реферат
Главная

Рефераты по биологии

Рефераты по экономике

Рефераты по москвоведению

Рефераты по экологии

Краткое содержание произведений

Рефераты по физкультуре и спорту

Топики по английскому языку

Рефераты по математике

Рефераты по музыке

Остальные рефераты

Рефераты по авиации и космонавтике

Рефераты по административному праву

Рефераты по безопасности жизнедеятельности

Рефераты по арбитражному процессу

Рефераты по архитектуре

Рефераты по астрономии

Рефераты по банковскому делу

Рефераты по биржевому делу

Рефераты по ботанике и сельскому хозяйству

Рефераты по бухгалтерскому учету и аудиту

Рефераты по валютным отношениям

Рефераты по ветеринарии

Рефераты для военной кафедры

Рефераты по географии

Рефераты по геодезии

Рефераты по геологии

Реферат: Построение решения задачи Гурса для телеграфного уравнения методом Римана

Реферат: Построение решения задачи Гурса для телеграфного уравнения методом Римана

Міністерство освіти та науки України

Дніпропетровський національний університет


Механіко-математичний факультет

Кафедра диференційних рівнянь

Випускна робота

Побудова розв’язку задачі Гурса

для телеграфного рівняння методом Рімана

Виконав: студент гр. МЕ-97-2                 Керівник: проф. Остапенко В.О.

                  Коленкін О.О.                                

                                                                     “___” _________2001.______

Допущено до захисту:                               Рецензент:доц. Грішин В.Б.

Завідувач кафедрою Поляков М.В.                   

“___” _________2001._______                 “ ___” _________2001.______

Дніпропетровськ.

2001
Зміст.

Реферат................................................................................................... 4

The summary.......................................................................................... 5

Вступ....................................................................................................... 6

§1. Постановка задачі.......................................................................... 8

§2. Приведення до канонічного вигляду гіперболічного рівняння другого порядку з двома незалежними змінними. Характеристики............................. 9

§3. Формула Остроградського-Гаусса............................................. 12

§4. Існування та єдиність розв’язку задачі Гурса.......................... 13

§5. Спряжені диференційні оператори............................................. 19

§6. Побудова розв’язку...................................................................... 21

§7. Деякі приклади на знаходження фунції Рімана....................... 25

Висновок.............................................................................................. 31

Список використованої літератури:................................................ 32


Реферат

Сторінок: 31, рисунків: 2, джерел: 4.

Ключеві слова: рівняння гіперболічного типу, характеристики, задача Гурса, метод послідовних наближень, спряжений оператор, формула Гріна, функція Рімана.

Мета роботи: в даній роботі необхідно ознайомитись з методом отримання розв’язку задачі Гурса для телеграфного рівняння (1.1) з початковими умовами (1.2); довести існування та єдиність цього розв’язку; навести приклади та вказати області вживання цього методу у прикладних науках.


The summary. In the given operation some questions, concerning equations in partial derivatives of the second order with two explanatory variables of hyperbolic type are considered. The algorithm of coercion to a canonical form of these equations is shown, definition of characteristics is given. The method of construction of solution of Gourses problem for the telegraphic equation is stated. Existence and uniqueness of solution of Gourses problem is proved. Some questions concerning of conjugate differential operators, in particular, are considered is obtained the important formula (Green's formula) on which usage Rimahn’s method leans. Auxiliary function (Rimahn’s function (6.4)) is entered. The number of examples on finding of this function is given.  
Вступ У світі, який нас оточує, відбувається багато різних процесів – фізичні, хімічні, біологічні та інші. Для вивчання цих процесів будують математичні моделі. Велика кількість задач зводиться до рівнянь у частинних похідних. Великий інтерес являє собою знаходження розв’яків для систем рівнянь, які підпорядковуються тим або іншим додатковим умовам. Ці додаткові умови, як правило, являють собою  задання невідомих функцій та деяких їхніх похідних на межі області, в якої шукається розв’язок, або складаються у тому, що невідомим функціям предписується той або інший характер властивості. В загальному випадку ці додаткові умови називаються граничними умовами. Задачі на відшукання розв’язків системи рівнянь у частинних похідних, підлеглих вказаним додатковим умовам, в загальному випадку називаються граничними задачами. Прикладом граничної задачі може бути задача Гурса. Граничні задачі Гурса використовують для описання процесів сорбції, десорбції, сушки, процесів каталітичних хімічних реакцій та деяких інших процесів.

Німецьким математиком Ріманом (17.09.1826 – 30.07.1866) був пропонований важливий метод інтегрування рівняння (1.1), який базується на використанні формули Гріна (5.2). Цей метод дозволяє виразити в явному вигляді шукаємий розв’язок задачі Гурса через граничні умови (1.2).

Робота складається з вступу, заключення та семи параграфів. Зробимо коротенький огляд кожного параграфу.

В §1 цієї роботи наведена постановка задачі Гурса. На рисунку 1 показана область D, в якій необхідно знайти розв’язок цієї задачі.

§2 присвячен деяким загальним питанням рівнянь у частинних похідних. Показан алгоритм приведення до канонічного вигляду гіперболічного рівняння у частинних похідних другого порядку з двома незалежними змінними. Дано означення характеристик.

§3 є допоміжним параграфом. У ньому наведено формулу  перетворення поверхневих інтегралів у об’ємні (3.2).

В §4 методом послідовних наближень доводиться існування та єдиність  розв’язку задачі Гурса.

§5 торкається питання спряжених диференційних операторів. Показано, що вираз vLu – uMv, де Mv – оператор, спряжений до Lu, можна зобразити як суму частинних похідних від деякіх виразів. Отримана формула Гріна (5.2).

§6 є основним параграфом в даній роботі. У ньому викладен метод Рімана. Шляхом введеня допоміжної функції (функції Рімана (6.4)) отримано розв’язок задачі Гурса у явному вигляді.

В §7 наведено деякі приклади знаходження функції Рімана.


 §1. Постановка задачі.

Нехай дано рівняння

                 (1.1)

Треба знайти розв’язок цього рівняння в області D(рис. 1)

якщо задані крайові умови

u(x0, t) = j(t);

 u(x, t0) = y(x),                                          (1.2)

при цьому функції j(t) та y(x) ддиференцьовані, та задовільнюють умові спряження

j(t0) = y(x0).

Така задача називається задачею з даними на характкристиках, або задачею Гурса.


D

Рис. 1


§2. Приведення до канонічного вигляду гіперболічного рівняння другого порядку з двома незалежними змінними. Характеристики.

Розглянемо рівняння другого порядку з двома незалежними змінними

,            (2.1)

де коефіцієнти А, В та С – функції від x та y, які мають неперервні похідні до другого порядку включно у області WÌ R. За допомогою перетворення змінних

x = j(х, у), h = y(х, у),

яке припускає обернене перетворення, ми отримуємо нове рівняння, еквівалентне рівнянню (2.1). При цьому будемо мати

(2.2)

підставляючи значення похідних з(2.2) в (2.1), будемо мати:

,                           (2.3)

де

,

а функція  не залежить від других похідних. Замітимо, що якщо рівняння (2.1) було лінійно, то й рівняння (2.3) буде лінійним.

Рівняння (2.1) пов’язано з рівнянням:

Аdy2+2Вdydx+Сdx2=0                             (2.4)

яке має назву рівнянням характеристичних змінних, а його інтеграли – характеристиками для рівняння (2.1).

                                 (2.5)

Нехай j(x,y)=const є загальним інтегралом рівняння (2.4), тоді покладемо x=j(x,y) і коефіцієнт  буде дорівнювати нулю, якщо y(x,y)= const другий, відмінний від першого інтеграл, то заміною h=y(x,y) ми доб’ємось, щоб =0.

Як видно з формули (2.5), рівняння (2.4) може мати різні розв’язки, один розв’язок або не мати розв’язків взагалі в залежності від знаку В2–АС.

Рівняння (2.1) у деякій точці М(x,y) будемо називати:

1) рівнянням гіперболічного типу, якщо В2–АС>0;

2) рівнянням параболічного типу, якщо В2–АС=0;

3) рівнянням параболічного типу, якщо В2–АС<0.

Відмітимо, що при довільній заміні змінних (2.2) виконується рівність

тобто при будь – якому перетворенні змінних, у якого якобіан відмінний від нуля, тип рівняння (2.1) не змінюється.

Розглянемо випадок, коли рівняння (2.1) має гіперболічний тип у деякій області GÌW. У цій області характеристичне рівняння має два різних загальних інтеграла j(x,y)=const та y(x,y)=const.

Зробимо заміну описану вище: x=j(x,y) та h=y(x,y), отримаємо:

                         (2.6)

де

Рівняння (2.6) називається канонічною формою рівнянь гіпер-болічного типу. Покажемо, що характеристиками рівняння (2.6) будуть прямі, паралельні координатним осям, тобто x = const, h = const.

Для (2.6) рівнянням характеристичних змінних буде

dxdh = 0.

Звідки будемо мати

x = const, h = const.

§3. Формула Остроградського-Гаусса.

Нехай P(x, y, z), Q(x, y, z) и R(x, y, z) – три функциї змінних x, y, z, які задані у області D’ и мають в ній неперервні похідні першого порядку по x, по y та по z.

Розглянемо у D’ деяку замкнену поверхню S, яка складається з скінченного числа кусків з неперервно змінюючеюся на них дотичною площиною.

Таку поверхню називають кусочно-гладкою. Ми будемо, крім того, вважати, що прямі, паралельні координатним осям, зустрічають її або у скінченному числі точок, або мають загальним цілий відрізок.

Розглянемо інтеграл

,                       (3.1)

де через cos(nx), cos(ny), cos(nz) обозначені косінуси кутов, які  складені внутрішньою нормаллю до поверхні S з осями координат, а dS – додатній елемент поверхні. користуючись векторними позначеннями, ми можемо вважати P, Q, R компонентами деякого вектора, який позначимо літерою Т. Тоді

P cos(nx) + Q cos(ny) + Rcos(nz) = Tn,

де Tn – проєкція вектора Т на напрям внутрішньої нормалі.

Класична теорема з інтегрального счислення дозволяє перейти від поверхневого інтегралу (3.1) до об’ємного, расповсюдженого на область D, обмежену гладкою поверхнею S (яка задовольняє всім обмеженням, які було наведено вище). Ми будемо мати:

або у векторних позначеннях

                                     (3.2)

где dv означає диференціал об’єму, а

.

Приведена нами формула справедлива у більш загальних припущеннях відносно S. Зокрема, формула (3.2) має місце для будь-якій кусочно – гладкої поверхні S, яка обмежує деяку область D.

§4. Існування та єдиність розв’язку задачі Гурса.

Розглянемо найпростішу задачу з даними на характеристиках

                                         (4.1)

Додаткові умови даються на прямих x = 0 та t = 0, які, як було доведено вище, є характеристиками рівняння (4.1). Будемо вважати, що функції j(x) та y(t) диференцюємі та задовольняють умові спряжіння j(0) = y(0). Інтегруючи послідовно по x та по t рівняння (4.1), отримуємо:

або

                    (4.2)

Таким чином, для найпростішого рівняння, яке не містить перших похідних  та шукаємої функції, розв’язок представляється у явному аналітичному вигляді (4.2). З формули (4.2) безпосередньо слідує єдиність та існування розв’язку поставленої задачі.

Перейдемо до розв’язку лінійного рівняння гіперболічного типу

              (4.3)

при додаткових умовах на характеристиках x = 0, t = 0

u(x, 0) = j(x),

u(0, t) = y(t),                                              (4.4)

де j(x) та y(t) задовільнюють вимогам диференцюємості та спряження. Коефіцієнти a, b та c будемо вважати неперервними функціями x та t.

Формула (4.3) показує, що функція u(x, t) задовільнює інтегро-диференційному рівнянню

             (4.5)

Для доведення існування та єдиності розв’язку рівняння (4.5) скористаємось методом послідовних наближень. Виберемо в якості нульового наближення функцію

u(x, t) = 0.

Тоді (4.5) дає для послідовних наближень слідуючі вирази:

                 (4.6)

Зауважимо, що

   (4.7)

Доведемо рівномірну збіжність послідовностей

{un(x, t)}, , .

Для цього розглянемо різниці

Нехай М – верхня межа абсолютних величин коефіцієнтів a(x, t),

b(x, t), c(x, t) та H – верхня межа абсолютних величин z0 = u1(x, t) та її похідних

|z0| < H,

при зміні x та t всередині деякого квадрату (0 £ x £ L, 0 £ t £ L). Побудуємо мажорантні оцінки для функцій  Очевидно, що

Припустимо, що мають місце рекурентні оцінки

де К > 0 – деяке стале число, значення якого наведемо нижче. Користуючись ціми оцінками та формулою для (n+1)-го наближення після деяких спрощінь, які посилюють нерівність, маємо:

де

K = L + 2.

В правих частинах цих нерівностей з точністю до множників пропорційності стоять загальні члени розкладання функції е2KLM. Ці оцінки показують, що послідовності функцій

збігаються рівномірно до граничних функцій, котрі ми зазначимо

Переходячи до границі під знаком інтегралу у формулах (4.6) та (4.7), будемо мати:

Звідси випливають рівності

,

які дозволяють встановити, що функція u(x, t) задовільнює інтегро-диференційному рівнянню

                   (4.5)

а також диференційному рівнянню (4.3), що перевіряється безпосереднім диференціюванням рівняння (4.5) по x та по t. Функція

 задовільнює також додатковим умовам.

Доведемо тепер єдиність розв’язку задачі (4.3)-(4.4). Припустимо існування двох розв’язків u1(x, t) та u2(x, t). Отримуємо для їх різниці

U(x, t) = u1(x, t) – u2(x, t)

однорідне інтегро-диференційне рівняння

Позначаючи далі через H1 верхню межу абсолютних величин

, ,

для 0 £ x £ L, 0 £ t £ L та повторюючи оцінки, які було проведено для функцій zn(x, t), переконуємось у справедливості нерівності

для будь-якого значення n. Звідси і випливає

U(x, t) º 0 або u1(x, t) º u2(x, t),

що і доводить єдиність розв’язку задачі Гурса.

§5. Спряжені диференційні оператори.

Розглянемо лінійний диференційний оператор 2-го порядку

,

де Aij, Bi и C є двічі диференцюємими функціями x1,x2,…,xn.

Назвем оператор

спряженим з оператором Lu.

Якщо оператор L співпадає з спряженим йому оператором M, то такий оператор називають самоспряженим.

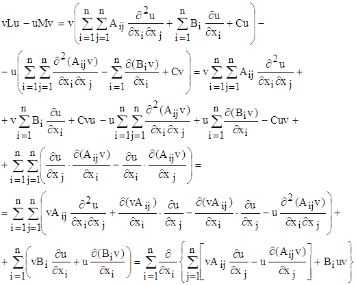
Розглянемо різницю

.

При отриманні цього виразу ми додали суму

,

але вона дорівнює нулю, так що значення виразу не змінилося.

Одже, вираз vLu – uMv являє собою суму частинних похідних по xi від деяких виразів Pi, тобто

,

де

.

Розглянемо тепер деякий n-мірний об’єм W, який обмежений кусочно-гладкою поверхнею S.

Користуючись формулою Остроградського-Гауса (3.2), будемо мати

,                 (5.1)

де cos(nx1), cos(nx2),… - направляючі косінуси внутрешньої нормалі до S.

Формула (5.1) носить назву формули Гріна.

Розглянемо рівняння (1.1). Оператори Lu, Mv, а також функції P1 та P2 будуть мати вигляд:

При цьому формула Гріна дає (нормаль внутрішня)

        (5.2)

§6. Побудова розв’язку.

Будувати розв’язок будемо методом Рімана, який полягає на використовуванні формули Гріна та дає рішення задачі (1.1) через граничні умови (1.2).

Нехай нам потрібно знайти значення функції u у деякій точці М області (x > x0, t > t0 ) з координатами (x1, t1).

Проведемо через точку М (рис. 2) з координатами (x1, t1) дві прямі, які паралельні координатним осям. Нехай точка P(x0, t1) – це точка перети-ну прямих x = x0 та t = t1, а точка  Q(x1, t0) – точка перетину прямих

x = x1 та t = t0. Прямі х = х0, х = х1, t = t0, t = t1 як було показано раніше, є характеристиками рівняння (1.1). Область W буде являти собою прямокутник MPRQ. У цій області ми можемо застосувати метод Рімана для знаходження розв’язку.

Якщо враховувати, що обіг області W відбувається проти годинни-кової стрілки, так що обігаєма площа завжди залишається зліва, формулу (5.2) можна записати у вигляді

         (5.2’)

З рисунку 2 бачимо, що при цьому

dx = cos(nt)dS,

dt = - cos(nx)dS.

За умови u(x0, t) = j(t) отримуємо:

= 0; = j’(t).

За умови u(x, t0) = y(x), отримуємо:

= 0; = y’(x).


Рис. 2

Якщо застосувати формулу (5.2’) до прямокутника MPRQ, враховуючи, що на характеристиках QM та PR змінюється лише t, а на характерис-тиках MP та RQ змінюється лише x ,будемо мати:

    (6.1)

Перетворимо кожен з інтегралів, який стоїть у правій частині (6.1):

   (6.2.1)

   (6.2.2)

   (6.2.3)

   (6.2.4)

Нехай тепер v(x, t, x1, t1) – деяка функція, яка задовільнює умовам:

Mv = 0,                                                      (6.4)

, .

При цьому

v(x1, t1, x1, t1) = 1,

            (6.5)

Розв’язок v(x, t, x1, t1) однорідного спряженого рівняння (6.4), який задовільнює умовам (6.5), називається функцією Рімана. Ця функція не залежить від початкових даних (1.2), та для неї точка (x, t) грає роль аргументу, а точка (x1, t1) – роль параметру. Існування та єдиність такої функції v було доказано методом послідовних наближень.

Оскільки на прямій MP t = t1, а на прямій QM x = x1, то останні члени у формулах (6.2.1) та (6.2.2) обертаються в нуль, і ми отримаємо:

.

Формулу (6.1) тепер можна записати у вигляді:

Приводячи подібні, та враховуючи, що  v(x1, t1, x1, t1) = 1, u(x0,t) = j(t), u(x, t0) = y(x) та ; = y’(x), маємо:

Звідки знаходимо розв’язок нашої задачі

                 (6.6)

Як ми бачимо, формула (6.6) дозволяє у явному вигляді написати розв’язок данної задачі, оскільки точку М(x1, t1) ми вибрали довільно.

§7. Деякі приклади на знаходження фунції Рімана.

Приклад 1.

Знайдемо функцію Рімана для рівняння

.                               (7.1)

Зробивши заміну змінних

рівняння (7.1) приводиться до канонічного вигляду

при цьому будемо мати a = 0, b = -.

Звернемося тепер до відшукання фунції Рімана v(x, h, x1, h1). Згідно загальної теорії, вона повинна задовольняти спряженому рівнянню

                                     (7.2)

та умовам на характеристиках, які проходять через точку (x1, h1):

                               (7.3)

неважко вконатися, що функція

задовільнює як рівнянню (7.2), так і умовам (7.3), слід, це і є шукана функція Рімана.

Приклад 2.

Знайдемо функцію Рімана для рівняння

(x > 0)                               (7.4)

приведемо рівняння (7.4) до канонічного вигляду, для чого складемо рівняння характерстик

xdt2 – dx2 = 0

це рівняння має два різних інтеграла

+ = C1,  - = C1,

слід, треба ввести нові змінні x та h за формулами

x = + , h = -  (x >0)

приєднаємо до цих рівностей ще одну залежність

тоді рівняння (7.4) перетвориться до канонічного вигляду:

при цьому будемо мати a = 0, b = 0.

Для відшукання функії Рімана нам потрібно знайти частинний розв’язок спряженого рівняння

                                  (7.5)

який задовольняв би слідуючим умовам на характеристиках, проведених через точку (x1, h1)

                                      (7.6)

Будемо шукати розв’язок рівняння (7.1) у вигляді v = G(s), де

s =.

Тоді для G(s) ми отримаємо слідуюче рівняння:

s(1-s)G’’(s) + (1-2s)G’(s) - G(s) = 0

Це рівняння частинним випадком гіпер геометрічного рівняння Гаусса

s(1-s)y’’ + [g - (1 + a + b)s]y’ - aby = 0

при a = b = , g = 1.

Рівняння Гаусса припускає частинний розв’язок у вигляді гіпергеометрічного ряду

який збігається абсолютно при |s| < 1.

Звідки ясно, що взявши

v = G(s) = F= 1 +

ми задовільним рівнянню (7.5) та усмовам (7.6). Слід, функція

і є функцією Рімана.

Приклад 3.

Знайдемо функцію Рімана для телеграфного рівняння

якщо ввести нову функцію u(x, t) поклавши

                                                (7.7)

то рівняння (7.7) більш просту форму

,                                      (7.8)

де a = , b = .

За допомогою заміни змінних

x = (x + at), h = (x - at)

приведемо рівняння (7.8) до канонічного вигляду

при цьому маємо a = b = 0.

Функція Рімана повинна задовільнювати спряженому рівнянню

,                                           (7.9)

та на характеристиках x = x1, h = h1 дорівнює одиниці.

Будемо шукати розв’язок рівняння (7.9) у вигляді

.

Підставивши цей вираз та пізначивши через l корінь , знайдемо, що функція v задовільнює звичайному диференційному рівнянню

G’’(l) + G’(l)+G(l)=0,

Лінійно незалежними розв’язками якого є функція Бесселя нульового порядку

та функція Неймана N0(l), основною властивістю якої є , слід, вона не може бути шуканою функцією.

Тобто, якщо взяти

v = J0(l)

отримаємо розв’язок рівняння (7.9), який обертається на характерис-тиках x = x1, h = h1 у одиницю, оскільки тут l = 0.

Таким чином, функція Рімана знайдена, вона має вигляд:

.


Висновок.

В даній роботі розглянуто задачу Гурса для телеграфного рівняння. Було доведено, що розв’язок цієї задачі існує та що він єдиний. Завдяки використанню метода Рімана ми отримали цей розв’язок у явному вигляді. На прикладах ми показали, що знаходження функції Рімана зводиться до розв’язання звичайних диференйійних рівнянь, таких як рівняння Бесселя або гіпергеометричного рівняння Гаусса.

 


Список використованої літератури:

1.   Кошляков Н. С., Глинер Э. Б., Смирнов М. М. Уравнения в частных производных математической физики. «Высшая школа». Москва. 1970 г.

2.   Положий Г. Н. Уравнения математической физики. «Высшая школа». Москва. 1964 г.

3.   Соболев С. Л. Уравнения математической физики. «Наука». Москва. 1964 г.

4.   Тихонов А.Н., Самарский А.А. Уравнения математической физики. «Наука». Москва. 1977 г.


 
© 2012 Рефераты, доклады, дипломные и курсовые работы.