср (t) = (t0) - мгновенная скорость в момент времени t0, ∆t → 0. а lim = ∆x/∆t = x'(t0) (по определению производной). Итак, (t) =x'(t). Физический смысл производной заключается в следующем: производная функции y = f(x) в точке x0 - это скорость изменения функции f (х) в точке x0 Производная применяется в физике для нахождения скорости по известной функции координаты от времени, ускорения по известной функции скорости от времени. (t) = x'(t) - скорость, a(f) = '(t) - ускорение, или a(t) = x"(t). Если известен закон движения материальной точки по окружности, то можно найти угловую скорость и угловое ускорение при вращательном движении: φ = φ(t) - изменение угла от времени, ω = φ'(t) - угловая скорость, ε = φ'(t) - угловое ускорение, или ε = φ"(t). Если известен закон распределения массы неоднородного стержня, то можно найти линейную плотность неоднородного стержня: m = m(х) - масса, x [0; l], l - длина стержня, р = m'(х) - линейная плотность. С помощью производной решаются задачи из теории упругости и гармонических колебаний. Так, по закону Гука F = -kx, x – переменная координата, k- коэффициент упругости пружины. Положив ω2 =k/m, получим дифференциальное уравнение пружинного маятника х"(t) + ω2x(t) = 0, где ω = √k/√m частота колебаний (l/c), k - жесткость пружины (H/m). Уравнение вида у" + ω2y = 0 называется уравнением гармонических колебаний (механических, электрических, электромагнитных). Решением таких уравнений является функция у = Asin(ωt + φ0) или у = Acos(ωt + φ0), где А - амплитуда колебаний, ω - циклическая частота, φ0 - начальная фаза. 4. Правила дифференцирования
Производная степенно-показательной функции
Логарифмическое
дифференцирование.
Пусть дана
функция
Так как по
первоначальному
предположению
Отношение
Формула
(2) дает простой
способ нахождения
производной
функции
5. Производные высших порядков Ясно,
что производная Если
функция f
' (x)
дифференцируема,
то её производная
обозначается
символом y''
=f '' (x) и
называется
второй
производной
функции f(x) или
производной
функции f(x) второго
порядка.
Пользуясь
обозначением
Очень
удобно пользоваться
также обозначением
Вообще
n-я
производная
или производная
n-го
порядка функции
y=f(x)
обозначается
символами
Дифференцируя производную первого порядка, можно получить производную второго порядка, а, дифференцируя полученную функцию, получаем производную третьего порядка и т.д. Тогда возникает вопрос: сколько производных высших порядков можно получить в случае произвольной функции. Например:
1)
Разные функции ведут себя по-разному при многократном дифференцировании. Одни имеют конечное количество производных высших порядков, другие – переходят сами в себя, а третьи, хотя и дифференцируемы бесконечное количество раз, но порождают новые функции, отличные от исходной. Однако все сформулированные теоремы о производных первых порядков выполняются для производных высших порядков. 6. Изучение функции с помощью производной6.1.Возрастание и убывание функции. Экстремум функции.Определение 1. Функция f(x) называется возрастающей в интервале (a,b), если при возрастании аргумента x в этом интервале соответствующие значения функции f(x) также возрастают, т.е. если f(x2) > f(x1) при x2 > x1.
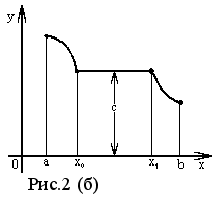
График возрастающей функции показан на рисунке1(а). Если из неравенства x2 > x1 вытекает нестрогое неравенство f (x2) f (x1), то функция f (x) называется неубывающей в интервале (a, b ). Пример такой функции показан на рисунке 2(а). На интервале [ x0 , x1 ] она сохраняет постоянное значение C Определение 2. Функция f (x) называется убывающей в интервале ( a, b ) если при возрастании аргумента x в этом интервале соответствующие значения функции f (x) убывают, т.е. если f(x2) < f(x1) при x2 > x1. Из
этого определения
следует, что
у убывающей
в интервале
( a, b )
функции
f (x)
в любой
точке этого
интервала
приращения
x
и
y
имеют
разные знаки. График
убывающей
функции показан
на рисунке
1(б). Е Значение
f (x0)
функции f
(x), при
котором выполняется
вышеуказанное
неравенство,
называется
максимальным
значением
функции f
(x) или
просто максимумом. принадлежащих
некоторой
достаточно
малой окрестности
точки x0
. На рисунке 4(б) изображена функция f (x), непрерывная в интервале ( a, b ). В интервале ( a, x0 ] она убывает, на интервале [ x0 , x1 ] - сохраняет постоянное значение: f (x0) = f (x1) = C, в интервале [ x1 , b ) - возрастает. Во всех точках, достаточно близких к x0 (или x1 ), значения функции f (x) удовлетворяют нестрогому неравенству f (x0)f (x). Значение
f (x0)
функции f
(x), при
котором выполняется
вышеуказанное
неравенство,
называется
минимальным
значением
функции f
(x) или
просто минимумом. достаточно
малой окрестности
точки x0
. Например функция, изображенная на рисунке 3, достигает наибольшего значения f (x) в точке x2 , наименьшего - в точке x1 интервала [ x0, x3 ]. На рисунке 5 изображена функция, имеющая бесконечное число минимумов и максимумов.
Таким образом, необходимым признаком существования в точке x0 экстремума функции f (x) является выполнение следующего условия: в точке x0 производная f' (x) или равна нулю, или не существует. Этот признак не является достаточным условием существования экстремума функции f (x) в точке x0 : можно привести много примеров функций, удовлетворяющих этому условию при x = x0 , но, однако, не достигающих экстремума при x = x0. Например, производная функции y = x3 при x0 = 0 равна нулю, однако эта функция при x0 = 0 не достигает экстремального значения. 6.2.Достаточные условия убывания и возрастания функции. Достаточные условия экстремума функции. Теорема
4.Если
функция f(x) имеет
в каждой точке
интервала
(a, b) неотрицательную
производную,
то она является
неубывающей
функцией в
этом интервале. Теорема
6. (первый
достаточный
признак экстремума).
Если
производная
f '(x) функции f(x)
обращается
в нуль в точке
x0
или не существует
и при переходе
через x0
меняет свой
знак, то функция
f(x) имеет в этой
точке экстремум
(максимум, если
знак меняется
с "+" на "-", и минимум,
если знак меняется
с "-" на "+"). 6.3 .Правило нахождения экстремума 1°. Чтобы найти экстремум функции, надо: 1) найти производную данной функции; 2) приравнять производную нулю и решить полученное уравнение; из полученных корней отобрать действительные и расположить их (для удобства) по их величине от меньшего к большему; в том случае, когда все корни оказываются мнимыми, данная функция не имеет экстремума; 3) определить знак производной в каждом из промежутков, отграниченных стационарными точками ( стационарными точками называют точки в которых производная равна 0); 4) если производная положительна в промежутке, лежащем слева от данной стационарной точки, и отрицательна в промежутке, лежащем справа от нес, то данная точка есть точка максимума функции, если же производная отрицательна слева и положительна справа от данной стационарной точки, то данная точка есть точка минимума функции; если производная имеет один и тот же знак как слева, так и справа от стационарной тонки, то в этой точке нет ни максимума, ни минимума, функции; 5) заменить в данном выражении функции аргумент значением, которое дает максимум или минимум функции; получим значение соответственно максимума или минимума функции. Если функция имеет точки разрыва, то эти точки должны быть включены в число стационарных точек, разбивающих Ох на промежутки, в которых определяется знак производной. 6.4.Точка перегиба графика функции.Будем говорить, что кривая y = f(x) в точке x0 обращена выпуклостью вверх, если существует такая окрестность точки x0 , что часть кривой, соответствующая этой окрестности, лежит под касательной к этой кривой, проведенной в точке A с абсциссой x0. (см. Рисунок 1а).
Из определения выпуклости вверх (вниз) кривой y = f(x) в точке x0 следует, что для любой точки x из интервала (x0 - h, x0 + h), не совпадающей с точкой x0, имеет место неравенство f(x) - y < 0 ( f(x) - y > 0) где f(x) - ордината точки M кривой y = f(x), y - ордината точки N касательной y - y0 = f '(x0 )(x - x0 ) к данной кривой в точке A. (смотри рисунок 1, а, б). Ясно, что и наоборот, если для любой точки x интервала (x0 - h, x0 + h), не совпадающей с x0, выполняется неравенство f(x) - y < 0 (f(x) - y > 0), то
кривая y = f(x)
в точке x0
обращена выпуклостью
вверх (вниз).
Таким образом мы показали, что если в интервале (a, b) кривая y = f(x) обращена выпуклостью вверх, то с увеличением аргумента x функция y = f '(x) убывает. Поэтому вторая производная f ''(x) функции f(x), как производная убывающей фунции f '(x), будет отрицательна или равна нулю в интервале (a, b): f ''(x)0.
Докажем, что и наоборот, если f ''(x)0 в некотором интервале (a, b), то в этом интервале кривая y = f (x) обращена выпуклостью вверх; если f ''(x)0 в интервале (a, b), то в этом интервале кривая обращена выпуклостью вниз. Запишем уравнение касательной y - y0 = f '(x0 )(x - x0 ) к кривой y = f (x) в точке x0, где a < x0 b, в виде y = y0 + f '(x0 )(x - x0 ). Очевидно, y0 = f(x0 ), а потому последнее уравнение можно записать в виде y = f(x0 ) + f '(x0 )(x - x0 ). (1) Но, согласно формуле Тейлора, при n = 2 имеем:
Фиксируя
x
в интервале
(a, b)
и вычитая почленно
из уравнения
(2) уравнение
(1), получим: Если f ''[x0 + (x - x0 )]0, где 0 < < 1, то имеем f(x) - y 0 откуда
следует, что
кривая y = f(x)
в точке x
обращена выпуклостью
вверх.
Теорема 8. Пусть функция f(x) имеет непрерывную вторую производную f ''(x) и пусть A[x0 ; f(x0 )] - точка перегиба кривой y = f(x). Тогда f ''(x0 ) = 0 или не существует. Доказательство. Рассмотрим для определенности случай, когда кривая y = f(x) в точке перегиба A[x0 ; f(x0 )] переходит от выпуклости вверх в выпуклости вниз (рис.4). Тогда при достаточно малом h в интервале (x0 - h, x0 ) вторая производная f ''(x) будет меньше нуля, а в инетрвале (x0, x0 +h) - больше нуля. Но f ''(x) - функция непрерывная, а потому, переходя от отрицательных значений к положительным, она при x = x0 обращается в нуль: f ''(x0 ) = 0.
Итак,
f ''(0)
не существует.
Но тем не менее
точка O(0; 0)
является точкой
перегиба, так
как при x < 0 f ''(x) > 0
и кривая выпукла
вниз, а при
x > 0 f ''(x) < 0
и кривая выпукла
вверх. Теорема
9. Если
вторая производная
f ''(x)
непрерывна
и меняет знак
при
x = x0,
то
точка
A[x0 ;
f(x0 )]
является
точкой перегиба
кривой
y = f(x)
при
условии, конечно,
что в точке
A
существует
касательная. 6.5.Общая схема исследования функции и построение ее графика. 1.
Находим область
определения
функции f(x) 6.6. Касательная и нормаль к плоской кривой. Нормалью
называется
прямая, проходящая
через точку
касания перпендикулярно
касательной.
поэтому ее
угловой коэффициент
равен
7.Экономическое приложение производной.7.1.Экономическая интерпретация производнойВ экономической теории активно используется понятие «маржинальный», что означает «предельный». Введение этого понятия в научный оборот в XIX веке позволило создать совершенно новый инструмент исследования и описания экономических явлений - инструмент, посредством которого стало возможно ставить и решать новый класс научных проблем. Классическая экономическая теория Смита, Рикардо, Милля обычно имела дело со средними величинами: средняя цена, средняя производительность труда и т.д. Но постепенно сложился иной подход. Существенные закономерности оказалось можно обнаружить в области предельных величин. Предельные или пограничные величины характеризуют не состояние (как суммарная или средняя величины.), а процесс, изменение экономического объекта. Следовательно, производная выступает как интенсивность изменения некоторого экономического объекта (процесса) по времени или относительно другого исследуемого фактора. Надо заметить, что экономика не всегда позволяет использовать предельные величины в силу прерывности (дискретности) экономических показателей во времени (например, годовых, квартальных, месячных и т.д.). В то же время во многих случаях можно отвлечься от дискретности и эффективно использовать предельные величины. Рассмотрим ситуацию: пусть y - издержки производства, а х - количество продукции, тогда x- прирост продукции, а y - приращение издержек производства.
В этом случае
производная
Г С С C(t) еометрическая интерпретация предельных издержек - это тангенс угла наклона касательной к кривой в данной точке (см. рис.).А E A налогичным образом могут быть определены и многие другие экономические величины, имеющие предельный характер.Д
Q B ругой пример - категория предельной выручки (MR— marginal revenue) — это дополнительный доход, полученный при переходе от производства n-ной к (n+1)-ой единице продукта.Она
представляет
собой первую
производную
от выручки:
При этом R= PQ, где R–выручка (revenue); P–цена (price). Таким
образом
Это равенство верно относительно условий совершенной конкуренции, когда экономические агенты каждый по отдельности не могут оказать влияния на цену. Обратимся к теориям потребления: кардиналистской и ординалистской. Кардиналистский (количественный) подход к теории цен предполагает равное влияние величин полезности товара и затрат на его производства на формирование цены. В основе рассматриваемого подхода - исследования А. Маршалла. Ординалистский (Порядковый) подход к теории цен разрабатывался И. Фишером, В. Парето. Суть данного подхода состоит в том, что потребители, имеющие определенный уровень доходов, сравнивают между собой цены и полезность различных наборов экономических благ и отдают предпочтение тем наборам, которые при сравнительно низких ценах имеют максимальную полезность для конкретного потребителя. В соответствии с первой, суммарную полезность U для любого субъекта, если в экономике существует n потребительских благ в объемах х1, x2,… хn, можно выразить в виде кардиналистской функции полезности: U= U(х1, x2,… xn). Предельные
полезности
MU товаров
выступают в
качестве ее
частных производных:
В ординалистской теории полагается, что потребитель оценивает полезность не отдельных благ, а потребительских наборов; что он способен сопоставить полезности наборов товаров. Ординалистская функция полезности исследована подробно, значительный вклад в ее изучение внес Дж. Хикс. После его трудов началось прогрессирующее вытеснение понятия "предельная полезность" категорией предельной нормы замещения (MRS – marginal rate of substitution). Предположим, что происходит замещение товара y товаром х при движении сверху вниз вдоль кривой безразличия. Предельная норма замещения товара y товаром x показывает, какое количество товара x необходимо для того, чтобы компенсировать потребительскую утрату единицы товара y. Они
определяются
так: Т.к. dy отрицательно, знак "-" вводится, чтобы MRS была больше нуля. Итак, предельная норма замещения геометрически есть касательная к кривой безразличия в данной точке. Значение предельной нормы замещения по абсолютной величине равно тангенсу угла наклона касательной к кривой безразличия. Приведем еще один пример элементарного анализа на микроуровне, который имеет аналог и на макроуровне. Любой индивид свой доход Y после уплаты налогов использует на потребление C и сбережение S. Ясно, что лица с низким доходом, как правило, целиком используют его на потребление, так что размер сбережения равен нулю. С ростом дохода субъект не только больше потребляет, но и больше сберегает. Как установлено теорией и подтверждено эмпирическими исследования, потребление и сбережение зависят от размера дохода: Y= C(Y) + S(Y). Зависимость потребления индивида от дохода называется функцией склонности к потреблению или функцией потребления.
Использование
производной
позволяет
определить
такую категорию,
как предельную
склонность
к потреблению
MPC (marginal property to consume), показывающую
долю прироста
личного потребления
в приросте
дохода:
По мере увеличения
доходов MPC
уменьшается.
Последовательно
определяя
сбережения
при каждом
значении дохода,
можно построить
функцию склонности
к сбережению
или функцию
сбережения. Долю
прироста сбережений
в приросте
дохода показывает
предельная
склонность
к сбережению
MPS(marginal propensity to save): С увеличением доходов MPS увеличивается.
Еще одним
примером
использования
производной
в экономике
является анализ
производственной
функции. Поскольку
ограниченность
ресурсов
принципиально
не устранима,
то решающее
значение приобретает
отдача от факторов
производства.
Здесь также
применима
производная,
как инструмент
исследования.
Пусть применяемый
капитал постоянен,
а затраты труда
увеличиваются.
Можно ввести
в экономический
анализ следующую
категорию -
предельный
продукт труда
MPL(marginal
product of labor) – это дополнительный
продукт, полученный
в результате
дополнительных
вложений труда
(L – labor) при неизменной
величине капитала: Если
вложения
осуществляются
достаточно
малыми порциями,
то
Аналогично,
MPk
- предельный
продукт капитала
- дополнительный
продукт, полученный
в результате
дополнительных
вложений капитала
K при
неизменной
величине труда:
Если вложения
осуществляются
малыми порциями,
то
MPk - характеризует предельную производительность капитала. Для исследования экономических процессов и решения других прикладных задач часто используется понятие эластичности функции. Определение: Эластичностью функции Еx(y) называется предел отношения относительного приращения функции y к относительному приращению переменной x при x0:
Эластичность функции показывает приближенно, на сколько процентов изменится функция y= f(x), при изменении независимой переменной x на 1%. Приведем
несколько
конкретных
иллюстраций
такой зависимости.
Прямой коэффициент
эластичности
спроса по цене
устанавливает,
на сколько
процентов
увеличивается
(уменьшается)
спрос Q на
товар i при
уменьшении
(увеличении)
его цены P
на 1%:
Перекрестный
коэффициент
эластичности
спроса по цене
Количественную
сторону взаимодействия
дохода и спроса
отражает коэффициент
эластичности
спроса по доходу,
который указывает,
на сколько
процентов
изменится
спрос на i-тый
товар Qi
если доход,
предназначенный
на текущее
потребление,
изменится на
1%: Можно привести и другие примеры использования производной при фокусировке различных категорий и закономерностей. Дальнейшее раскрытие экономического смысла хотелось бы осуществить через рассмотрение экономической интерпретации математических теорем. 7.2. Применение производной в экономической теории.Проанализировав экономический смысл производной, нетрудно заметить, что многие, в том числе базовых законы теории производства и потребления, спроса и предложения оказываются прямыми следствиями математических теорем. Вначале рассмотрим экономическую интерпретацию теоремы: если дифференцируемая на промежутке X функция y= f(x) достигает наибольшего или наименьшего значения во внутренней точке x0 этого промежутка, то производная функции в этой точке равна нулю, то есть f’(x0) = 0. Один из базовых законов теории производства звучит так: "Оптимальный для производителя уровень выпуска товара определяется равенством предельных издержек и предельного дохода". То есть уровень выпуска Qo является оптимальным для производителя, если MC(Qo)=MR(Qo), где MC - предельные издержки, а MR - предельный доход. Обозначим функцию прибыли за П(Q). Тогда П(Q) = R(Q) — C(Q), где R – прибыль, а C – общие издержки производства. Очевидно, что оптимальным уровнем производства является тот, при котором прибыль максимальна, то есть такое значение выпуска Qo, при котором функция П(Q) имеет экстремум (максимум). По теореме Ферма в этой точке П’(Q) = 0. Но П’(Q)=R’(Q) - C’(Q), поэтому R’(Qo) = C’(Qo), откуда следует, что MR(Qo) = MC(Qo). Другое важное понятие теории производства - это уровень наиболее экономичного производства, при котором средние издержки по производству товара минимальны. Соответствующий экономический закон гласит: “оптимальный объем производства определяется равенством средних и предельных издержек”. Получим
это условие
как следствие
сформулированной
выше теоремы.
Средние издержки
AC(Q) определяются
как
Понятие выпуклости функции также находит свою интерпретацию в экономической теории. Один из наиболее знаменитых экономических законов - закон убывающей доходности - звучит следующим образом: "с увеличением производства дополнительная продукция, полученная на каждую новую единицу ресурса (трудового, технологического и т.д.), с некоторого момента убывает".
Иными словами,
величина
Другим базисным понятием экономической теории является функция полезности U= U(x), где х - товар, а U – полезность (utility). Эта величина очень субъективная для каждого отдельного потребителя, но достаточно объективная для общества в целом. Закон убывающей полезности звучит следующим образом: с ростом количества товара, дополнительная полезность от каждой новой его единицы с некоторого момента убывает. Очевидно, этот закон можно переформулировать так: функция полезности является функцией, выпуклой вверх. В такой постановке закон убывающей полезности служит отправной точкой для математического исследования теории спроса и предложения. 7.3. Использование производной для решения задач по экономической теории.Задача 1. Цементный завод производит Х т. цемента в день. По договору он должен ежедневно поставлять строительной фирме не менее 20 т. цемента. Производственные мощности завода таковы, что выпуск цемента не может превышать 90 т. в день. Определить, при каком объеме производства удельные затраты будут наибольшими (наименьшими), если функция затрат имеет вид: К=-х3+98х2+200х. Удельные затраты составят К/х=-х2+98х+200 Наша задача сводится к отысканию наибольшего и наименьшего значения функции У= -х2+98х+200. На промежутке [20;90]. Вывод: x=49, критическая точка функции. Вычисляем значение функции на концах промежутках и в критической точке. f(20)=1760 f(49)=2601 f(90)=320. Таким образом, при выпуске 49 тонн цемента в день удельные издержки максимальны, это экономически не выгодно, а при выпуске 90 тонн в день минимально, следовательно можно посоветовать работать заводу на предельной мощности и находить возможности усовершенствовать технологию, так как дальше будет действовать закон убывающей доходности. И без реконструкции нельзя будет увеличить выпуск продукции. Задача 2.Задача: Предприятие производит Х единиц некоторой однородной продукции в месяц. Установлено, что зависимость финансовых накопления предприятия от объема выпуска выражается формулой f(x)=-0,02x^3+600x -1000. Исследовать потенциал предприятия. Функция исследуется с помощью производной. Получаем, что при Х=100 функция достигает максимума. Вывод: финансовые накопления предприятия растут с увеличением объема производства до 100 единиц, при х =100 они достигают максимума и объем накопления равен 39000 денежных единиц. Дальнейший рост производства приводит к сокращению финансовых накоплений. Задача 3. Спрос-это зависимость между ценой единицы товара и количеством товара, которое потребители готовы купить при каждой возможной цене, за определенный период времени и при прочих равных условиях. Зависимость
спроса от цены
описывается
функцией
Данная
функция исследуется
с помощью
производной:
Производная меньше нуля, если P>=0. Определим точку перегиба функции. Такой точкой является точка (0,5;0,6), т.е. при P1/2 спрос убывает все быстрее. |
|||||||||||||||||||||||||||||||||||||||||||||||
| p | (0, 1/2) | 1/2 |
|
|
|
| U'(p) | + | 0 | - | -0,47 | - |
| U''(p) | - | - | 0 | + | |
| U (p) |
возрастает выпукла |
0,3 max |
убывает выпукла |
0,2 точка перегиба |
убывает вогнута |
Вывод:
На промежутке (0, 1/2) функция возрастает все медленнее.
Соответствующая
часть графика
выпукла. Как
уже отмечалось,
дальнейшее
повышение цены
не выгодно.
Сначала выручка
убывает с
отрицательным
темпом
,
а затем темп
убывания V(p)
становится
положительным.
Для р > 0,9 выручка
убывает все
быстрее и
приближается
к нулю при
неограниченном
увеличении
цены. На промежутке
функция
U(p) вогнута. В
точке
график
перегибается
(см. на рисунке):

![]()
![]()
![]()
В физике производная применяется в основном для вычисления наибольших или наименьших значений для каких-либо величин.
Задача 1.
Лестница длиной 5м приставлена к стене таким образом, что верхний ее конец находится на высоте 4м. В некоторый момент времени лестница начинает падать, при этом верхний конец приближается к поверхности земли с постоянным ускорением 2 м/с2. С какой скоростью удаляется от стены нижний конец лестницы в тот момент, когда верхний конец находится на высоте 2м?

,так
как движение
равноускоренное.


сследуем
функцию P(R)
на наибольшее
с помощью
производной:
P’(R)
=
0 : r - R = 0, R = r = 50; При
R
= 50 функция P(R)
принимает
наибольшее
значение.
Следовательно,
потребляемая
мощность будет
наибольшей
при сопротивлении
R
=50 Ом.–
твет: 50 ОмОдно из простейших применений производной к доказательству неравенств основано на связи между возрастанием и убыванием функции на промежутке и знаком ее производной. С помощью теоремы Лагранжа доказана теорема:
Теорема 1.
Если функция
на
некотором
интервале
имеет
производную
всюду
на
,
то
на
монотонно
возрастает;
если же
всюду на
,
то
на
монотонно
убывает.
Очевидным следствием (и обобщением) этой теоремы является следующая:
Теорема
2. Если на
промежутке
выполняется
неравенство
,
функция
и
непрерывны
в точке
и
,
то на
выполняется
неравенство
.
Предлагаю несколько задач на доказательство неравенств с использованием этих теорем.
Задача 1.
Пусть
.Докажите
истинность
неравенства
.
(1)![]()
Решение:
Рассмотрим
на
функцию
.
Найдем ее
производную:
.
Видим, что
при
.
Следовательно,
на
убывает так,
что при
.
Но
Следовательно
неравенство
(1)
верно.
Задача 2.
Пусть
и
положительные
числа,
Тогда очевидно,
что
,
.
Можно ли гарантировать,
что неравенство
(2)
верно а) при
;
б) при
?
Решение:
а) Рассмотрим
функцию
.
Имеем:
![]()
Отсюда видно,
что при
функция
возрастает.
В частности,
она возрастает
на интервале
Поэтому при
неравенство
(2) справедливо.
б) на интервале
,
т.е.
убывает. Поэтому
при любых
и
,
для которых
,
неравенство
(2) неверно, а верно
неравенство
противоположного
смысла:
![]()
Задача 3.
Доказать
неравенство:
при
(3).
Воспользуемся
теоремой 2.
и
,
верно неравенство
:
на промежутке
и
выполнимо
условие
где
,
в данном случае
равно 0. Следовательно
неравенство
(3) верно.
Задача4. Доказать
неравенство:
(4).
Решение:
,
;
![]()
Неравенство
при любых
верно. Значит
неравенство
(4) верно.
Задача5. Доказать,
что если
,
то
(5).
Решение:
Пусть
Тогда
Чтобы найти,
при каких значениях
функция
положительная,
исследуем ее
производную
.
Так как при
то
![]()
Следовательно,
функция
возрастает
при
.
Учитывая, что
и
непрерывна,
получаем
,
при
.
Поэтому
возрастает
на рассматриваемом
интервале.
Поскольку
непрерывна
и
то
при
.
Неравенство
(5) верно.
Задача
6. Выясним, что
больше при
:
или
.
Решение:
Предстоит
сравнить с
числом 1 дробь
.
Рассмотрим
на
вспомогательную
функцию
.
Выясним,
будет ли она
монотонна на
отрезке
.
Для этого найдем
ее производную
(по правилу
дифференцирования
дроби):
![]()
при
.
В силу теоремы
1 функция
вырастает на
отрезке
.
Поэтому, при
т.е.
![]()
при
.
При решении
задачи (6)
встретился
полезный
методический
прием, если
нежно доказать
неравенство,
в котором участвует
несколько
букв, то часто
целесообразно
одну из букв
(в данном примере
это была буква
)
считать применимой
(чтобы подчеркнуть
это обстоятельство,
мы ее заменяли
буквой
,
а значение
остальных букв
(в данном случае
значение буквы
)
считать фиксированными.
Иногда приходится
при решении
одной задачи
применить
указанный
прием несколько
раз.
Задача 7.
Проверить,
справедливо
ли при любых
положительных
неравенство:
(6).
Решение:
Пусть
Рассмотрим
функцию
.
При
имеем
.
Отсюда видно
(теорема 1), что
убывает на
Поэтому при
имеем
т.е. мы получили
неравенство:
(7).
Теперь рассмотрим
другую вспомогательную
функцию
.
При
имеем:
![]()
Следовательно,
убывает
на
,
т.е.
при
значит,
(8),
Из неравенств (7) и (8) следует неравенство (6). Для выяснения истинности неравенств иногда удобно воспользоваться следующим утверждением, которое непосредственно вытекает из теоремы 1:
Теорема 3:
Пусть функция
непрерывна
на
и
пусть имеется
такая точка
с из
,
что
на
и
на
.
Тогда при любом
х из
справедливо
неравенство
причем равенство
имеет место
лишь при
.
Задача
8. Проверьте,
справедливо
ли для всех
действительных
х следующее
неравенство:
![]()
![]()
Решение: Выясним, где функция возрастает, а где убывает. Для этого найдем производную:
.
Видно, что
на
и
на
.
Следовательно,
в силу теоремы
3 т.е. неравенство
(9) справедливо,
причем равенство
имеет место
лишь при
.
Доказательства тождества можно достигнуть иногда, если воспользоваться одним очевидным замечанием:
Если на некотором интервале функция тождественно равна постоянной, то ее производная на этом интервале постоянно равна нулю:
на
на
.
Задача 1. Проверить тождество:
(1)
Доказательство: Рассмотрим функцию
![]()
Вычислим ее производную (по х):
![]()
Поэтому
(замечание)
.
Следовательно,
что равносильно
тождеству (1).
Задача 2. Проверить тождество:
(2)
Доказательство: Рассмотрим функцию
![]()
Докажем, что
![]()
Найдем ее производную:
![]()
![]()
![]()
![]()
Значит
.![]()
При х=0
,следовательно,тождество
(2) верно.
В связи с рассмотренными примерами можно отметить, что при нахождении постоянной, интегрирования С полезно фиксировать значения переменной, по которой производится дифференцирование, таким образом, чтобы получить возможно более простые выкладки.
Прием использования производной для преобразования алгебраических и тригонометрических выражений основан на том, производная иногда имеет значительно более простой вид, чем исходная функция, благодаря чему, она легко интегрируется, что и позволяет найти искомое преобразование исходного выражения:
Задача
1 Упростить
выражение:
Решение:
Обозначив
данное выражение
будем иметь:
![]()
![]()
![]()
Таким образом,
заданное выражение
(1) равно
.
Задача 2. Упростить выражение:
![]()
Решение:
Обозначив
это выражение
через
,
будем иметь:

отсюда
.
и при
получаем:
![]()
Так
что
![]()
Задача 3. Упростить запись функции:
(2)
Решение: Применение обычного аппарата тригонометрии приведёт к относительно громоздким выкладкам. Здесь удобнее воспользоваться производной:

Отсюда
![]()
Найдём
:
![]()
Таким
образом функция
(2) равна
![]()
Задача 4. Упростить запись многочлена:
(3)
Решение:
Обозначим
многочлен (3)
через
и найдём последовательно
первую и вторую
производные
этой функции:
![]()
![]()
Ясно,
что
Поэтому
,
где
,
найдём
:
при
,
.
Задача 1. Разложить на множители выражение:
(1)
Решение:
Считая
переменной,
а
и
постоянными
фиксированными
(параметрами)
и обозначая
заданное выражение
через
,
будем иметь:
![]()
Поэтому
(2)
где
-
постоянная,
т.е. в данном
случае - выражение,
зависящее от
параметров
и
.
Для нахождения
в равенстве
положим
тогда
.
Получим

Задача 2. Разложить на множители выражение:
(3)
Решение:
Поскольку
переменная
входит в данное
выражение в
наименьшей
степени, рассмотрим
его, как функцию
и будем иметь:

получим:

Таким
образом, исходное
выражение (3)
равно
![]()
Задача 3. Разложить на множители выражение:
![]()
Решение:
Обозначив
данное выражение
через
и считая
и
постоянными,
получим:
откуда
,
где
зависит только
от
и
.
Положив в этом
тождестве
,
получим
и

Для
разложения
на множители
второго множителя
используем
тот же приём,
но в качестве
переменной
рассмотрим
,
поскольку эта
переменная
входит в меньшей
степени, чем
.
Обозначая его
через
и считая
и
постоянными,
будем иметь:
![]()
отсюда:
![]()
![]()

Таким образом исходное выражение (4) равно
![]()
С помощью производной можно определить сколько решений имеет уравнение. Основную роль здесь играют исследование функций на монотонность, нахождение её экстремальных значений. Кроме того, используется свойство монотонных функций:
Задача
1. Если функция
возрастает
или убывает
на некотором
промежутке,
то на этом
промежутке
уравнение
имеет не более
одного корня.
(1)
Решение:
Область определения
данного уравнения
- промежуток
определение
на этом промежутке
функцию
,
положив
![]()
Тогда,
на
![]()
,
и
таким образом
функция
-
возрастающая,
так что данное
уравнение (1)
не может иметь
более одного
решения.
Задача
2. При каких
значениях
имеет решения
уравнение
(2)
Решение:
область определения
уравнения -
отрезок
,
рассмотрим
функцию
,
положив
![]()
Тогда
на открытом
промежутке
![]()
![]()
,
так что
-
единственная
критическая
точка функции
,
являющаяся,
очевидно, точкой
максимума.
Поскольку
то
примет наибольшее
значение при
,
а наименьшее
значение - при
.
Так
как функция
непрерывна,
то её область
значений
представляет
собой отрезок
,
между её наименьшим
и наибольшим
значением.
Другими словами,
исходное уравнение
(2) имеет решения
при
.
Заключение
Настоящая работа даёт учащимся новый подход к многим преобразованиям в математике, которые стандартным путём трудно разрешимы или разрешимы, но громоздкими способами. Рассмотренные подходы нестандартного характера для учащихся покажутся новыми и необыкновенными, что расширит их кругозор и повысит интерес к производной.
Итак, геометрический смысл производной: производная функции в точке x0 равна угловому коэффициенту касательной к графику функции, проведенной в точке с абсциссой x0.
Физический смысл производной: производная функции y = f(x) в точке x0 - это скорость изменения функции f (х) в точке x0
Экономический смысл производной: производная выступает как интенсивность изменения некоторого экономического объекта (процесса) по времени или относительно другого исследуемого фактора.
Производная находит широкое приложение в физике для нахождения скорости по известной функции координаты от времени, ускорения по известной функции скорости от времени; для нахождения наибольших и наименьших величин.
Производная является важнейшим инструментом экономического анализа, позволяющим углубить геометрический и математический смысл экономических понятий, а также выразить ряд экономических законов с помощью математических формул.
Наиболее актуально использование производной в предельном анализе, то есть при исследовании предельных величин (предельные издержки, предельная выручка, предельная производительность труда или других факторов производства и т. д.).
Производная применяется в экономической теории. Многие, в том числе базовые, законы теории производства и потребления, спроса и предложения оказываются прямыми следствиями математических теорем
Знание производной позволяет решать многочисленные задачи по экономической теории, физике, алгебре и геометрии.
