реферат
Главная

Рефераты по биологии

Рефераты по экономике

Рефераты по москвоведению

Рефераты по экологии

Краткое содержание произведений

Рефераты по физкультуре и спорту

Топики по английскому языку

Рефераты по математике

Рефераты по музыке

Остальные рефераты

Рефераты по авиации и космонавтике

Рефераты по административному праву

Рефераты по безопасности жизнедеятельности

Рефераты по арбитражному процессу

Рефераты по архитектуре

Рефераты по астрономии

Рефераты по банковскому делу

Рефераты по биржевому делу

Рефераты по ботанике и сельскому хозяйству

Рефераты по бухгалтерскому учету и аудиту

Рефераты по валютным отношениям

Рефераты по ветеринарии

Рефераты для военной кафедры

Рефераты по географии

Рефераты по геодезии

Рефераты по геологии

Реферат: Дефект масс и энергия связи ядер

Реферат: Дефект масс и энергия связи ядер

МИНИСТЕРСТВО ОБРАЗОВАНИЯ РОССИЙСКОЙ ФЕДЕРАЦИИ

БЛАГОВЕЩЕНСКИЙ ГОСУДАРСТВЕННЫЙ

ПЕДАГОГИЧЕСКИЙ УНИВЕРСИТЕТ


кафедра общей физики


Энергия связи и дефект масс

курсовая работа


Выполнила: студентка 3 курса ФМФ, группы «Е», Подорван А.Н.

Проверила: доцент Карацуба Л.П.

Благовещенск 2000

Содержание


§1. Дефект массы – характеристика

атомного ядра, энергия связи. 3

§ 2 Масс-спектроскопические методы

измерения масс и аппаратура. 7

§ 3. Полуэмпирические формулы для

вычисления масс ядер и энергий связи ядер. 12

п.3.1. Старые полуэмпирические формулы. 12

п.3.2. Новые полуэмпирические формулы

с учетом влияния оболочек 16

Литература 24

§1. Дефект массы – характеристика атомного ядра, энергия связи.


Задача о нецелочисленности атомного веса изотопов долго волновала учёных, но теория относительности, установив связь между массой и энергией тела (E=mc2), дала ключ к решению этой задачи, а протон-нейтронная модель атомного ядра оказалась тем замком, к которому этот ключ подошёл. Для решения данной задачи понадобятся некоторые сведения о массах элементарных частиц и атомных ядер (табл. 1.1).

Таблица 1.1

Масса и атомный вес некоторых частиц

Частица

Символ

Масса, кг

Масса в физической шкале1

Электрон

e

(9,10830,0003)10-31

(5,487630,00006)10–4

Протон

(1,672390,00004)10-27

1,0075930,000003

Нейтрон

(1,674700,00004)10-27

1,0089820,000003

Альфа-частица

(6,64330,0001)10-27

4,0027800,000006

(Массы нуклидов и их разности определяют опытным путем с помощью: масс-спектроскопических измерений; измере­ний энергий различных ядерных реакций; измерений энергий β- и α-распадов; микроволновых измерений, дающих отношение масс или их разностей.)

Сравним массу -частицы, т.е. ядра гелия, с массой двух протонов и двух нейтронов, из которых оно состоит. Для этого из суммы удвоенной массы протона и удвоенной массы нейтрона вычтем массу -частицы и полученную таким образом величину назовём дефектом массы

m=2Mp+2Mn-M=0,03037 а.е.м. (1.1)

Атомная единица массы

mа.е.м.= (1,65970,0004)10-27 кг. (1.2)

Пользуясь формулой связи между массой и энергией, делаемой теорией относительности, можно определить величину энергии, которая соответствует этой массе, и выразить её в джоулях или, что более удобно, в мегаэлектронвольтах (1 Мэв=106 эв). 1 Мэв соответствует энергии, приобретаемой электроном, прошедшим разность потенциалов в миллион вольт.

Энергия, соответствующая одной атомной единице массы, равна

E=mа.е.м. с2=1,6597 10-27 8,99 1016=1,49 10-10 дж=931 Мэв. (1.3)

Наличие у атома гелия дефекта массы (m = 0,03037 а.е.м.) означает, что при его образовании была излучена энергия (Е=2= 0,03037 931=28 Мэв). Именно эту энергию нужно приложить к ядру атома гелия для того, чтобы разложить его на отдельные частицы. Соответственно на одну частицу приходится энергия, в четыре раза меньшая. Эта энергия характеризует прочность ядра и является важной его характеристикой. Её называют энергией связи, приходящейся на одну частицу или на один нуклон (р). Для ядра атома гелия р=28/4=7 Мэв, для других ядер она имеет иную величину.

В
сороковые годы ХХ века благодаря работам Астона, Демпстера и других ученых с большой точностью были определены значения дефекта массы и вычислены энергии связи для ряда изотопов. На рис.1.1 эти результаты представлены в виде графика, на котором по оси абсцисс отложен атомный вес изотопов, а по оси ординат – средняя энергия связи частицы в ядре.

Анализ этой кривой интересен и важен, т.к. по ней, и очень наглядно, видно, какие ядерные процессы дают большой выход энергии. По существу ядерная энергетика Солнца и звёзд, атомных электростанций и ядерного оружия является реализацией возможностей, заложенных в тех соотношениях, которые показывает эта кривая. Она имеет несколько характерных участков. Для лёгкого водорода энергия связи равна нулю, т.к. в его ядре всего одна частица. Для гелия энергия связи на одну частицу составляет 7 Мэв. Таким образом, переход от водорода к гелию связан с крупным энергетическим скачком. У изотопов среднего атомного веса: железа, никеля и др. энергия связи частицы в ядре наибольшая (8,6 Мэв) и соответственно ядра этих элементов наиболее прочные. У более тяжёлых элементов энергия связи частицы в ядре меньше и поэтому их ядра относительно менее прочные. К таким ядрам относится и ядро атома урана-235.

Чем больше дефект массы ядра, тем большая энергия излучена при его образовании. Следовательно, ядерное превращение, при котором происходит увеличение дефекта массы, сопровождается добавочным излучением энергии. Рисунок 1.1 показывает, что имеются две области, в которых эти условия выполняются: переход от самых лёгких изотопов к более тяжёлым, например, от водорода к гелию, и переход от самых тяжёлых, например урана, к ядрам атомов среднего веса.

Так же есть часто используемая величина, несущая в себе ту же информацию, что и дефект масс – упаковочный коэффициент (или множитель). Упаковочный коэффициент характеризует стабильность ядра, его график представлен на рисунке 1.2.


Р
ис. 1.2. Зависимость упаковочного коэффициента от массового числа

§ 2. Масс-спектроскопические методы измерения

масс и аппаратура.

Наиболее точные измерения масс нуклидов, произведенные методом дублетов и использованные для вычисления масс, были выполнены на масс-спектроскопах с двойной фокусировкой и на динамическом приборе – синхрометре.

Один из советских масс-спектрографов с двойной фокуси­ровкой типа Бейнбриджа – Иордана был построен М. Арденне, Г. Егером, Р. А. Демирхановым, Т. И. Гуткиным и В. В. Доро­ховым. Все масс-спектроскопы с двойной фокусировкой имеют три основные части: источник ионов, электро-статический анализатор и магнитный анализатор. Электростатический анали-затор разлагает пучок ионов по энергиям в спектр, из кото­рого щель вырезает некоторую центральную часть. Магнитный анализатор фокусирует ионы раз-ной энергии в одной точке, так как ионы с разной энергией проходят в секторном магнитном поле различные пути.

Масс-спектры регистрируются на фотопластинках, располо­женных в фото-камере. Шкала прибора почти в точности линей­ная, и при определении диспер-сии в центре пластины нет необ­ходимости применять формулу с поправочным квадратичным членом. Средняя разрешающая способность около 70 000.

Другой отечественный масс-спектрограф сконструирован В. Шютце при участии Р. А. Демирханова, Т. И. Гуткина, О. А. Самадашвили и И. К. Карпенко. На нем выполнены измерения масс нуклидов олова и сурьмы, результаты кото­рых использованы в таблицах масс. Этот прибор имеет квадра­тичную шкалу и обеспечивает двойную фокусировку для всей шкалы масс. Средняя разрешающая способность прибора около 70 000.

Из зарубежных масс-спектроскопов с двойной фокусировкой наиболее точным является новый масс-спектрометр Нира – Робертса с двойной фокусировкой и новым методом регистрации ионов (рис. 2.1). Он имеет 90-градусный электростатический анализатор с радиусом кривизны Re=50,8 см и 60-градусный магнитный анализатор с радиусом кривизны оси ионного пучка R
m=40,6 см.


Рис. 2.1. Большой масс-спектрометр Нира – Робертса с двойной фо­кусировкой Миннесстского университета:

1 – источник ионов; 2 – электростатический анализатор; 3магнитный анализатор; 4электронный умножитель для регистрации тока; S1 – вход­ная щель; S2апертурная щель; S3 – щель в плоскости изображения элек­тростатического анализатора; S4 – щель в плоскости изображения маг­нитного анализатора.

Полученные в источнике ионы ускоряются разностью потенциалов Ua=40 кв и фокусируются на входной щели S1 шириной около 13 мкм; такова же ширина щели S4, на которую проекти­руется изображение щели S1. Апертурная щель S2 имеет шири­ну около 200 мкм, щель S3, на которую электростатическим анализатором проектируется изображение щели S1, имеет ширину около 400 мкм. За щелью S3 расположен зонд, облегчающий подбор отношений Ua/Ud, т. е. ускоряющего потенциала Ua источника ионов и потенциалов анализатора Ud.

На щель S4 магнитным анализатором проектируется изобра­жение источника ионов. Ионный ток силой 10­­–12 – 10–9 а регист­рируется электронным умножителем. Можно регулировать ши­рину всех щелей и перемещать их снаружи, не нарушая ваку­ума, что облегчает юстировку прибора.

Существенное отличие этого прибора от предыдущих – при­менение осциллографа и развертывание участка спектра масс, впервые примененное Смитом для синхрометра. При этом пило­образные импульсы напряжения используются -одновременно для перемещения луча в трубке осциллографа и для модуляции магнитного поля в анализаторе. Глубина модуляции подбирает­ся такой, чтобы масс-спектр развертывался у щели примерно на удвоенную ширину одной линии дублета. Это мгновенное раз­вертывание пика массы сильно облегчает фокусировку.

Как известно, если масса иона М изменилась на ΔМ, то для того чтобы траектория иона в данном электромагнитном поле осталась прежней, следует все электрические потенциалы изме­нить в ΔМ/М раз. Таким образом, для перехода от одной легкой составляющей дублета с массой М к другой составляющей, имеющей массу на ΔM большую, необходимо первоначальные разности потенциалов, приложенные к анализатору Ud, и к источ­нику ионов Ua, изменить соответственно на ΔUd и ΔUa так, чтобы

(2.1)

Следовательно, разность масс ΔM дублета можно измерить по разности потенциалов ΔUd, необходимой для того, чтобы сфоку­сировать вместо одной составляющей дублета другую.

Разность потенциалов подается и измеряется по схеме изоб­раженной на рис. 2.2. Все сопротивления, кроме R*, манганино­вые, эталонные, заключены в термостат. R= R' =3 371 630 ± 65 ом. ΔR может изменяться от 0 до 100000 Oм, так что отношение ΔR/R известно с точностью до 1/50000. Сопротивление ΔR по­добрано так, что при положении реле, включенном на контакт А, на щели S4, оказывается сфокусированной одна линия дубле­та, а при положении реле на контакт В – другая линия дублета. Реле – быстродействующее, переключается после каждого цикла развертывания в осциллографе, поэтому на экране можно видеть одновременно развертки обеих линий дублета. Измене­ние потенциала ΔUd, вызванное добавочным сопротивлением ΔR, можно считать подобранным, если обе развертки совпада­ют. При этом другая аналогичная схема с синхронизированным реле должна обеспечить изменение ускоряющего напряжения Uа на ΔUa так, чтобы

(2.2)

Тогда разность масс дублета ΔM можно определить по диспер­сионной формуле

(2.3)

Частота развертки обычно довольно велика (например, 30 сек -1), поэтому шумы источников напряжения должны быть минимальны, но длительная устойчивость не обязательна. В этих условиях идеальным источником являются батареи.

Разрешающая сила синхрометра ограничена требованием сравнительно больших ионных токов, так как частота развертки велика. В данном приборе наибольшее значение разрешающей силы – 75000, но, как правило, оно меньше; наименьшее значе­ние – 30000. Такая разрешающая сила позволяет отделить основные ионы от ионов примесей почти во всех случаях.

При измерениях считалось, что погрешность состоит из ста­тистической погрешности и погрешности, вызванной неточно­стью калибровки сопротивлений.

Перед началом работы спектрометра и при определении раз­личных разностей масс проводили серию контрольных измере­ний. Так, через определенные промежутки времени работы при­бора измерялись контрольные дублеты O2 – S и C2H4 – СО, в результате чего было установлено, что в течение нескольких месяцев никаких изменений не произошло.

Для проверки линейности шкалы одну и ту же разность масс определяли при разных массовых числах, например по дублетам СН4 – О, С2Н4 – СО и Ѕ(C3H8 – CO2). В результа­те этих контрольных измерений были получены значения, отлича­ющиеся друг от друга лишь в пределах погрешностей. Эта проверка была проделана для четырех разностей масс, и согласие получилось очень хорошее.

Правильность результатов измерений подтвердилась также измерением трех разностей масс триплетов. Алгебраическая сумма трех разностей масс в триплете должна быть равна нулю. Результаты таких измерений для трех триплетов при разных массовых числах, т. е. в разных частях шкалы, оказались удов­летворительными.

Последним и очень важным контрольным измерением для проверки правильности дисперсионной формулы (2.3) было измерение массы атома водорода при больших массовых чис­лах. Это измерение проделали один раз для А =87, как разность масс дублета C4H8O2 – С4Н7O2. Результаты 1,00816±2 а. е. м. с погрешностью до 1/50000 согласуются с измеренной массой Н, равной 1,0081442±2 а. е. м., в пределах погрешности измерения сопротивления ΔR и погрешности калибровки сопротивлений для этой части шкалы.

Все эти пять серий контрольных измерений показали, что формула дисперсии пригодна для данного прибора, а результа­ты измерений достаточно надежны. Данные измерений, выпол­ненных на этом приборе, были исполь­зованы для составления таблиц.


§ 3. Полуэмпирические формулы для вычисления масс ядер и энергий связи ядер.


п.3.1. Старые полуэмпирические формулы.

По мере развития теории строения ядра и появления различных моделей ядра возникли попытки создания формул для вычисления масс ядер и энергий связи ядер. Эти формулы основываются на существующих теоретических представлениях о строении ядра, но при этом коэффициенты в них вычисляются из найденных экспериментальных масс ядер. Такие формулы частично основанные на теории и частично выведенные из опытных данных, называют полуэмпирическими формулами.

Полуэмпирическая формула масс имеет вид:

M(Z, N)=ZmH+Nmn-EB(Z, N), (3.1.1)

где M(Z, N) – масса нуклида с Z протонами и N – нейтронами; mH – масса нуклида Н1; mn – масса нейтрона; EB(Z, N) – энергия связи ядра.

Эта формула, основанная на статистической и капельной моделях ядра, предложена Вейцзекером. Вейцзекер перечислил известные из опыта закономерности изменения масс:

  1. Энергии связи легчайших ядер возрастают очень быстро с массовыми числами.

  2. Энергии связи ЕВ всех средних и тяжёлых ядер возрастают приблизительно линейно с массовыми числами А.

  3. Средние энергии связи на один нуклон ЕВ/А лёгких ядер возрастают до А≈60.

  4. Средние энергии связи на один нуклон ЕВ/А более тяжёлых ядер после А≈60 медленно убывают.

  5. Ядра с чётным числом протонов и чётным числом нейтронов имеют несколько большие энергии связи, чем ядра с нечётным числом нуклонов.

  6. Энергия связи стремится к максимуму для случая, когда числа протонов и нейтронов в ядре равны.

Вейцзекер учёл эти закономерности при создании полуэмпирической формулы энергии связи. Бете и Бечер несколько упростили эту формулу:

EB(Z, N)=E0+EI+ES+EC+EP. (3.1.2)

и её часто называют формулой Бете-Вейцзекера. Первый член Е0 – часть энергии, пропорциональная числу нуклонов; ЕI – изотопический или изобарный член энергии связи, показывающий, как изменяется энергия ядер при отклонении от линии наиболее устойчивых ядер; ЕS – поверхностная или свободная энергия капли нуклонной жидкости; ЕС – кулоновская энергия ядра; ЕР – парная энергия.

Первый член равен

Е0 = αА. (3.1.3)

Изотопический член ЕI есть функция разности N–Z. Т.к. влияние электрического заряда протонов предусматривается членом ЕС, ЕI есть следствие только ядерных сил. Зарядовая независимость ядерных сил, особенно сильно ощущаемая в лёгких ядрах, приводит к тому, что ядра наиболее устойчивы при N=Z. Так как уменьшение устойчивости ядер не зависит от знака N–Z, зависимость ЕI от N–Z должна быть по меньшей мере квадратичной. Статистическая теория даёт следующее выражение:

ЕI = –β(N–Z)2А–1. (3.1.4)

Поверхностная энергия капли с коэффициентом поверхностного натяжения σ равна

ЕS=4πr2σ. (3.1.5)

Кулоновский член есть потенциальная энергия шара, заряженного равномерно по всему объёму зарядом Ze:

(3.1.6)

Подставив в уравнения (3.1.5) и (3.1.6) радиус ядра r=r0A1/3, получим

(3.1.7)

(3.1.8)

а подставив (3.1.7) и (3.1.8) в (3.1.2), получим

. (3.1.9)

Постоянные α, β и γ подбирают такими, чтобы формула (3.1.9) лучшим образом удовлетворяла всем значениям энергий связи, вычисленным по экспериментальным данным.

Пятый член, представляющий парную энергию, зависит от четности числа нуклонов:


(3.1.10)


Ферми уточнил также постоянные по новым экспериментальным данным. Полуэмпирическая формула Бете-Вейцзекера, выражающая массу нуклида в старых единицах (16О=16), получилась такой:

M(A, Z) = 0,99391A – 0,00085 + 0,014A2/3 +

+0,083(A/2 – Z)2A-1 + 0,000627Z2A-1/3 + π0,036A-3/4


(3.1.11)


Для четных нуклидов π = –1; для нуклидов с нечетным А π = 0; для нечетных нуклидов π = +1.

К сожалению, эта формула весьма устарела: расхождения с действительными величинами масс может достигать даже 20 Мэв и имеет среднее значение около 10 Мэв.

В многочисленных дальнейших работах первоначально лишь уточняли коэффициенты или вводили некоторые не слишком важные дополнительные члены. Метрополис и Рейтвизнер еще раз уточнили формулу Бете–Вейцзекера:


M(A, Z) = 1,01464A + 0,014A2/3 + +0,041905 + π0,036A-3/4


(3.1.12)


Для четных нуклидов π = –1; для нуклидов с нечетным А π = 0; для нечетных нуклидов π = +1.

Вапстра предложил учитывать влияние оболочек с помощью члена такого вида:

(3.1.13)

где Ai, Zi и Wi – эмпирические постоянные, подбираемые по опытным данным для каждой оболочки.

Грин и Эдварс ввели в формулу масс следующий член, характеризующий влияние оболочек:

(3.1.14)

где αi, αj и Kij – постоянные, полученные из опыта; и – средние значения N и Z в данном интервале между заполненными оболочками.

п.3.2. Новые полуэмпирические формулы с учетом влияния оболочек

Камерон исходил из формулы Бете—Вейцзекера и со­хранил два первых члена формулы (3.1.9). Член, выражающий поверхностную энергию ES (3.1.7), был изменен.

Рис. 3.2.1. Распределение плотности ядерной мате­рии ρ по Камерону в зависимости от расстоя­ния до центра ядра. А—средний радиус ядра; Z половина толщины поверхностного слоя ядра.


При рассмотрении рассеяния элек­тронов на ядрах, можно сделать вывод, что распределение плотности ядерной материи в ядре ρn трапециеобразно (рис. 16). За средний радиус ядра т можно принять расстояние от центра до точки, где плотность убывает вдвое (см. рис. 3.2.1). В результате обработки опытов Хофштедтера. Камерон предложил такую формулу для среднего радиуса ядер:

Он считает, что поверхностная энергия ядра пропорциональна квадрату среднего радиуса r2, и вводит поправку, предложен­ную Финбергом, учитывающую симметрию ядра. По Каме­рону, поверхностную энергию можно выразить так:

Ч

етвертый, кулоновский, член формулы (3.1.9) также был исправлен в связи с трапецеидальным распределением плотно­сти ядра. Выражение для кулоновского члена имеет вид

К
роме того. Камерон ввел пятый кулоновский обменный член, характеризующий корреляцию в движении протонов в ядре и малую вероятность сближения протонов. Обменный член

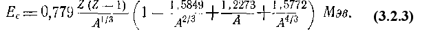
Таким образом, избыток масс, по Камерону, выразится так:

М - А = 8,367А - 0,783Z + αА +β+

+ ЕS + EC + Еα = П (Z, N). (3.2.5)

Подставив экспериментальные значения М—А методом наи­меньших квадратов получили следующие наиболее надежные значения эмпирических коэффициентов (в Мэв):

α=–17,0354; β=– 31,4506; γ=25,8357; φ=44,2355. (3.2.5а)

С помощью этих коэффициентов были вычислены массы. Рас­хождения между вычисленными и экспериментальными массами показаны на рис. 3.2.2. Как можно заметить, в некоторых случаях расхождения достигают 8 Мэв. Особенно велики они у нукли-дов с замкнутыми оболочками.

Камерон ввел дополнительные слагаемые: член, учитываю­щий влияние ядерных оболочек S(Z, N), и член P(Z, N), харак­теризующий парную энергию и учитывающий изменение массы в зависимости от четности N и Z:

М—А=П(Z, N)+S(Z, N)+P(Z, N). (3.2.6)

Рис. 3.2.2. Разности между значениями масс, вычисленными по основной формуле Камерона (3.2.5), и эксперименталь­ными значениями тех же масс в зависимости от массового числа А.


При этом, т.к. теория не может предложить вида членов, который отражал бы некоторые скачкообразные изменения масс, он объединил их в одно выражение

T(Z, N)=S(Z, N)+P(Z. N). (3.2.7)

Далее была выдвинута гипотеза о том, что воздействие чет­ности и оболочек зависит в отдельности от числа протонов Z и от числа нейтронов N, т.е.

T(Z, N)=T(Z) +T(N). (3.2.8)

Это разумное предложение, так как опытные данные подтверж­дают, что протонные оболочки заполняются независимо от ней­тронных и парные энергии для протонов и нейтронов в первом приближении можно считать независимыми.

На основании таблиц масс Вапстра и Хьюзенга Ка­мерон составил таблицы поправок T(Z) и T(N) на четность и заполнение оболочек.

Г. Ф. Драницына, использовав новые измерения масс Бано, Р. А. Демирханова и много­численные новые измерения β- и α-распадов, уточнила значения поправок T(Z) и T(N) в области редких земель от Ва до Pb. Она составила новые таблицы избытков масс (М—А), вычис­ленных по исправленной формуле Камерона в этой области. В таблицах приведены также вычисленные заново энергии β-распадов нуклидов в той же области (56≤Z≤82).

Старые полуэмпирические формулы, охватывающие весь диапазон А, оказываются слишком неточными и дают очень большие расхождения с измеренными массами (порядка 10 Мэв). Создание Камероном таблиц с более чем 300 поправ­ками уменьшило расхождение до 1 Мэв, но расхождения все же в сотни раз превышают погрешности измерений масс и их разностей. Тогда появилась идея разбить всю область нуклидов на подобласти и для каждой из них создать полуэм­пирические формулы ограниченного применения. Такой путь и избрал Леви, который вместо одной формулы с универсаль­ными коэффициентами, пригодными для всех А и Z, пред­ложил формулу для отдельных участков последовательности нуклидов.

Наличие параболической зависимости от Z энергии связи нуклидов изобар требует, чтобы в формуле содержались члены до второй степени включительно. Поэтому Леви предложил такую функцию:

М(А, Z)=α0+ α1 А+ α2 Z+ α3 АZ+ α4 Z2+ α5 А2+δ; (3.2.9)

где α0, α1, α2, α3, α4, α5 – численные коэффициенты, найденные по опытным данным для некоторых интервалов, а δ — член, учитывающий спаривание нуклонов и зависящий от четности N и Z.

Все массы нуклидов разбили на девять подобластей, огра­ниченных ядерными оболочками и подоболочками, и значения всех коэффициентов формулы (3.2.9) вычислили по экспери­ментальным данным для каждой из этих подобластей. Значения найденных коэффициентов та и члена δ, определяемого чет­ностью, приведены в табл. 3.2.1 и 3.2.2. Как видно из таблиц, были учтены не только оболочки из 28, 50, 82 и 126 протонов или ней­тронов, но и подоболочки из 40, 64 и 140 протонов или нейтро­нов.

Таблица 3.2.1

Коэффициенты α в формуле Леви (3.2.9), ма. е. м (16О =16)

Z

N

α0

α1

α2

α3

α4

α5

29–40

29–40

29–40

41–50

51–64

51–64

65–82

>82

>82

29–40

41–50

51–82

51–82

51–82

83–126

83–126

127–140

>140

–155,91

–150,06

+96,27

–135,41

–133,60

–672,82

–83,72

–1746,56

571,90

13,202

7,359

3,780

5,342

6,399

13,059

3,843

18,067

–1,407

–21,956

–10,094

–17,406

–9,712

–13,465

–14,140

–10,680

–10,846

–12,238

–0,9707

–0,7023

–0,5349

–0,5570

–0,4287

–0,4461

–0,4644

–0,4364

–0,3971

1,4544

0,9473

0,8150

0,7432

0,6417

0,6492

0,6464

0,6133

0,5706

0,11565

0,10340

0,10050

0,09758

0,06583

0,05370

0,08739

0,05171

0,08613


Таблица 3.2.2

Член δ в формуле Леви (3.2.9), определенный четностью, ма. е. м. (16О =16)


Z

N

δ при

четном Z и четном N

нечетном Z и нечетном N

нечетном Z и четном N

четном Z и нечетном N

29—40

29—40

29—40

41—50

51—64

51—64

65—82

82

29—40

41—50

51—82

51—82

51—82

83—126

83—126

127—140

0

0

0

0

0

0

0

0

2,65

3,08

2,02

3,08

2,52

2,09

1,61

1,66

1,44

1,84

1,27

1,54

1,12

0,96

0,84

1,01

2,20

1,82

0,75

1,44

1,13

0,73

0,76

0,88


По формуле Леви с этими коэффициентами (см. табл. 3.2.1 и 3.2.2) Риддель вычислил на электронно-счетной машине таблицу масс примерно для 4000 нуклидов. Сравнение 340 экспери­ментальных значений масс с вычисленными по формуле (3.2.9) показало хорошее согласие: в 75% случаев расхождение не пре­вышает ±0,5 ма. е. м., в 86% случаев—не больше ±1,0мa.e.м. и в 95% случаев оно не выходит за пределы ±1,5 ма. е. м. Для энергии β-распадов согласие еще лучше. При этом количе­ство коэффициентов и постоянных членов у Леви всего 81, а у Камерона их более 300.

Поправочные члены T(Z) и T(N) в формуле Леви заменены на отдельных участках между оболочками квадратичной функ­цией от Z или N. В этом нет ничего удивительного, так как между оболочками функции T(Z) и T(N) являются плавными функциями Z и N и не имеют особенностей, не позволяющих представить их на этих участках многочленами второй степени.

Зелдес рассматривает теорию ядерных оболочек и при­меняет новое квантовое число s—так называемое старшин­ство (seniority), введенное Рака. Квантовое число “стар­шинство" не является точным квантовым числом; оно совпадает с числом неспаренных нуклонов в ядре или, иначе, равно числу всех нуклонов в ядре за вычетом числа спаренных нуклонов с нулевым моментом. В основном состоянии во всех четных ядрах s=0; в ядрах с нечетным A s=1 и в нечетных ядрах s=2. Используя квантовое число “старшинство и предельно ко­роткодействующие дельта-силы, Зелдес показал, что формула типа (3.2.9) соответствует теоретическим ожиданиям. Все коэф­фициенты формулы Леви были выражены Зелдесом через различные теоретические параметры ядра. Таким образом, хотя формула Леви появилась как чисто эмпирическая, результаты исследований Зелдеса показали, что ее вполне можно считать полуэмпирической, как и все предыдущие.

Формула Леви, по-видимому, лучшая из существующих, однако она имеет один существенный недостаток: она плохо применима на границе областей действия коэффициентов. Имен­но около Z и N, равных 28, 40, 50, 64, 82, 126 и 140, формула Леви дает самые большие расхождения, в особенности если по ней рассчитывать энергии β-распадов. Кроме того, коэффициен­ты формулы Леви вычислены без учета новейших значений масс и, по-видимому, должны быть уточнены. По мнению Б. С. Джелепова и Г. Ф. Драницыной, при этом вычислении следует уменьшить число подобластей с разными наборами коэффи­циентов α и δ, отбросив подоболочки Z=64 и N=140.

Формула Камерона содержит много постоянных. Этим же недостатком страдает и формула Бекеров. В первом варианте формулы Бекеры, исходя из того, что ядерные силы короткодействующие и обладают свойством насыщения, предположили, что ядро следует разделить на внешние нуклоны и внутреннюю часть, содержащую заполненные оболочки. Они приняли, что внешние нуклоны не взаимодействуют друг с дру­гом, не считая энергии, выделяющейся при образовании пар. Из этой простой модели следует, что нуклоны одинаковой чет­ности имеют энергию связи, вызванную связью с сердцевиной, зависящую только от избытка нейтронов I=N–Z. Таким обра­зом, для энергии связи предложен первый вариант формулы

ЕB=b'(I)А+а' (I)+P' (A, I)[(-1)N+(-1)Z]+S'(A, I)+R'(A, I), (3.2.10)

где Р'член, учитывающий эффект спаривания, зависящий от четности N и Z; S'поправка на эффект оболочек; R'малый остаток.

В этой формуле существенно предположение, что энергия связи на один нуклон, равная b', зависит только от избытка нейтронов I. Это означает, что сечения энергетической поверх­ности по линиям I=N–Z, самые длинные сечения, содержащие 30—60 нуклидов, должны иметь одинаковый уклон, т.е. должны характеризоваться прямой линией. Опытные данные подтверждают довольно хорошо это предположение. В дальнейшем Бекеры дополнили эту формулу еще одним членом:

ЕB=b(I)А+а(I)+c(A)+P (A, I)[(-1)N+(-1)Z]+S(A, I)+R(A, I). (3.2.11)

Сравнивая значения, полученные по этой формуле, с экспериментальными значениями масс Вапстра и Хьюзенга и урав­нивая их по методу наименьших квадратов, Бекеры получили ряд значений коэффициентов b и а для 2≤I≤58 и 6≤A≤258, т. е. более 400 цифровых постоянных. Для членов Р, учитываю­щих четность N и Z, они также приняли набор некоторых эмпи­рических значений.

Чтобы уменьшить число постоянных, были предложены фор­мулы, в которых коэффициенты а, b и с представлены в виде функций от I и А. Однако вид этих функций весьма сложен, например функция b(I) есть полином пятой степени от I и содержит, кроме того, два члена с синусом.

Таким образом, эта формула оказалась не проще формулы Камерона. По утверждению Бекеров, она дает значения, рас­ходящиеся с измеренными массами для легких нуклидов не бо­лее ±400 кэв, а для тяжелых (A>180) не более ±200 кэв. У оболочек в отдельных случаях расхождение может достигать ± 1000 кэв. Недостаток работы Бекеров — отсутствие таблиц масс, вычисленных по этим формулам.

В заключение, подводя итоги, следует отметить, что сущест­вует очень большое число полуэмпирических формул разного качества. Несмотря на то, что первая из них, формула Бете— Вейцзекера, как будто устарела, она продолжает входить как составная часть почти во все самые новые формулы, кроме формул типа Леви — Зелдеса. Новые формулы достаточно слож­ны и вычисление по ним масс довольно трудоемко.


Литература
  1. Завельский Ф.С. Взвешивание миров, атомов и элементарных частиц. –М.: Атомиздат, 1970.

  2. Г. Фраунфельдер, Э. Хенли, Субъатомная физика. –М.: «Мир», 1979.

  3. Кравцов В.А. Масса атомов и энергии связи ядер. –М.: Атомиздат, 1974.

1 В физической шкале атомных весов атомный вес изотопа кислорода принят равным точно 16,0000.


 
© 2012 Рефераты, доклады, дипломные и курсовые работы.