Реферат: Основные понятия дифференциального исчисления и история их развития (Бакалавр)
Реферат: Основные понятия дифференциального исчисления и история их развития (Бакалавр)
Министерство
общего и профессионального
образования
Астраханский
Государственный
Педагогический
Университет
Бакалаврская
работа
Студентки
IV курса физико–математического
факультета
Ночевной
Светланы Павловны
Кафедра:
Математического
анализа
Тема:
Основные
понятия дифференциального
исчисления
и история
их развития
Научный
руководитель
ст.
преподаватель
Пономарёва
Н.Г.
Астрахань
1998 г.
План.
Основные понятия
дифференциального
исчисления
функций одной
переменной.
Определение
производной
и её геометрический
смысл.
Дифференциальные
функции. Определение
дифференциала.
Инвариантность
формы первого
дифференциала.
Дифференциал
суммы, произведения
и частного.
Геометрическая
интерпретация
дифференциала.
Основные понятия
интегрального
исчисления
функций одной
переменной.
Первообразная
функция и
неопределённый
интеграл.
Геометрический
смысл неопределённого
интеграла.
Основные свойства
неопределённого
интеграла.
Метод непосредственного
интегрирования.
Метод замены
переменной
(способ подстановки).
Интегрирование
по частям.
Определённый
интеграл как
предел интегральной
суммы.
Основные свойства
определённого
интеграла.
Геометрический
смысл определённого
интеграла.
Теорема
Ньютона–Лейбница.
Формула
Ньютона–Лейбница.
Замены переменных
в определённых
интегралах.
Интегрирование
по частям.
Исторические
сведения о
возникновении
и развитии
основных понятий.
Происхождение
понятия определённого
интеграла и
инфинитезимальные
методы Архимеда.
От Архимеда
к Кеплеру и
Кавальери.
Теорема Паскаля.
«О глубокой
геометрии»
Лейбница.
«Метод флюксий»
Ньютона.
Дифференциальные
методы.
Цель работы:
«Изучить основные
понятия дифференциального
и интегрального
исчислений
и ознакомиться
с историей их
развития».
1.Основные понятия
дифференциального
исчисления
функций одной
переменной.
1.1.Определение
производной
и её геометрический
смысл.
Пусть функция
y = f(х)
определена
в окрестности
точки хо.
возьмём точку
х1
этой окрестности,
отличную от
хо.
Определение.
Разность х1
– х0,
которую обозначают
символом х,
будем называть
приращением
независимой
переменной.
Определение. Подобным
образом соответствующая
разность
у1 –
у0
= f(х1)
– f(х0),
обозначается
символом у
и называется
приращением
зависимой
переменной,
или приращением
функции.
Получаются
следующие
соотношения:
х1
= х0
+ х,
у1
= у0
+ у,
у0 +
у
= f(х0
+ х)
Так как у0
= f(х0),
то у
= f(х0
+ х)
– f(х0).
у f(х0+х)–
f(х0)
х
х
О  пределение.
Частное будем
называть разностным
отношением.
Выражение
f(х0+х)–
f(х0)
х
(принимая
что х0
имеет определённое
постоянное
значение) можно
считать функцией
приращения
х.
Определение.
Если предел
этого выражения
при х,
стремящемся
к нулю, существует,
то его мы будем
называть производной
функции у
= f(х)
по х
в точке х0

И так,
= = f’(х0)
= у’х
= у’=
Пример.
у=х2
. Вычислите
производную
для х=2.
Имеем: f(х+х)
= (х+х)2
,
Поэтому
у
= (х+х)2
– х2
= 2хх+(х)2
Отсюда
= 2х+х
 
Переходя
к пределу получим:
= 2х
+ = 2х.

Д ля
того, чтобы
отношение
имело предел,
необходимо,
чтобы , то есть,
чтобы функция
рис.1
была непрерывной
в точке х0.
Рассмотрим
график функции
у =
f(х)
(рис.1)

Легко заметить,
что отношение
равно тангенсу
угла ,
образованного
положительным
направлением
секущей, проходящей
через точки
А и В (соответствующие
точкам х
и х+х),
с положительным
направлением
оси Ох,
то есть,
от А к В если
теперь приращение
х
будет
стремиться
к нулю, точка
В будет стремиться
к А, то угол
будет стремиться
к ,
образованному
положительным
направлением
касательной
с положительным
направлением
оси Ох,
а tg
будет стремиться
к tg
.
П оэтому
= tg
(положительным
направлением
касательной
считаем то
направление,
в котором х
возрастает).
Таким образом,
можно утверждать
следующее:
Производная
в данной точке
х
равна тангенсу
угла, образованного
положительным
направлением
касательной
в соответствующей
точке (х,f(х))
нашей кривой
с положительным
направлением
оси Ох.
1.2
Дифференциальные
функции. Определение
дифференциала.
Определение.
Функция у
= f(х)
называется
дифференцированной
в точке х,
если её
приращение
у
в этой точке
можно представить
в виде
у
= f’(х)х+(х)х,
где
(х)
= 0
К ак
видно из из
определения,
необходимым
условием
дифференцируемости
является
существование
производной.
Оказывается
что это условие
также и достаточно.
В самом деле
пусть существуют
у’ = f’(х)
П оложим
– f’(х),
х
0
, х
= 0
При таком
определении
имеет для всех
х
у
= f’(х)х
+(х)х
.
О стаётся,
следовательно,
установить
непрерывность
(х)
при х = 0,
то есть, равенство
(х)
= (0)
= 0, но, очевидно,
(х)
= – f’(х)
= f’(х)
– f’(х)
= 0,
что и требовалось.
Таким образом,
для функции
одной переменной
дифференцируемость
и существование
производной
— понятия
равносильные.
О пределение.
Если функция
у =
f’(х)
дифференцируема,
то есть, если
у
= f’(х)х
+
.
х,
= 0,
то главную
линейную часть
f’(х)х,
её приращения
будем обозначать
dху,
dхf(х)
и называть
дифференциалом
переменной
у
по переменной
х в
точке х.
Написав
для симметрии
dхх
вместо х,
получим
следующую
формулу:
d ху
= f’(х)dхх,
откуда
= f’(х).
Заметим
ещё, что дифференциалы
dху
и dхх
являются функциями
переменной
х, причём
функция dхх
принимает
постоянное
значение х.
1.3
Инвариантность
формы первого
дифференциала.
В случае,
когда переменная
у =
f(х)
была функцией
независимой
переменной
х, мы
имеем, по определению,
у
= f’(х)х
или dхх
= f’(х)dхх
(1)
Рассмотрим
теперь случай,
когда х
является в
свою очередь
функцией другой
переменной,
х
= х(t).
Теорема.
Если функции
х =
(t)
и у
= (t)
дифференцируемы
в соответствующих
точках t = t1
и х = х1 = (t1),
то дифференциал
сложной функции
у = f((t)) = (t)
может быть
представлен
в виде
dtу
= f’(х1)
dtх.
Доказательство:
Согласно
определению
дифференциала
имеем
dtх
= ’(t1)
dtt
(11)
dtу
= ’(t1)
dtt
(2)
Но на основании
теоремы о
производной
сложной функции
мы видим, что
’(t1)
= f’(х1)
’(t1)
Подставив это
выражение в
формулу (2), получим:
dtу
= f’(х1)
’(t1)
dtt,
отсюда в
силу формулы
(11)
dtу
= f’(х1)
dtх
(3)
Сравнив формулу
(1) с формулой
(3), мы заметим
что их можно
записать
символически
в виде
dу
= f’(х)
dх (4)
Формулу
(1) или (3) мы получаем
из формулы
(4), написав вместо
d, соответственно
dх
или dt.
Символы
dх
и dу
не являются
совершенными,
однако во многих
случаях, когда
возможность
ошибиться
будет исключена,
мы будем ими
пользоваться
вместо символов
dхх
и dху
или, соответственно,
dtх
и dtу.
Значение
формулы (4)
становится
ясным, если
обратить внимание
на то, что при
отыскании
производной
приходится
пользоваться
двумя формулами
для определения
производной
у
по х. А
именно, когда
переменная
у
зависит непосредственно
от х,
то
у’х
= f’(х);
когда же
зависимость
переменной
у
от х
даётся при
помощи некоторой
(промежуточной)
функции и,
то
у’х
= f’(и)и’х.
При отыскании
же дифференциалов
получим в обоих
случаях одинаковые
формулы:
dху
= f’(х)
dхх,
dху
= f’(и)
dхи
или
dу
= f’(х)
dх, dу =
f’(и)
dи.
1.4
Дифференциал
суммы, произведения
и частного.
Из теорем
о производных
суммы, произведения
и частного
можно получить
аналогичные
формулы для
дифференциалов
суммы, произведения
и частного.
Пусть и
и
— функции от
х:
и = f(х),
= (х),
имеющие непрерывные
частные производные.
Если положить
у =
и +
,
то у’х
= и’х
+ ’х,
откуда у’х
dх
= и’х
dх
+ ’хdх,
следовательно dу
= dи + d,
то есть d(и
+ )
= dи
+ d.
Аналогично
dси = сdи,
где с
– постоянное
число;
 d(и)
= иd
+ dи,
d ( ) = .
Замечание.
На практике
часто бывает
выгоднее оперировать
дифференциалами,
а потом делением
на дифференциал
независимой
переменной
переходить
к производной.
1.5
Геометрическая
интерпретация
дифференциала.
Д ифференциал
можно геометрически
представить
следующим
образом:
Из рис. 2 видно,
что dу
= f’(х)dх
= tg
.
dх
= СД.
Таким образом,
если у
– приращение
ординаты кривой,
то dу
– приращение
ординаты
касательной.
Д  ифференциал
dу, вообще
говоря, отличается
от у,
но их разность
очень мала по
сравнению dх
для очень малых
dх, так
как
= (х)
= 0
На практике,
когда речь
идёт только
о приближённых
значениях,
можно для малых
приращений
dх
считать
у
= dу
= f’(х)dх.
2.Основные
понятия интегрального
исчисления
функций одной
переменной.
2.1.Первообразная
функция и
неопределённый
интеграл.
Основной
задачей дифференциального
исчисления
является нахождение
производной
f’(х)
или дифференциала
f’(х)dх
данной
функции f(х).
В интегральном
исчислении
решается обратная
задача:
Дана функция
f(х);
требуется
найти такую
функцию F(х),
производная
которой f(х)dх
в области
определения
функции f(х),
то есть, в этой
области функции
f(х)
и F(х)
связаны соотношением
F’(х) =
f(х)
или dF(х)=
F’(х)dх = f(х)dх.
Определение.
Функция F(х)
называется
первообразной
функцией для
данной функции
f(х),
если для любого
х
из области
определения
f(х)
выполняется
равенство
F’(х)
= f(х)
или dF(х) = f(х)dх.
Примеры.
1)
Пусть
f(х)
= cos х.
Решение:
Тогда F(х)
= sin х, так
как F’(х)
= cos х
= f(х)
или dF(х) =
cos х
dх
= f(х)dх
2)
Пусть f(х)
= х2.
Решение:
Тогда F(х)
= ,
так как F’(х)
= х2
= f(х)
или dF(х)
= х2dх
= f(х)dх.
Известно,
что если две
функции f(х)
и (х)
отличаются
друг от друга
на постоянную
величину, то
производные
или дифференциалы
этих функций
равны, то есть,
если f(х) = (х) + С,
то f’(х) = ’(х)
или f’(х)dх = ’(х)dх.
Известно
также, что и
наоборот, если
две функции
f(х)
и (х)
имеют одну и
ту же производную
или один и тот
же дифференциал,
то они отличаются
друг от друга
на постоянную
величину, то
есть, если
f’(х) = ’(х)
или dхf(х) = d(х),
то
f(х) = (х) + С.
Замечание.
Действительно,
если производная
f’(х)
обращается
в нуль для любых
значений х
в (а,в),
то в этом интервале
f(х)
= С.
В самом деле,
если х1
(а,в)
и х2
(а,в),
то в силу теоремы
Лагранжа, имеем
f(х2)
– f(х1)
= (х2–х1)
f’(х0),
где х1
х0
х2
. Но, так
как f’(х0)
= 0, то f(х2)
– f(х1)
= 0.
Отсюда
непосредственно
следует что,
если в формуле
у = F(х) + С
мы будем придавать
постоянной
С все возможные
значения, то
получим все
возможные
первообразные
функции для
функции f(х).
О пределение.
Множество
F(х)
+С всех первообразных
функций для
функции f(х),
где С принимают
все возможные
числовые значения,
называется
неопределённым
интегралом
от функции
f(х)
и обозначается
символом
f(х)dх
Т аким
образом, по
определению,
f(х)dх
= F(х)
+ С, (А)
г де
F’(х)
= f(х)
или dF(х) =
f(х)dх и С –
произвольная
постоянная.
В формуле (А)
f(х)
называется
подынтегральной
функцией, f(х)dх
– подынтегральным
выражением,
а символ – знаком
неопределённого
интеграла.
Неопределённым
интегралом
называют не
только множество
всех первообразных,
но и любую функцию
этого множества.
Определение.
Нахождение
первообразной
по данной функции
f(х)
называется
интегрированием
2.2.Геометрический
смысл неопределённого
интеграла.
Пусть задан
неопределённый
интеграл F(х)
+ С для функции
f(х)
в некотором
интервале. При
фиксированном
значении С =
С1
получим конкретную
функцию у1
= F(х)
+ С1,
для которой
можно построить
график; его
называют
интегральной
кривой. Изменив
значение С и
положив С = С2,
получим другую
первообразную
функцию С
соответствующей
новой интегральной
кривой.
А налогично
можно построить
график любой
первообразной
функции. Следовательно,
выражение
у = F(х) + С
можно рассматривать
как уравнение
семейства
интегральных
кривых неопределённого
интеграла F(х)
+ С. Величина
С является
параметром
этого семейства
– каждому
конкретному
значению С
соответствует
единственная
интегральная
кривая в семействе.
Интегральную
кривую, соответствующую
значению параметра
С2,
можно получить
из интегральной
кривой, соответствующей
значению параметра
С1,
параллельным
сдвигом в
направлении
оси Оу
на величину
/С2
– С1/.
На рис. 3 изображён
неопределённый
интеграл х2
+ С от функции
f(х)
= 2х, то
есть, семейства
парабол.
2.3.Основные
свойства
неопределённого
интеграла.
Производная
неопределённого
интеграла
равна подынтегральной
функции, то
есть,
[ f(х)dх
]’
= f(х)
.
Д оказательство.
Согласно
определению
неопределённого
интеграла,
f(х)dх
= F(х)
+ С, (V)
где F’(х)
= f(х)
Д ифференцируя
обучение части
равенства (V),
имеем
[ f(х)dх
]’ = [F(х)
+ С ]’,
о ткуда
[ f(х)dх
]’ = F’(х) + С1
= F’(х)
= f(х)
.
Д ифференциал
неопределённого
интеграла
равен подынтегральному
выражению, то
есть
d f(х)dх
= f(х)dх
Д оказательство.
Согласно
определению
неопределённого
интеграла,
f(х)dх
= F(х)
+ С
d f(х)dх = d(F(х) + С)
= dF(х) = dС = F’(х)dх = f(х)dх
Н еопределённый
интеграл от
дифференциала
некоторой
функции F(х)
равен самой
функции с точностью
до произвольной
постоянной
С, то есть
dF(х) =
F(х)
+ С, (v)
Д оказательство. Продифференцировав
оба равенства
(v), будем иметь
d
dF(х) = dF(х)
(по свойству
2)
d(F(х)
+ С) = dF(х)
с ледовательно,
функции dF(х)
и
dF(х)
отличаются
друг от друга
на постоянную
величину, то
есть
dF(х) =
F(х)
+ С
Постоянный
множитель
можно выносить
за знак неопределённого
интеграла, то
есть
а f(х)dх = а
f(х)dх (а
0)
Д оказательство. Продифференцируем
обучение части
равенства.
Тогда получим
 d
а f(х)dх = а f(х)dх (по
свойству 2)
и d [
a f(х)dx
] = ad f(х)dх =а
f(х)dх
(в силу
свойства
дифференциала)
Т аким
образом, дифференциалы
функций
 
а f(х)dх
и а
f(х)dх
равны, а потому
эти функции
отличаются
друг от друга
на постоянную
величину, то
есть, а
f(х)dх
= = а f(х)dх * dх
+ С. Но постоянную
С можно считать
включённой
в состав неопределённого
интеграла,
следовательно,
а
f(х)dх
= а
f(х)dх.
И  нтеграл
от алгебраической
суммы конечного
числа функций
равен алгебраической
сумме интегралов
от слагаемых
функций, например:
[f1(х)
+ f2(х)
– f3(х)]dх
= f1(х)dх
+ f3(х)dх
– f3(х)dх
(v)
Доказательство:
Продифференцируем
обе части равенства.
Д ифференцирование
любой части
равенства
даёт:
d
[f1(х)
+ f2(х)
– f3(х)]dх
= [f1(х)
+ f2(х)
– f3(х)]dх
В 
результате
дифференцирования
правой части
равенства (v),
получается
дифференциал
алгебраической
суммы нескольких
функций, который
как известно
равен алгебраической
сумме дифференциалов
слагаемых
функций. Следовательно,
 
d[
f1(х)dх
+ f2(х)dх
– f3(х)dх]
=
= d
f1(х)dх
+ f2(х)dх
– f3(х)dх
Применяя свойство
1, в правой части
последнего
равенства
получаем
f1(х)dх
+ f2(х)dх
– f3(х)dх
= [ f1(х)
+ f2(х)
– f3(х)]dх
Итак, после
дифференцирования
обеих частей
равенства (v)
получены
тождественные
результаты,
следовательно,
справедлива
формула (v) (см.
доказательство
свойства 3).
2.4.
Метод непосредственного
интегрирования.
Определение.
Непосредственным
интегрированием
называется
интегрирование
заключающееся
в прямом применении
формул таблицы
основных интегралов.
Чтобы найти
неопределённый
интеграл от
какой–нибудь
функции f(х),
нужно прежде
всего отыскать
в таблице интегралов
формулу в левой
части которой
стоит интеграл
такого же вида,
как данный, и
записать ответ
в соответствии
с правой частью
этой формулы.
П римеры.
х 7dх
Р ешение.
х7dх
= + С
2 
3 х2
dх
Р   ешение.
Имеем 2 3
х2
dх = 2х2/3dх
П рименяя
формулы, получаем
2х2/3dх
= 2 х2/3dх
= 2 + С.
Т аким
образом, 2х2/3dх
= х 3
х2
+ С.
3)
Р  ешение.
Согласно известному
свойству
дифференциала,
3dх = d(3х),
а потому
=
Применяя
формулу, получаем
tg3х
+ С
В тех случаях,
когда под знаком
интеграла
стоит алгебраическая
сумма обычно
разлагают
данный интеграл
на сумму нескольких
интегралов,
из которых
каждый можно
найти по соответствующей
формуле.
(   2х3
+ 9х2
– 5 х
+ 4/ х
)dх
Р     ешение.
(2х3
+ 9х2
– 5 х
+ 4/ х
)dх =
=
2 х3dх
+ 9 х2dх
– 5 х1/2
+ 4 dх/
х
=
   =
2 + 9 – 5 + 4 * 2 х
+ С =
 =
х4 /
2 + 3х3
– 10/3 х
х
+ 8 х
+ С.
2.5.
Метод замены
переменной
(способ подстановки).
Н аиболее
общим приёмом
интегрирования
функций является
способ подстановки,
который применяется
тогда, когда
искомый интеграл
f(х)dх
не является
табличным, но
путём но путём
ряда элементарных
преобразований
он может быть
сведён к табличному.
М етод
подстановки
основан на
применении
следующей
формулы:
f(х)dх
= f[(t)]’(t)dt,
(1)
где х
= (t)
– дифференцируемая
функция от t,
производная
которой ’(t)
сохраняет знак
для рассматриваемых
значений переменных.
Сущность
применения
этой формулы
состоит в том,
что в данном
интеграле
f(х)dх
переменная
х
заменяется
переменной
t по
формуле х
= (t)
и, следовательно,
dх
произведением
’(t)dt.
С праведливость
формулы (1) будет
доказана если
после дифференцирования
обеих её частей
получатся
одинаковые
выражения.
Продифференцировав
левую часть
формулы, имеем
d [
f(х)dх
] = f(х)dх = f
[(t)]
’(t)dt
Продифференцировав
правую часть
формулы, имеем
d
f
[(t)]
’(t)dt
= f [ (t)
] ’(t)dt
Таким образом,
формула (1) справедлива.
Часто употребляется
обратная замена
переменной,
то есть, подстановка
t = (t),
dt = ’(t)dх.
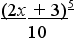
П римеры.
(2х
+ 3)4dх.
Данный
интеграл можно
свести к табличному
интегралу (V).
Подстановка
выбирается
из простого
соображения:
в подынтегральном
выражении
табличного
интеграла (V)
в основании
степени и под
знаком дифференциала
стоит одно и
тоже выражение и.
С  ледовательно,
в данном случае
нужно применить
подстановку
и =
2х
+ 3, отсюда имеем
dи
= 2dх
и dх
= dи/2,
а потому
(2х
+ 3)4dх
= и4(dи/2)
= 1/2 и4dи
=
= 1/2
* и5/5
+ С = + С.
2.6
Интегрирование
по частям.
Допустим,
что u, v –
функции
переменной
х, непрерывные
и имеющие
производные
в интервале
(а,в).
имеем тогда
(uv)’
= uv’
+ vu’
так что uv’
= (uv)’
– vu’
Б еря
неопределённые
интегралы от
обоих частей
и учитывая,
что uv’dх
= uv –
vu’dх,
(1)
Если оба интеграла
существуют.
П ользуясь
дифференциалами
предыдущую
формулу можно
написать в
следующем
виде:
udv
= uv –
vdu.
(2)
Ф ормула
(2) даёт возможность
вычисления
интеграла udv
свести к вычислению
интеграла
vdu ,
который, быть
может, берётся
легче. Этот
метод называется
интегрированием
по частям.
П римеры.
1) J = хехdх.
П оложим
и = х, dи = dх,
dv = ехdх,
v = ехdх
= ех
Следовательно,
J = хех
– ехdх
= хех
– ех
+ С.
2 )
ln хdх .
Положим,
u = ln
х, dи = dх/х
dv
= dх v = dх = х.
С ледовательно,
J = х ln х
– dх = х ln х – х + С..
2.7.
Определённый
интеграл как
предел интегральной
суммы.
Пусть интервал
[а,в],
на котором
задана функция
у =
f(х),
разбит точками
деления х1
х2
…
хп
– 1 на
п частичных
интервалов
1 = [х0,х1],
2 = [х1,х2],
…, n = [хп–1,хп],
где а =х0
, в = хп,
причём в каждом
частичном
интервале i
выбрана какая–либо
точка i:
хi–1 i
хi (i
= 1, 2, …, п).
Пусть, далее,
хi
– длина интервала
i,
то есть,
хi
– хi–1 =
хi
(i
= 1, 2, …, п),
а max хi
– наибольшее
из чисел хi.
Т ребуется
найти предел
суммы
f(1)
х1
+ f(2)
х2
+ … + f(п)
хп
=
f(i)
хi,
когда длины
хi
всех частичных
интервалов
i
стремятся
к нулю (при этом
с необходимостью
число п
этих
интервалов
будет стремиться
к бесконечности).
Другими словами,
требуется
найти предел
этой суммы при
max хi 0,
так как
условие, что
максимальная
из длин частичных
интервалов
i
стремится
к нулю, равносильно
условию, что
все хi 0.
И так,
требуется
найти
lim
f(хi)
хi.
Определение.
Сумму
(1) называют
интегральной
суммой.
О пределение. Функция
f(х)
называется
интегрируемой
на интервале
[а,в],
если существует
конечный предел
lim
f(i)
хi,
(2)
не
зависящий от
того, каким
образом интервал [а,в]
делится на
частичные
интервалы и
каким образом
выбираются
точки i
на этих
частичных
интервалах,
лишь бы длина
максимального
из них стремилась
к нулю. Этот
предел называется
определённым
интегралом
от функции
f(х)
на интервале
[а,в]
и обозначается
символом
f(х)dх
= lim
f(i)
хi.
Для того чтобы
не оставалось
неясностей,
сформулируем
точно, как следует
понимать предел
(2).
О пределение.
Число J
называется
пределом
интегральной
суммы
f(i)хi
при max хi 0,
если для любого
заданного
0 найдётся такое
0,
что выполняется
неравенство:
|
f(i)хi
– J
|
при любом
выборе частных
интервалов,
1, 2, …,
п
и точек
1,
2,
…, п
на этих интервалах,
лишь бы только
выполнялось
требование
max хi 0,
то
есть лишь
бы длина наибольшего
(а значит, и всех)
из частичных
интервалов
была меньше
.
Из определения
определённого
интеграла
отнюдь не следует,
что любая функция
интегрируема
на любом интервале.
Можно подобрать
такие функции,
для которых
определённый
интеграл не
существует,
то есть для
которых интегральная
сумма не стремится
к определённому
пределу. Существование
определённого
интеграла от
функции, заданной
на интервале
[а,в],
обеспечивает
непрерывность
этой функции
на [а,в],
поэтому непрерывность
функции на
[а,в]
является достаточным
условием её
интегрируемости
на этом интервале,
то есть
Теорема
1. Если
функция f(х)
непрерывна
на замкнутом
интервале
[а,в],
то она интегрируема
на этом интервале,
то есть имеет
определённый
интеграл
f(х)dх.
Иногда на практике
приходится
интегрировать
и разрывные
функции. Приведём
несколько
более широкое
достаточное
условие существования
интеграла.
Теорема
2. Если на
интервале
[а,в]
функция ограничена
и имеет лишь
конечное число
точек разрыва,
то она интегрируема
на [а,в].
2.8.
Основные свойства
определённого
интеграла.
Т еорема
1. Пусть
с – промежуточная
точка интервала
[а,в]
(а
с
в).
Тогда имеет
место равенство
f(х)dх
= f(х)dх + f(х)dх,
если
все эти три
интеграла
существуют.
Д оказательство:
Разобьём [а,в]
на п
частичных
интервалов
[а,х1],
[х1,х2],
…, [хп–1,
в]
длиной соответственно
х1,
х2,
…, хп
так, чтобы
точка с
была точкой
деления. Пусть,
например, хт
= с
(т
п). Тогда
интегральная
сумма
f(i)хi
  соответствующая
интервалу
[а,в],
разобьётся
на две суммы:
f(i)хi
=
f(i)хi
=
f(i)хi
соответствующие
интервалам
[а,с]
и [с,в].
Переходя
к пределу при
неопределённом
уменьшении
длины максимального
частного интервала
хi,
то есть, при
max хi 0,
будем иметь
f(х)dх
= f(х)dх + f(х)dх,
Т еорема
2. Постоянный
множитель
можно выносить
за знак определённого
интеграла, то
есть
k f(х)dх
= k f(х)dх.
Д оказательство:
По определению:

k f(х)dх
= lim [k
f(1)х1
+ k f(2)х2
+ … + k
f(п)хп]
=
=
lim
k f(i)хi.
Н о
так как, согласно
одному из свойств
предела,
   lim
k f(i)хi
= k lim
f(i)хi,
и  
так как, по
определению,
lim
f(i)хi
= f(х)dх
т о
k f(х)dх = k lim
f(i)хi
= k f(х)dх
Теорема
3. Определённый
интеграл от
алгебраической
суммы нескольких
непрерывных
функций равен
алгебраической
сумме определённы
интегралов
от этих функций.
Д   оказательство:
Докажем, например,
что
[f1(х)
+ f2(х)
– f3(х)]dх
= f1(х)dх
+ f2(х)dх
– f3(х)dх
в
самом деле
имеем:
  
[f1(х)
+ f2(х)
– f3(х)]dх
= lim
[
f1(i)dх
+ f2(i)dх
– f3(i)]хi
=
=    
lim
f1(i)хi
+ lim
f2(i)хi
– lim
f3(i)хi
=
= f1(х)dх
+ f2(х)dх
– f3(х)dх
Теорема
3. (о среднем
значении
определённого
интеграла)
Е сли
функция f(х)
непрерывна
на [а,в],
то внутри него
найдётся такая
точка С.
f(х)dх
= (в–а)
f(с)
Доказательство:
Так как функция
f(х)
непрерывна
на [а,в],
то она достигает
своего наибольшего
и наименьшего
значений М
и т
на [а,в].
произведём
обычное разбиение
интервала
[а,в],
на п частичных
интервалов
i
длиной
хi
= х
f(i)
т –
хi–1
(i
= 1, …, п).
Так как
f(i)
т при
любом i,
то
 f(i)хi
тхi
о ткуда
f(i)хi
т
хi
и ли
f(i)хi
т(в
– а)
так как
хi
= х1+х2
+ … + хп
= в – а.
Так как,
далее, f(i)
т, при
любом i,
то
 f(i)хi
Мхi
а
потому
f(i)хi
М хi,
то есть,
f(i)хi
М(в
– а).
Т аким
образом, имеем
т(в
– а)
f(i)хi
М(в
– а).
П ереходя
к пределу при
max хi 0,
получим неравенства
т(в
– а)
f(х)dх
М(в
– а)

f(х)dх
(в
– а)
И з
этих неравенств
и теореме о
непрерывной
функции на
[а,в],
принимающей
в этом [а,в]
все промежуточные
значения между
своими наибольшими
и наименьшими
значениями,
следует, что
отношение
f(х)dх
(в
– а)
можно принять
за значение
f(с)
функции f(х)
в некоторой
промежуточной
точке с интервала
[а,в]
(т
f(с)
М).
Т аким
образом,
( f(х)dх)
/ (в – а)
= f(с)
или
f(х)dх
= (в – а)f(с)
2 .9.
Геометрический
смысл определённого
интеграла.
И звестно,
что площадь
криволинейной
трапеции,
ограниченной
сверху непрерывной
кривой у
= f(х),
снизу – интервалом
[а,в]
оси Ох
(а
х
в)
и с боковых
сторон – прямыми
х =
а, х = в, равна
S
= lim
f(i)хi
Н о,
по определению,
f(х)dх
= lim
f(i)хi
с ледовательно,
S = f(х)dх
Таким образом,
в случае, когда
f(х)
0, то есть, когда
график функции
у =
f(х)
располагается
над осью Ох,
определённый
интеграл численно
равен площади
S криволинейной
трапеции.
Если же f(х)
= 0 при а х в,
то есть
если кривая
располагается
под осью Ох,
то сумма
f(i)хi
р авна
сумме площадей
криволинейной
трапеции аАВв,
взятой
со знаком минус
(рис. 4)
Тогда с
геометрической
точки зрения
определённый
интеграл от
f(х)dх
численно равен
площади S криволинейной
трапеции,
ограниченной
интервалом
[а,в]
оси Ох
(а
х
в),
непрерывной
кривой у
= f(х)
и отрезками
прямых х
= а, х = в, равными
f(а)
и f(в).
2.10.
Теорема Ньютона–Лейбница.
Пусть функция
f
непрерывна
на [а,в].
тогда она
интегрируема
на любом отрезке,
[а,х],
где а
х
в, то
есть, для любого
х
[а,в],
существует
интеграл
F(х)
= f(t)dt
(V)
Если f(t)0
t[а,в],
то F(х)
= S(х),
где S(х)
– площадь
криволинейной
трапеции аАL(х)
(рис. 5)
О пределение.
Функция F определённая
соотношением
(V) на [а,в]
называется
интегралом
с переменным
верхним пределом.
Эта функция
непрерывна
и дифференцируема
на [а,в].
А именно имеет
место следующая
теорема.
Теорема.
(Ньютона–Лейбница)
 Производная
определённого
интеграла от
непрерывной
на [а,в]
функции f
, рассматриваемого
как функция
его верхнего
предела, существует
и равна значению
подынтегральной
функции в точке
дифференцирования.
F’(х)
= ( f(t)dt)
= f(х)1,
х
[а,в]
.
Д  оказательство:
Пусть х
[а,в],
х +
х
[а,в];
тогда в силу
теоремы 1 пункта
2.12. получим
F(х
+х)
= f(t)dt
= f(t)dt
+ f(t)dt
Н айдём
соответствующее
приращение
F
функции F. Используя
равенства (V)
и теорему 4 пункта
2.12. имеем
F
= F(х
+х)
– F(х)
= f(t)dt
= f(с)х,
где
с
[х, х +х]
В ычислим
производную
функции (V):
  F’(х)
= lim
= lim = lim f(с)
Если х 0,
то х
+ х 0
и с
х, так как
с
[х, х+х].
Тогда в силу
непрерывности
f
получим
F’(х)
= lim f(с) = f(х)
Что и требовалось
установить.
Легко вытекает
следующее
утверждение:
всякая непрерывная
на [а,в]
функция имеет
на этом отрезке
первообразную
при этом одной
из первообразных
является интеграл
(V).
Д ействительно,
пусть функция
f
непрерывна
на [а,в];
тогда она
интегрируема
на любом на
[а,х],
где х
[а,в],
то есть, существует
интеграл (V),
который и является
первообразной
функцией для
f .
Следовательно,
неопределённый
интеграл от
непрерывной
на [а,в]
функции f
можно
записать в
виде
f(х)dх
= f(t)dt
+ С, х
[а,в]
где С – произвольная
постоянная.
2.11.
Формула Ньютона–Лейбница.
Теорема.
Если Ф – первообразная
для непрерывной
на [а,в]
функции f,
то определённый
интеграл от
функции f
вычисляется
по формуле
f(х)dх
= Ф(в)
– Ф(а).
Д оказательство:
Пусть Ф некоторая
первообразная
для функции
f . В
силу предыдущей
теоремы функция
(V) также является
первообразной
для функции
f .
Поскольку две
первообразные
Ф и F отличаются
друг от друга
на некоторую
постоянную,
имеем
f(х)dх
= Ф(х)
+ С (1)
П оложим
в последнем
равенстве х
= а. Так
как
f(х)dх
= 0,
то Ф(а)
+ С = 0, откуда С =
– Ф(а)
П одставляя
найденное
значение С в
соотношение
(1), имеем
f(х)dх
= Ф(х)
– Ф(а).
Полагая
в последнем
соотношении
х =
в и
обозначая
переменную
t через
х, окончательно
получим равенство
указанное в
теореме.
Ф ормулу
Ньютона–Лейбница
в сокращённом
виде принято
записывать
так:
f(х)dх
= Ф(х)|
= Ф(в)
– Ф(а)
П римеры.
s  in
хdх = – cos х| = – cos 2
+ cos 0 = 0.

= ln |x + x2+1|
= ln (1+2)
– ln
1 = ln (1+2)
Замены
переменных
в определённых
интегралах.
П усть
требуется в
определённом
интеграле
f(х)dх
п рименить
подстановку
х =
(t).
Тогда имеет
место следующая
формула замены
переменных
в определённом
интеграле:
f(х)dх
= f [(t)]’(t)dt,
где ()
= а,
()
= в.
Эту формулу
мы докажем при
условиях:
Функции
(t)
и ’(t)
непрерывны
в [,
].
Функция
f(х)
определена
и непрерывна
для всех значений,
которые функция
х
= (t)
принимает в
[,
].
()
= а,
()
= в.
Д оказательство:
Обозначим
через М
и т
наибольшее
и наименьшее
значения функции
х
= (t)
в [,
].
Пусть
F(х)
= f(х)dх,
т
х
М.
П о
теореме о
подстановке
в неопределённых
интегралах
для всех t
из [,
]
справедливо
равенство
F[(t)]
= f[(t)]’(t)dt.
О тсюда
f[(t)]’(t)dt
= F[()]
– F[()]
= F(в)
– F(а)
Так как
f(х)dх
= F(в)
– F(а)
то из сравнения
последних двух
равенств получим
доказываемую
формулу.
П ример.
Вычислить
интеграл
J
= х
1+х2
dх
П   одставим
1+х2
= t,
то есть,
х =
t2
–1 . Имеем: t
= 1, при х
=0, t =
2,
при х
= 1. Так как dх
= tdt/
t2
–1 , то
J = t2dt
= t3/3|
= (22
– 1)/3.
Интегрирование
по частям.
Пусть функции
f(х)
и (х)
непрерывны
вместе со своими
производными
в интервале
[а,в].
Пусть, далее,
F(х)
= f(х)
(х).
Тогда F’(х)
= f(х)
’(х)
f’(х)
(х).
Т   ак
как F’(х)dх
= F(х)|
,
т  о
[f(х)
’(х)
f’(х)
(х)]dх
= f(х)
(х)|
,
откуда
f(х)
’(х)dх
= f(х)
(х)|
– f’(х)
(х)dх
Примеры.
В ычислить
интеграл.
х cos
х dх
П  оложив
f(х)
= х, (х)
= sin х
получим:
х cos
х dх = х sin х|
– sin х dх = –2
В ычислить
интеграл
ln х dх.
 Положив
f(х)
= ln х, (х)
= х
получим:

ln х dх = [х
ln х] – х(dх/х)
=
= [х
ln х]
– [х]
= 2 ln2
– 1 = ln4
– 1
3.Исторические
сведения о
возникновении
и развитии
основных понятий.
В математике
XVII в. самым большим
достижением
справедливо
считается
изобретение
дифференциального
и интегрального
исчисления.
Сформировалось
оно в ряде сочинений
Ньютона и Лейбница
и их ближайших
сотрудников
и учеников.
Введение в
математику
методов анализа
бесконечно
малых стало
началом больших
преобразований,
быстро изменивших
всё лицо математики
и поднявших
её роль в системе
естественно
научных знаний
человечества.
Однако появление
анализа бесконечно
малых не было
делом рук одного
или нескольких
учёных, их
гениальной
догадки. Оно
в действительности
было завершением
длительного
процесса,
внутриматематическая
сущность которого
состояла в
накоплении
и выделении
элементов
дифференциального
и интегрального
исчисления
и теории рядов.
Для создания
исчисления
бесконечно
малых внутри
математики
XVII в. сложились
достаточные
предпосылки.
Это были: наличие
сложившейся
алгебры и
вычислительной
техники; введение
в математику
переменной
величины и
координатного
метода; усвоение
инфинитезимальных
идей древних,
особенно Архимеда;
накопление
методов решения
задач на вычисление
квадратур,
кубатур, определение
центров тяжести,
нахождение
касательных,
экстремалей
и т.д.
3.1.Происхождение
понятия определённого
интеграла и
инфинитезимальные
методы Архимеда.
Понятие интеграла
и интегральное
исчисление
возникли из
потребности
вычислять
площади любых
фигур и поверхностей
и объёмы произвольных
тем. Предыстория
интегрального
исчисления
восходит к
глубокой древности.
Идея интегрального
исчисления
была древними
учёными предвосхищена
в большей мере,
чем идея дифференциального
исчисления.
Следует особо
упомянуть об
одном интегральном
методе Архимеда,
примененном
в следующих
его произведениях:
«О шаре и цилиндре»,
«О спиралях»
и «О коноидах
и сфероидах».
В последнем
произведении
рассмотрены
объёмы сегментов,
получаемых
при сечении
плоскостью
тел, образованных
вращением
вокруг оси
эллипса, параболы
или гиперболы.
В терминологии
Архимеда
«прямоугольный
коноид» – это
параболоид
вращения,
«тупоугольный
коноид» – одна
полость двуполостного
гиперболоида
вращения, «сфероид»
– элипсоид
вращения.
В XIX предложении
своего произведения
«О коноидах
и сфероидах»
Архимед доказывает
следующую
лемму: «Если
дан сегмент
какого–нибудь
из коноидов,
отсечённый
перпендикулярной
к оси плоскостью,
или же сегмент
какого–нибудь
из сфероидов,
не больший
половины этого
сфероида и
точно также
отсечённый,
то можно вписать
в него телесную
фигуру и описать
около него
другую, состоящих
из имеющих
равную высоту
цилиндров, и
притом так,
что описанная
фигура больше
вписанной на
величину, меньшую
любой наперёд
заданной телесной
величины.»
Эта лемма является
ярким примером
метода интегральных
сумм, существо
которого состоит
в следующем:
тело вращения
разбивается
на части и каждая
часть аппроксимируется
описанным и
вписанным
телами, объёмы
которых можно
вычислить.
Сумма объёмов
описанных тел
будет больше,
а сумма вписанных
тел – меньше
объёма тела
вращения. Теперь
остаётся выбрать
аппроксимирующее
сверху и снизу
тела таким
образом, чтобы
разность их
объёмов могла
быть сделана
сколь угодно
малой. Это
достигается
выбором в качестве
указанных тел
соответствующих
цилиндриков.
А рхимед
фактически
вводит понятие
интегральных
сумм, верхних
Vп и нижних
vп и находит
объём V полуэллипсоида,
как общий предел
этих сумм при
п .
Так же он определяет
объём сегментов
параболоида
и гиперболоида
вращения. Выражаясь
современным
языком Архимед
определил
интегралы:
хdх = а2/2, х2dх
= а3/3, (х2 + вх)dх
= а3/3 + а2в/2
В
своём произведении
«О шаре и цилиндре»
он определил
интегралы:
1/2 sin d
= 1, sin d
= – cos + 1.
Конечно у Архимеда
нет ещё общих
понятий предела
и интеграла,
нет и общего
алгоритма
интегрального
исчисления.
Приведённые
и другие его
выкладки всегда
связаны с решением
конкретных
геометрических
задач без указаний
на то, что в основе
всех их лежит
один и тот же
общий приём
арифметического
суммирования
сколь угодно
малых частей
фигуры. Несмотря
на то, что квадратура
параболы и
кубатура сфероида
сводятся к
определению
одного и того
же интеграла,
Архимед пользовался
для решения
этих задач
различными
методами.
В
виде примера
метода интегральных
сумм приведём
решение Архимедом
задачи вычисления
объёма эллипсоида
вращения в
сочинении «О
коноидах и
сфероидах».
Итак, дано тело
вращения АВС
и телесная
(объёмная) величина
Е0. Делим
ВО на п равных
частей и строим
описанные и
вписанные
цилиндры, суммы
объёмов которых,
соответственно
обозначим, Von
и Vвn. Их разность
равна объёму
цилиндрика
АА1, то есть,
а2(в/п),
который подбором
достаточно
большего п
может быть
сделан сколь
угодно малым.
Теперь предположим,
что на данном
рисунке изображён
сегмент эллипсоида
вращения и
поставлена
задача вычислить
его объём. В
таком случае
Vоп
= hа2
+ h(х1)2
+ h(х2)2
+h(хп-1)2
=
= h
(хk)2, (х0
= 0)
Задача сведена
к суммированию
квадратов
чисел. Далее
Архимед производит
геометрические
преобразования,
эквивалентные
следующим
аналитическим
преобразованиям:
Так как х2/а2
+ у2/в2 = 1, то
х2 = а2/в2(в2
– у2) и далее
каждого сечения:
(х1)2 = а2/в2(в2
– h2),
(х2)2 = а2/в2(в2
– (2h)2),
…………………………,
 (хп-1)2
= а2/в2(в2
– [(п–1)h]2),
откуда Vоп
= h(хk)2
= (hа2)/в2[пв2
– h22],
где
– последовательные
натуральные
числа. Для
нахождение
сумм квадратов
последних
Архимед применил
геометрические
оценки вида
(п3h2)/3
(h)2
((п+1)3
h3)/3
о ткуда
(так как пh = в)
(в3)/3
(h)2h
в3/3
+ в3/п + в3/п2
+ в3/3п3
что до известной
степени эквивалентно
оценке для
х2dх
из этих оценок
получается
Vоп = (а2/в2)h
[пв2 – h2(п3/3)]
= а2в(1–1/3)
= 2/3а2в
Аналогично
Vвп
2/3а2в.
Но так как согласно
лемме, Vоп
– Vвп
Е, то искомый
объём сегмента
V 2/3а2в,
то есть, равен
удвоенному
объёму конуса
с тем же основанием
и высотой, что
и сегмент.
Единственность
предела доказывается,
как и во всех
других случаях,
приведением
к противоречию.
Приведённый
пример показывает,
что в античной
математике
сложился ряд
элементов
определённого
интегрирования,
в первую очередь
построение
верхних и нижних
интегральных
сумм, аналогичных
до известной
степени суммам
Дарбу.
3.2.От Архимеда
к Кеплеру и
Кавальери.
Первые значительные
попытки развития
интеграционных
методов Архимеда
были предприняты
в XVII в. одним из
первых видных
учёных, стремившихся
к возрождению
и развитию
интеграционных
методов, был
Иоганн Кеплер.
1612 г. был для жителей
австрийского
города Линца,
в котором жил
тогда Кеплер,
исключительно
урожайным,
особенно изобиловал
виноград. Люди
заготовляли
винные бочки
и хотели знать,
как практически
определять
их объёмы. Этот
вопрос как раз
и входил в круг
идей, которыми
интересовался
Кеплер. Так
родилась его
«Новая стереометрия
винных бочек»,
вышедшая в
свет в 1615 г.
Кеплер вычислил
площади плоских
фигур и поверхностей
и объёмы тел,
основываясь
на идее разложения
фигур и тел на
бесконечное
число бесконечно
малых частей,
которые он
называл «тончайшими
кружочками»
или «частями
крайне малой
ширины»; из
этих мельчайших
частиц, суммированных
им, он составляет
фигуру, эквивалентную
первоначальной,
но площадь или
объём которой
ему известен.
Методы Кеплера
в определении
объёмов тел
вращения, были
нестрогими.
Многие учёные
посвятили свои
работы усовершенствованию
оперативной
стороны этого
предприятия.
Наибольшую
известность
приобрела
геометрия
неделимых,
изобретённая
Кавальери.
Делом его жизни,
имевшим наибольшее
значение для
развития математики,
был метод неделимых.
Метод неделимых
изобретён для
определения
размеров плоских
фигур и тел.
Как фигуры,
так и тела
представляются
составленными
их элементов,
имеющих размерность
на единицу
меньше. Так,
фигуры состоят
из отрезков
прямых, проведённых
параллельно
некой направляющей
прямой, называемой
регула. Этих
воображаемых
отрезков бесконечно
много. Они заключены
между двумя
касательными,
параллельными
регуле. В геометрических
телах неделимыми
являются плоскости,
параллельные
некоторой
плоскости. Их
тоже бесконечно
много; границами
их совокупности
служат две
касательные
плоскости,
параллельные
регуле.
С овокупность
всех неделимых,
вводимая Кавальери,
по существу
вводит понятие
определённого
интеграла.
Совокупность
геометрии
неделимых
можно сформулировать
так: плоские
фигуры и тела
относятся друг
к другу, как
все их неделимые,
взятые вместе;
если неделимые
находятся в
одном и том же
отношении друг
к другу, то
отношение
площадей
соответствующих
фигур (или объёмов
тел) равно этому
отношению.
Эти утверждения
практически
эквивалентны
современным
умозаключениям
типа: даны две
фигуры, ограниченные
осью х, прямыми
х = а и х = в
и соответственно
у1 = f1(х)
и у2 = f2(х).
(рис 7).
О   тношение
площадей
S1/S2 =
у1k /
у2k = f1(х)dх
/ f2(х)dх
Если у1k / у2k
= а = const, для любого
k, то и S1/S2 = k.
К авальери
доказал теорему:
Сумма квадратов
неделимых
параллелограмма
втрое больше
суммы квадратов
неделимых
треугольника,
образованного
в результате
проведения
диагонали
(рис. 8).
Введём для
краткости
обозначения:
АС = а, RT = x, TV = y,
RS = а/2 = в, ST =
z. Тогда х = в
+ z, у = в – z и
сумма квадратов
частей неделимых
х2 + у2 = 2в2
+ 2z2.
Суммируем все
неделимые,
обозначив
сумму квадратов
неделимых
символом [ ]:
[AEC] + [CGE] = 2[ABFE] + 2[BCM] + 2[FEM].
Заметим, что
[AEC] = [CGE]; [ABFE] = 1/4[ACGE];
[BCM] = [FEM] = 1/8[ACE],
что нетрудно
понять, вообразив
над каждым
линейным элементом
квадрат и
рассматривая
их совокупности.
Следовательно,
[ACE] = 1/4[ACGE] + 1/8[ACE] + 1/8[ACE]; [ACE] = 1/3[ACGE].
В
переводе на
язык интегрального
исчисления
Кавальери
доказал, что
х2dх = 1/3 а2dх
или иначе:
 lim
[(а/п)2 (12 + 22
+ … + п2)]/па2
=
=
lim k2/п3
= 1/3.
Э ту
теорему Кавальери
сумел обобщить
на случай
суммирования
более высоких
степеней неделимых,
вплоть до девятой,
решив таким
образом группу
задач, эквивалентных
вычислению
определённых
интегралов
вида:
хпdх , для
п = 1, …, 9.
3.3.Теорема
Паскаля.
Среди последователей
Кавальери
самыми видными
учёными, подготавливавшими
создание
интегрального
и дифференциального
исчисления,
были Дж.Валлик,
П.Ферма, Б.Паскаль.
М етоды
Валлика, изложенные
в его «Арифметике
бесконечных»
(1655), развивались
вслед за методом
неделимых
Кавальери.
Валлик продвинулся
значительно
дальше Кавальери.
При решении
целого ряда
геометрических
задач Валлик
по существу
вычислял
определённые
интегралы от
некоторых
других алгебраических
функций; у
Валлика также
впервые встречается
в чётком виде
арифметизированный
предельный
переход. При
этом Валлик
исходит уже
не из примитивного
понятия всех
линий, а из суммы
f(х)iхi.
Он рассматривает
площадь (определённый
интеграл) как
общий предел
верхних и нижних
интегральных
сумм при описании
и вписании
ступенчатых
фигур.
Вычислением
интегралов
от степеней
хr, или, как
говорили в то
время, квадратурой
«парабол» у
= хr, где r
– рациональное
число, П.Ферма
занимался ещё
в 1644 г. позже Ферма
изложил общую
теорию всех
различных
случаев.
Ещё более чётко
понятие определённого
интеграла
выступает в
трудах Б.Паскаля.
все его усилия
были направлены
на уточнение
метода неделимых.
Попытка уточнения
состоит в том,
что он сумму
всех неделимых
понимал как
сумму элементарных
площадок, образуемых
бесконечно
близкими, одинаково
отстоящими
друг от друга
ординатами,
ограниченными
отрезком оси
абсцисс и кривой
(то есть сумму
вида уdх).
В ряде задач
он вводил сумму
всех синусов,
определяя её
как сумму
произведений
ординат на
элементы дуги
(уds),
которая в случае
окружности
единичного
радиуса оправдывает
своё название
(sind).
Для примера
рассмотрим
следующую
теорему из
«Трактата о
синусе четверти
круга» (1658) Паскаля:
С умма
синусов какой–нибудь
дуги (BF) четверти
круга (рис. 9) равна
отрезку основания
(АО) между крайними
синусами,
умноженному
на радиус (АВ).
Дуга BF делится
на равные части,
отмеченные
точками из
которых из
которых проводятся
синусы DI. Точки
пересечения
касательных
к дуге окружности
в точках D обозначены
точками Е; из
последних
затем опускаются
перпендикуляры
ER.
Предварительно
Паскаль указывает,
что
DI . EE = RR . AB (1)
Действительно
(рис. 10), из подобных
прямоугольников
DIA и EKE (ЕЕК
= DAI) следует:
AD/DI = EE/EK
Ввиду того,
что AB = AD, получаем
равенство (1).
«Я утверждаю,
— пишет после
этого Паскаль,
— что сумма
синусов DI каждого
умноженного
на одну из равных
дуг DD, равна прямой
АО умноженной
на радиус АВ».
Заменяя каждую
касательную
ЕЕ дугой DD, Паскаль
получает в
левой части
равенства (1)
«сумму синусов»,
а в правой
произведение
АВ на сумму
отрезков RR, то
есть, на АО. Итак,
теорема доказана.
Отождествление
дуги DD с отрезком
касательной
Паскаль только
подразумевает.
Чтобы перевести
доказательство
Паскаля на
современный
язык введём
соответствующую
систему декартовых
координат,
обозначим
«синус DI» через
у, элемент
дуги DD – через
ds, дифференциал
независимого
переменного
– через dх, радиус
АВ – через r. Тогда
равенство (1)
можно записать
так:
уds = rdх
И нтегрируя
согласно содержанию
теоремы Паскаля,
получим:
уds = rdх. (2)
Более сложный
интеграл, стоящий
в левой части
этого равенства,
сводится таким
образом к более
простому интегралу
правой части,
равному rx, а
для целой четверти
r2.
Положим r = 1 и
введём угол
DAB = ADI = .
Тогда (рис. 10)
S = r = ,
у = DI = AD cos
= cos , х
= sin .
Равенство (2)
даёт:
cos d
= х = sin .
На рассмотренном
выше ЕЕК
Лейбниц построил
своё дифференциальное
исчисление
и назвал его
характеристическим.
3.4.«О глубокой
геометрии»
Лейбница.
С  
основными
достижениями
математики
XVII в. Лейбниц
познакомился
в начале 70–х
гг. этого столетия,
когда под вниманием
голландского
учёного Х. Гюйгенса
изучил, кроме
его работ, труды
Кавальери,
Валлиса, Паскаля
и др. два года
спустя после
опубликования
мемуара 1684 г.,
1–го печатного
труда Лейбница
по дифференциальному
исчислению,
появился его
новый мемуар
«О глубокой
геометрии и
анализе неделимых,
а также бесконечных».
Это была первая
печатная работа
по интегральному
исчислению.
Основным понятием
для Лейбница
была сумма
актуально
бесконечных
малых треугольников
уdх, на которые
разбивается
криволинейная
фигура, то есть,
определённый
интеграл. В
этом же мемуаре
впервые появляется
не только знак
, но и запись
уdх, причём
Лейбниц предупреждает,
что не следует
забывать писать
под знаком
интеграла
множитель dх.
Лейбниц, исходя
из «характеристического»
треугольника
С катетами dх
и dу (разности
абсцисс и ординат
двух близких
точек линии)
и гипотенузой
ds (бесконечно
малой дуги
кривой или
бесконечно
малого отрезка
касательной
к дуге), приходит
к равенству
(дифференциальному
уравнению)
рdу = хdх, где р
– поднормаль
(отрезок IA, рис.
10)
«Если, — пишет
он, — обратить
это разностное
(дифференциальное)
уравнение в
суммирующее,
то будет
рdу = хdх.
Но из того, что
я изложил в
своём методе
касательных,
явствует, что
1/2 dх2 = хdх;
с ледовательно,
и обратно:
1/2 х2 = хdх,
и бо
у нас суммы
и разности или
и d взаимно
обратны, как
в обычном исчислении
степени и корни».
Таким образом,
исходя из понятия
определённого
интеграла,
Лейбниц приходит
к понятию функции
F(х) первообразной
(или примитивной)
для данной
функции f(х)
так, что
F’(х) = f(х), или
dF(х) =f(х)dх.
Отсюда и заключение
о том, что
дифференцирование
и интегрирование
являются двумя
взаимно обратными
операциями.
3.5.«Метод
флюксий» Ньютона.
Независимо
от Лейбница
и ещё до него
эти результаты
были получены
Ньютоном. Последний,
однако, нашёл
их, идя по другому
пути. Ньютону
принадлежат
в областях
науки первоклассные
достижения,
в том числе и
разработка
дифференциального
и интегрального
исчисления
в форме метода
флюксий.
В своём «Методе
флюксий» автор
формулирует
две основные
проблемы. Первая:
«По данному
соотношению
между флюэктами
определить
соотношение
между флюксиями».
Решение этой
проблемы приводит
Ньютона к вычислению
флюксии (производной)
от данной флюэнты
(функции) и к
своеобразному
обоснованию
развитого или
дифференциального
исчисления.
Он вводит понятие
«моментов»
текущих величин,
соответствующих
понятию дифференциалов
функций. Неограниченно
малую величину,
понимаемую
актуально
бесконечно
малое приращение
независимой
переменной
(времени), Ньютон
обозначает
через знак ,
напоминающий
нуль, но не
являющийся
нулём. Момент
флюэнты и,
например он
обозначает
так ио, где и
– флюксия. По
существу момент
флюэнты это
её дифференциал.
Вторую проблему
Ньютон формулирует
так.
«По данному
уравнению
содержащему
флюксии, найти
соотношение
между флюэктами».
Это общая проблема
объём интегрировании
обыкновенных
дифференциальных
уравнений,
которую Ньютон
решает главным
образом с помощью
бесконечных
рядов, содержит
в частности
задачу определения
функции F (называемую
первообразной),
зная её производную
F’ = f. Именно
эта задача
приводит к
понятию неопределённого
интеграла.
Многие задачи
из механики
и физики ведут
к понятию
первообразной
функции неопределённого
интеграла,
однако исторически,
в частности
у Ньютона,
это понятие
возникло из
геометрии как
задача квадратуры
кривой.
П усть
имеем криволинейную
трапецию (рис.
11), ограниченную
сверху кривой
у = f(х), и пусть
эта функция
непрерывна
на [а,в] и принимает
лишь неотрицательное
значение.
Для нахождения
площади Р нашей
трапеции рассмотрим
сначала площадь
Р(х) фигуры
АDLK, отвечающей
промежутку
[а, х], где х
– произвольно
взятое на [а,в]
значение. Для
нахождения
функции Р(х)
построим приращение
х и
соответствующее
ему приращение
Р, если
т и М предоставляют
минимум, соответственно,
максимум f(х)
в промежутке
[х, х+х],
то, очевидно,
будет иметь
место неравенство
т х
Р
МР
,
откуда т
Р/х
М.
Вследствие
непрерывности
функции м и
М будут стремиться
к f(х) при стремлении
х к
нулю, и мы получим:
lim
Р/х
= Р’(х) = f(х),
то есть, производная
от переменной
Р(х) по конечной
абсциссе х
равна конечной
ординате у
= f(х), или, тоже,
площадь Р(х)
криволинейной
трапеции есть
первообразная
функция для
функции у =
f(х), представляющей
собой кривую
ограничивающую
трапецию.
Можно теперь
записать:
Р(х) = F(х) +С.
(V)
Но так как при
х = аР(х) = 0, получим
для значения
постоянной
С в нашем случае:
0 = F(а) + С, или С
= – F(а),
подставив это
значение С в
(V), будем иметь:
Р(х) = F(х) –
F(а), (W)
Для определения
площади Р всей
криволинейной
трапеции ABCD
следует положить
х = в.
Тогда
Р = F(в) – F(а).
Таким путём
исходя из понятия
производной,
Ньютон пришёл
к понятию
первообразной
или неопределённого
интеграла.
Последний
являлся для
Ньютона первоначальным
понятием при
построении
интегрального
исчисления.
Р авенство
(W), пользуясь
современными
символами,
можно переписать
так:
f(х)dх = F(х)
– F(а).
Это и есть так
называемая
формула Ньютона–Лейбница.
В ней определённый
интеграл,
рассматриваемый
как функция
верхнего переменного
предела интегрирования
представлен
в виде одной
из первообразных
F(х) + С подынтегральной
функции f(х).
Итак, задача
вычисления
площади фигур,
то есть, квадратура,
ведёт к понятиям
как определённого,
так и неопределённого
интегралов.
Поэтому вычисление
интегралов
стали называть
квадратурой.
3.6. Дифференциальные
методы.
В математике
XVII в. наряду с
интегральными
методами
складывались
и методы дифференциальные.
К дифференциальным
методам мы
отнесём те, в
которых содержатся
элементы будущего
дифференциального
исчисления.
Вырабатывались
эти элементы
при решении
задач, которые
в настоящее
время решаются
с помощью
дифференцирования.
Такие задачи
были в то время
трёх видов:
определение
касательных
к кривым, нахождение
максимумов
и минимумов
функций и
отыскивание
условий существования
алгебраических
уравнений
кратных корней.
Накопление
элементов
дифференциального
исчисления
наиболее явную
форму приняло
у Ферма. В 1638 г.
он сообщил в
письме Декарту,
что решил задачу
определения
экстремальных
значений f(х)
.
Ф ерма
составил уравнение
[f(х + h) – f(х)] / h
= 0 и после преобразований
в левой части
полагал h = 0.
Вопреки мнению
позднейших
исследователей,
которые видели
в этом идеи
исчисления
бесконечно
малых, в действительности
Ферма нашёл
это условие
и аналогичное
[f(у) – f(х)] / [у–х]
= 0
Так же близок
к дифференциальному
исчислению
метод Ферма
отыскания
касательных
к алгебраическим
кривым.
На малой дуге
MN алгебраической
кривой f(х) = 0
путём проведения
секущей SMN
строится
«характеристический»
MNP.
MNP подобен
MRS.
Отсюда SR = (MR . MP)
/ PN, или в более
привычных нам
символах SP =
[f(х)h] / f(х+h) –
f(х).
Затем Ферма
переходит от
секущей к
касательной,
полагая х =
0, получая тем
самым St = у /
у1. Позднее
он распространил
этот метод
определения
касательных
на случай неявной
функции f(х,у)
= 0. Полученное
им выражение
легко переводится
в привычное
нам
дf / дх + у1
(дf / дх) = 0.
Первый в мире
печатный курс
дифференциального
исчисления
опубликовал
в 1696 г. Лопиталь.
Этот курс состоит
из предисловия
и 10 глав. В предисловии
даётся краткий
исторический
обзор развития
нового исчисления.
В 10 главах книги
излагаются
определения
постоянных
и переменных
величин и
дифференциала
(«Бесконечно
малая, часть
на которую
непрерывно
увеличивается
или уменьшается
переменная
величина, называется
её дифференциалом».),
объясняются
употребляющиеся
обозначения
dх, dу и др., выводятся
правила дифференцирования
алгебраических
выражений,
определяется
дифференциальное
исчисление
к нахождению
касательных
к кривым, к
нахождению
максимумов
и минимумов
и т.п.
Большими
достоинствами
книги Лопиталя
являются простота
и строгая
последовательность
изложения,
обилие примеров
лёгких, средних
и более трудных.
Появление
анализа бесконечно
малых революционировало
всю математику,
превратив её
в математику
переменных
величин.
Литература.
Стефан Бонах
«Дифференциальные
и интегральные
исчисления».
Глаголев А.А.,
Солнцева Т.В.
«Курс высшей
математики».
Глейзер Г.И.
«История математики
в школе».
Рыбников К.А.
«История
математики».
Стройк Д.Я.
«Краткий очерк
истории математики».
Шестаков А.А.
Малышева И.А.
«Курс высшей
математики».
Хрестоматия
по истории
математики.
|