реферат
Главная

Рефераты по биологии

Рефераты по экономике

Рефераты по москвоведению

Рефераты по экологии

Краткое содержание произведений

Рефераты по физкультуре и спорту

Топики по английскому языку

Рефераты по математике

Рефераты по музыке

Остальные рефераты

Рефераты по авиации и космонавтике

Рефераты по административному праву

Рефераты по безопасности жизнедеятельности

Рефераты по арбитражному процессу

Рефераты по архитектуре

Рефераты по астрономии

Рефераты по банковскому делу

Рефераты по биржевому делу

Рефераты по ботанике и сельскому хозяйству

Рефераты по бухгалтерскому учету и аудиту

Рефераты по валютным отношениям

Рефераты по ветеринарии

Рефераты для военной кафедры

Рефераты по географии

Рефераты по геодезии

Рефераты по геологии

Реферат: Охрана и использование водных ресурсов

Реферат: Охрана и использование водных ресурсов

Реферат

по биологии

по теме:

 "Охрана и использование водных ресурсов"

ученика 10 класса "Б"

физико-математической школы-лаборатории №444

Ланкина Дмитрия

Москва 2000 г.

Содержание.

Водные системы                                                стр. 3

Технические средства защиты водных            стр. 5

ресурсов                                                             

Проблемы экологической безопасности         стр.13 

водопользования и охраны водоёмов                    

на примере Байкала

Экологизация водных проблем                       стр.16

Список используемой литературы                  стр. 21

-2-

Водные системы.

За последние 40 лет водные системы многих стран мира оказались серьёзно расстроенными. Отмечается истощение самых ценных из доступных нам источников пресной воды - подземных вод. Бесконтрольное изъятие воды, уничтожение водоохранных лесных полос и осушение верховых болот привели к массовой гибели малых рек. Сокращается водоносность крупных рек и приток поверхностных вод во внутренние водоёмы. Так, практически перестали впадать в Аральское море реки Сырдарья и Амударья, исчезли в нижнем течении такие реки, как Чу, Таласс, Асса, Зеравшан; обмелели Днепр, Кубань, Кура, Каратал и многие другие.

На сегодня самой сложной является проблема Аральского моря. На глазах одного поколения погибает миллионнолетнее море и разрастается зона экологического бедствия, масштабы которого пока трудно определить. За четверть века (с 1960 по 1988 год) море уменьшилось вдвое по средней глубине, на одну треть по площади акватории и более, чем вдвое, по объёму воды. Снижение уровня воды достигло 90 см в год. Около 30 тыс. квадратных километров бывшего дна стали ареной опустынивания. Сегодня с зеркала Арала продолжает испаряться почти в два раза больше влаги, чем поступает.

Чтобы вернуться к границам Аральского моря 30-60-х годов и поддерживать этот объём, годовое поступление воды в море должно составлять около 50 кубических километров. Решение этой задачи на сегодня нереально. Принятые по этому вопросу предложения не обеспечивают стабилизацию уровня воды, а это значит, что угроза разрастания катастрофы не снимается.

С поверхности солончаков, которые занимают огромные площади высохшего дна Аральского моря, в атмосферу ежегодно поднимается около 65 млн. т ядовитой тонкодисперсной соли. Распространяясь на запад, она образует пылесолевые облака, дальность переноса которых неограниченна. В последние годы более чем в два раза увеличенное содержание солей в дождевой воде отмечалось и под Ташкентом, и в Белоруссии, и в Литве. В непосредственной же близости от Аральского моря - в семь раз! Двигаясь на юго-восток, пылесолевые облака содействуют ускоренному таянию ледников Памира и Тянь-Шаня. На гектар поверхности ледников Памира и Тянь-Шаня ложится около 3-4 т аэрозолей, 100-500 кг из них - растворимые соли. Заметно сокращаются ледники. Так, Зеравшанский прежде в год уменьшался на 1 м, теперь - столько же в месяц. За 100 лет наблюдения он стал короче на 80 км.

Многовековая линия одного из крупнейших глетчеров мира - ледника Федченко - опустилась на 50 и более м.

Достаточно драматичные процессы наблюдаются и в других районах. Беда настигла Азовское море. В 30-е годы здесь вылавливали до 80 кг рыбы с гектара водной поверхности. Продуктивность Азовского моря в то время была в 1,5 раза больше, чем Северного, в 6 раз выше Каспийского, в 8 раз больше Балтийского, почти в 25 раз больше Чёрного моря. И какая это была рыба! Белуга, севрюга, осётр, судак, сельдь, пузанок, султанка, рыбец. Использование воды рек Кубани и Дона на орошение привело к сокращению притока воды в Азовское море на 13 км кубических в год. В конце 70-х годов произошло резкое осолонение воды, что подорвало стада основных промысловых рыб. Уловы ценных рыб сократились с 35 тыс. т в 1951-1955 годах до 2,4 тыс. т в 1982 году.

Чтобы солёная вода не проникала из Чёрного моря в Азовское, предлагается перегородить плотиной Керченский пролив. Но ведь мы не знаем, к чему это приведёт через 10,20,50 лет. Опять поиск решений на путях "перекраивания" природных комплексов вместо разработки и реализации ирригационных систем с существенно меньшим водопотреблением.

Эксплуатация построенного в послевоенные годы Севано-Разданского гидросооружения привела к падению воды в озере Севан. Озеро стало цвести и заполняться сине-зелёными водорослями. Чтобы спасти его, начали строить канал Арпа-Севан. С огромными усилиями за 17 лет в горах был пробит туннель, и воды реки Арпы направились в Севан. Но, как говорят учёные, нужно поднять уровень воды в озере по крайней мере на четыре-шесть метров, чтобы Севан остался Севаном. Из-за того что поредели леса над реками, текущими в Иссык-куль, озеро стало мелеть. Отмечается и проникновение в озеро ядохимикатов. Тяжёлое положение складывается на озере Балхаш.

Крайне тяжёлой является проблема загрязнения поверхностных вод и подземных вод. Почти повсеместно ухудшается качество вод и особенно в реках Западной Сибири, Оби и Иртыше, где нефтепродукты в 20 раз больше допустимой нормы. Резко ухудшается вода в Волге, Днепре, Доне, Урале, Куре, Амуре, Сырдарье, Амударье и во многих других реках. Если не принять немедленно самых решительных мер, то в некоторых регионах бассейнов этих рек вода в ближайшее время окажется непригодной для питья и поливов.

Ухудшается качество воды  закрытых водоёмах. Озеро Байкал загрязняется промышленными стоками Байкальского целлюлозно-бумажного завода, Селенгинского целлюлозно-картонного комбината и предприятий Улан-Уде. За двадцать лет работы БЦЗ спустил в озеро около миллиона, по другим подсчётам - более миллиона тонн минеральных веществ, по своему составу чужеродных Байкалу. В статье В.Распутина "Байкал у нас один" ("Известия" 16 февраля 1986) подводится некоторый экологический итог работы целлюлозно-бумажных комбинатов на Байкале: сотни тысяч гектаров усохших и усыхающих лесов на склонах Хамар-Дабана, изменение состава воды почти в половине акватории озера, уменьшение - от 2- до 5- кратного - веса различных популяций байкальского омуля, нарастающая гибель эпишуры, основного биологического санитара воды. И это не без поддержки определённых учёных. Автор законно поднимает гражданский вопрос: "Где истина, кому служит наука и что это за наука, путающая чёрное с белым и вред с пользой?" (о Байкале на странице 16)

Загрязняются и моря: концентрация фенола в Каспии превышает допустимую норму в девять раз, в Балтийском море - в четыре раза.

Если вы загрязните реку, но не разрушите её биологическое состояние, то уже через 20 дней после прекращения загрязняющих выбросов чистота воды восстановится. Если вы отравите подземные воды, восстановление чистоты произойдёт через 300-400 лет. Потери, связанные с истощением и загрязнением подземных вод, оценить мы не можем. Не можем до конца оценить потери и на озере Севан. Непомерную цену придётся заплатить за то, чтобы восстановить Аральское море, ежели оно превратится в ряд озёр. Лишь приблизительно можно представить себе цену того богатства, которое было поставлено под угрозу развитием целлюлозно-бумажных предприятий на Байкале. Если исходить из того, что придёт время, когда мы сможем без потери качества транспортировать байкальскую воду, то она станет экономическим ресурсом. Какова цена запаса этого ресурса? Сегодня чистая питьевая вода во многих странах продаётся в бутылках так же, как минеральная вода, и стоит недёшево (в Японии литр натуральной чистой питьевой воды и литр молока имеют одинаковую цену; эксперты в Германии полагают, что вскоре литр натуральной питьевой воды в стране будет стоить столько же, сколько литр рейнского вина). Ожидается формирование мирового рынка воды. Так вот, если "перекрутить" величину запаса байкальской воды - 23 км кубических - на цену самой дешёвой, так называемой "фильтрованной", воды, продаваемой в продовольственных магазинах, то цена запаса байкальской воды составит сумму 1,6 трлн. долларов.

Чтобы постфактум не поражаться потерянным богатствам, необходим переход к управлению в границах системы "производство - водные ресурсы". Можно выделить два направления.

Первое направление - переход к водосберегающей технологии и сокращение расхода водных ресурсов на единицу конечного продукта. Здесь очень большие резервы. По данным Минводхоза СССР, в 1985 году было потеряно 52 км кубических воды - целый годовой сток Днепра. Чрезмерные потери воды привели к негативным последствиям, борьба с которыми стоит очень дорого, - к подтоплению многих городов страны, к заболачиванию и засолению сельхозугодий. На нужды коммунального и питьевого водоснабжения в 1985 году забиралось 24,6 км кубических воды, из них пятая часть терялась. Расход дорогостоящей питьевой воды в 1980 году составлял в Минске 283 литра в сутки на одного жителя, в Таллинне - 428, Ленинграде - 456, Москве - 598 (по некоторым данным - 700 литров), в Ташкенте - 811, в городах Бухарской области - 1108 литров воды. Наведение элементарного порядка в расходовании водных ресурсов уже серьёзно продвинет вперёд решение проблемы.

Второе направление - выбор научно обоснованной стратегии развития земледелия. Мы по традиции, отражающей воззрения 50 - 60-х годов, продолжаем ориентироваться на преимущественное развитие поливного земледелия. Масштабы вложений в водохозяйственное строительство колоссальны (с 1971 по 1985 год они составили 79,1 млрд. руб.).Между тем и мировой, и наш собственный опыт свидетельствует о том, что наиболее результативным является развитие земледелия в хорошо увлажнённых зонах умеренного климата (самые высокие и устойчивые урожаи зерновых дают такие страны Европы, как Голландия, Бельгия, Франция, Германия). Тонна зерна, выращенного на мелиорированных землях, стоит в три раза дороже высококачественной пшеницы; себестоимость тонны привеса крупного рогатого скота, выращенного на кормах с орошаемых земель, обходится втрое выше средней себестоимости привеса, получаемого за счёт кормов с богарных земель. При достаточно корректном счёте, с учётом всех прямых и косвенных затрат, срок окупаемости капитальных средств в мелиорированное земледелие превышает 100 лет (нормативный срок окупаемости капитальных вложений в среднем по народному хозяйству - 8 лет).Итоговая результативность мероприятий, направленных на рациональное использование водных ресурсов, находит своё отражение в показателе водоёмкости конечного продукта. В ряде стран уже достигнут перелом - происходит снижение расхода водных ресурсов на единицу конечного продукта. Мы пока не решили эту задачу - показатель водоёмкости национального дохода продолжает расти (за период с 1976 по 1980 год при росте национального дохода на 22,7% водопотребление увеличилось на 47,1%).

Назрела задача разработки и широкого обсуждения общей стратегии развития земледелия с учётом полных затрат на водохозяйственное обеспечение мелиорированных земель.

Технические средства защиты водных ресурсов.

Вода.

Вода - бесцветная жидкость, не имеющая ни вкуса, ни запаха, активный растворитель, обладающий большим поверхностным натяжением. Смачивание и поверхностное натяжение лежат в основе явления, которое называется капиллярностью. В природе капиллярность поддерживает жизнедеятельность растений, давая им возможность "высасывать" водные растворы из почвы. Малая теплопроводность и большая теплоёмкость воды позволяет использовать её в качестве теплоносителя. Это свойство используют садоводы во время заморозков, опрыскивая цветы плодовых деревьев: замерзая, вода отдаёт цветам своё тепло и защищает их от обморожения. В промышленности широко используют способность воды забирать тепло от окружающей среды, на этом основано действие теплообменных устройств.

Вода входит в состав минералов, содержится в клетках растений и животных, влияет на формирование климата, участвует в круговороте веществ в природе, способствует отложению осадочных пород и образованию почвы, является источником получения дешёвой электроэнергии: её используют в промышленности, сельском хозяйстве и для бытовых нужд.

Вода многолика, она встречается в природе в связанном состоянии и в свободном виде, её минеральный состав чрезвычайно разнообразен. Свободная вода может менять свои свойства в широком диапазоне: она может вытягиваться в жгут, быть эластичной, как резина, быть скользкой настолько, что предметы, движущиеся через неё, увеличивают свою скорость в 2 раза и более, она может стать сухой, целебной.

Ресурсы пресной воды.

Водные ресурсы Земли слагаются из вод морей и океанов, ледников, рек, озёр, подземных вод и исчисляются приблизительно в 1500 миллионов кубических километров. На долю пресной воды приходится всего 30 миллионов километров кубических,94,2% всех водных ресурсов составляют солёные воды морей и океанов.

Все воды Земли непрерывно участвуют в круговороте, образуя замкнутую систему океан - атмосфера - суша. Скорость водообмена колеблется в широких пределах. Медленнее всего возобновляются подземные воды (около 5 тысяч лет),а обмен речных вод происходит 32 раза в течение года.

В нашей стране ресурсы пресной воды неравномерно распределены по территории России. Свыше 86% поверхностных вод сосредоточено в северных и восточных районах страны.

Промышленность, сельское хозяйство, коммунально-бытовое хозяйство городов являются потребителями большого количества воды. В Москве с учётом потребностей промышленности расход воды на одного человека составляет 650 литров в сутки. Во многих местах земного шара пресная вода становится дефицитом.

С каждым годом всё большее значение в водоснабжении отраслей хозяйства начинают приобретать подземные воды. Запасы этих вод на планете огромны, но не все воды легко доступны человеку. Те подземные воды, которые в настоящее время доступны для использования, различаются по температуре и химическому составу. Есть горячие воды с температурой свыше 100-150 градусов по Цельсию и холодные, с температурой ниже 20 градусов по Цельсию, пресные, содержащие менее одного грамма солей на литр воды, рассолы, содержащие более 100 грамм растворённых веществ на литр воды и используемые для получения ценных элементов брома, йода и др. Подземные воды служат источником питания рек, водоснабжения городов и промышленных предприятий, орошения и обводнения пастбищ. Термальные воды подземных источников можно использовать для теплоснабжения городов, создания рыбоводных предприятий, геотермических станций и так далее.

В Средней Азии и Западно-Сибирской низменности находятся большие запасы пресных вод, которые широко используют.

Пресную воду можно получать из солёной морской воды. Опреснением воды человечество занимается уже давно. Более 100 лет назад построена крупнейшая промышленная опреснительная установка в Чили. В 1968 году установок было более 80,а к 1973 году только в США было разработано около 330 промышленных установок суммарной мощностью примерно 20000 кубических метров воды в сутки.

В СССР в 1973 году была введена в эксплуатацию атомная электростанция на полуострове Мангышлак, большую часть энергии которой используют для опреснения солёной воды.

Для удаления запахов водорослей воду пропускают через активированный уголь, фильтруют через фильтры с мраморной крошкой для обогащения карбонатом кальция, затем её фторируют и разбавляют минерализованной водой. После этих процедур вода идёт на нужды города.

В настоящее время существует много способов опреснения воды: искусственное вымораживание, биологические методы с применением микробов, выборочно поглощающих различные соли, и так далее. Особый интерес представляет получение пресной воды с помощью магнитов. При этом вода становится не только пресной, но и приобретает особые свойства: увеличивается скорость химических реакций, улучшается слипание твёрдых частиц, кристаллизация минеральных примесей происходит настолько быстро, что приводит к уменьшению частиц накипеобразующих солей, что позволяет применять воду многократно в замкнутых технологических процессах, увеличивать срок службы водогрейных котлов, удалять из воды трудноосаждаемые тонкие взвеси.

Загрязнение природных вод.

Отработанные воды промышленных предприятий, насыщенные примесями, возвращаются в водные бассейны. Эти примеси могут быть твёрдыми, жидкими, находиться в растворённом, взвешенном и коллоидном состоянии. Сброс органических веществ (углеводородов) в чрезмерно больших количествах приводит к обеднению воды кислородом и отравлению её продуктами разложения. Отходы нефтепереработки образуют плёнку на поверхности воды, препятствующую проникновению в неё кислорода воздуха. Среди продуктов распада под действием анаэробных бактерий имеются вредные вещества, содержащие амины, метан, серу и фосфор. Соли меди, цинка, свинца, никеля, цианиды, фтористые соединения, содержащие в отработанных водах химической промышленности, чёрной и цветной металлургии, действуют на всё живое в воде водоёмов. Они снижают интенсивность окислительных реакций, останавливают различные биохимические процессы, вызывая нарушение координации движений и удушье водных организмов.

Очень опасно загрязнение моющими синтетическими средствами, которые снижают способность вод к насыщению кислородом, парализуют деятельность бактерий, разрушающих органические вещества.

Ежегодно в реки сбрасывается до 160 кубических километров промышленных сточных вод, которые загрязняют до 2000 кубических километров природной воды. В Англии загрязнены почти все реки. В Японии в реку Дзицу были сброшены сточные воды, загрязнённые кадмием. Крестьяне, не зная об этом, использовали отравленную воду для орошения полей, и появилась странная болезнь "больно-больно". Люди умирали в страшных мучениях, так как кадмий обладает способностью накапливаться в организме и вызывать размягчение костных тканей. Достаточно было заболевшему кашлянуть, чихнуть, чтобы вызвать переломы костей. В сельском хозяйстве США ежегодно применяют около 400 тысяч килограммов ртути доя борьбы с вредителями сельского хозяйства. Особенно пострадали от этого жители города Аламагордо (штат Нью-Мексико).Стоки отравили рыбу, пастбища, и в результате ртуть попала в организм людей.

Загрязнение природной среды радиоактивными веществами может быть в результате ядерных (термоядерных) взрывов, работы энергетических ядерных установок, научных учреждений, ведущих исследования радиоактивных веществ, а также при работе предприятий, где добывают, перерабатывают радиоактивное вещество. Количество и состав радиоактивных отходов разнообразен. По агрегатному состоянию различают газообразные, жидкие и твёрдые радиоактивные отходы. Загрязнения радиоактивными веществами, которые содержатся в твёрдых отходах, весьма малы, и могут быть лишь при грубых нарушениях санитарного законодательства, например при сбросах отходов в овраги. Газообразные отходы строго регламентированы и находятся под контролем, поэтому практическая значимость загрязнения невелика. Наибольшую опасность представляют жидкие радиоактивные отходы.

Однако в результате совершенствования технологии сточные воды подвергаются многократной обработке, и они не представляют серьёзной угрозы.

Искусственные и естественные радиоактивные изотопы встречаются в атмосфере, в почвах, в водах морей и океанов, рек и озёр, в растениях и в организме животных и человека в ничтожно малых количествах. Повышение содержания радиоактивных изотопов в отдельных частях биосферы или изменение их качественного состава оказывает неблагоприятные воздействия на протекающие в природе жизненные процессы. Поэтому необходимо знать степень радиоактивности внешней среды. Решение этой задачи связано с определением в различных объектах малых концентраций радиоактивных веществ.

В настоящее время известны некоторые методы сбора проб радиоактивных продуктов, попадающих в различные объекты внешней среды.

В России расчёт ДК радиоактивных веществ в воде поверхностных водоёмов проводят по исходному значению предела годовой дозы, установленной отечественным санитарным законодательством для отдельных групп населения. При обосновании ДК учитывают пути воздействия и их совокупность, сочетание внутреннего и внешнего облучения. Контроль за радиологической чистотой ведут на станции планирования, проектирования и строительства предприятий, которые потенциально могут быть источниками загрязнения водоёмов радиоактивными веществами и в процессе эксплуатации.

Текущий контроль включает оценку загрязнения сточных вод, состояние, поверхности водоёма, атмосферы, сельскохозяйственных культур местного производства и так далее. Методика контроля зависит от формирования жидких радиоактивных отходов, применяемых способов их обезвреживания, путей удаления, качественной и количественной характеристики, поэтому в каждом отдельном случае контроль за сточными водами состоит в определении химического состава, их количества и ритма удаления. Существенное значение представляет выявление в процессе контроля масштабов возможного распространения радиоактивных загрязнении по реке, на прибрежной территории. Действенный контроль за соблюдением санитарного законодательства, которое регламентирует содержание радиоактивных загрязнении, является основным способом, обеспечивающим безопасность населения и охрану окружающей среды от загрязнений.

В результате поступления в воду водоёмов отработанных подогретых вод тепловых и атомных электростанций может возникнуть явление теплового загрязнения. Повышение температуры природных вод в районах сброса отработанных тёплых вод активизирует биологические процессы водоёма,

увеличивает содержание в нём органических веществ за счёт вспышки в развитии фото- и зоопланктона. Резкое повышение температуры воды в водоёме может привести даже к гибели водных организмов. Особенно чувствительны к изменению температуры воды тропические организмы, икра и молодь рыб. Предложены методы расчёта теплового баланса отработанных вод, которые позволят при проектировании ТЭС предупредить тепловое загрязнение водоёмов. В перспективе отработанные тёплые воды энергетических установок можно широко использовать для искусственного разведения рыбы.

В воды Мирового океана со стоком рек ежесекундно вливается около 1 миллиона кубических метров пресных вод. Сточные воды, сброшенные в реки, в конечном счёте также попадают в воду морей и океанов.

Окислительные процессы в морской воде протекают медленнее, чем в пресной. Продуцирующая деятельность океана ограничивается пятидесятиметровым слоем воды, где кислород, потребляемый при дыхании, компенсируется вырабатываемым здесь кислородом а процессе фотосинтеза. Плотность морской воды выше, чем плотность сточных вод, поэтому сточные воды растекаются по поверхности моря и тонким слоем распределяются на большие расстояния. Особенно сильное загрязнение сточными водами наблюдается в прибрежной полосе, где процессы сомоочищения протекают очень медленно, так как микробы-минерализаторы, попадающие в море со сточными водами, погибают, а патогенные (болезнетворные) микробы, встречая благоприятные условия, наоборот, размножаются.

Особенно опасны для биологических ресурсов морей и океанов нефть и нефтепродукты, оказывающие вредное воздействие на морские организмы. Некоторые планктонные водоросли в воде, содержащей нефть и нефтепродукты, теряют способность к размножению и гибнут. Из-за загрязнения нефтью ежегодно гибнет большое количество птиц и рыбы. Взрослые рыбы могут избегать места сильного загрязнения, но даже после непродолжительного пребывания в таких районах они теряют свои товарные качества и не могут быть использованы в пищу из-за неприятного запаха и привкуса.

Мировой океан превращается в гигантскую свалку. В северной части Тихого океана плавает 35 миллионов пустых бутылок и сосудов из пластмассы. Со сточными водами в моря и океаны попадают пестициды (химические средства, используемые для борьбы с вредителями),отрицательно влияющими на жизнедеятельность морских организмов. Загрязнение вод Мирового океана продуктами радиоактивного распада особенно опасно, так как они концентрируются в растениях, тканях рыб и моллюсков. Содержание стронция 90 и цезия 137 в них может быть в 20-30 раз, а в растениях в 1200 раз больше, чем в окружающей морской воде. Употребление в пищу заражённых рыб, растений и моллюсков представляет большую опасность для человека.

В последнее время моря и океаны интенсивно вовлекаются в сферу мирового производства. В связи с удорожанием некоторых ресурсов суши растут темпы освоения ресурсов океана. Около 30 стран ведут нефтегазовый промысел непосредственно в море. Ресурсы морей и океанов нельзя отнести к неисчерпаемым, особенно, если только брать и загрязнять. Загрязнение европейских морей промышленными и коммунальными отходами в последнее время приобрело катастрофические масштабы.

Это привело к исчезновению в них некоторых видов полезной флоры и фауны.

Характеристика сточных вод.

Сточные воды подразделяют на хозяйственно-бытовые, ливневые (атмосферные) и промышленные.

Хозяйственно-бытовые сточные воды образуются при мытье посуды, уборке помещений, приготовлении пищи, стирке белья и так далее. В них содержатся органические и неорганические примеси, патогенные организмы.

Атмосферные, или ливневые, воды в основном загрязнены пылью, песком, а в больших городах мазутом, бензином и другими нефтепродуктами.

Промышленные сточные воды образуются на заводах, фабриках при промывке, охлаждении оборудования, при использовании воды в технологических процессах. Промышленные сточные воды некоторых производств требуют индивидуальной очистки, так как в них могут содержаться ядовитые вещества, которые оказывают губительное действие на активный ил аэротенков и затрудняют биологическую очистку.

Сточные воды на машиностроительных предприятиях подразделяются на:

а) чистые воды, которые можно использовать в оборотных системах без очистки;

б) химически загрязнённые, которые требуют специальной очистки в зависимости от состава загрязнений (тяжёлые металлы, концентрированные растворы кислот, щелочей и так далее); повторное использование этих сточных вод возможно, например, для мойки территорий, машин, орошения скрубберов при пылеулавливании и для других целей;

в) сточные воды, загрязнённые нефтепродуктами и взвешенными веществами; после очистки их можно использовать в производстве повторно.

В сточные воды машиностроительных заводов попадает большое количество смазочно-охлаждающих жидкостей (СОЖ),которые содержат минеральные масла, спирты, мыла, соду и требуют обязательную цикловую очистку на производстве по следующей приблизительной схеме: механические примеси отделяются магнитным способом, свободные масла - в отстойниках. После обезвреживания хлористым кальцием доочистку можно производить на биологических сооружениях.

Отработанные травильные растворы металлообрабатывающей промышленности загрязняют почву, грунтовые воды, кроме того, безвозвратно теряется серная кислота и другие ценные продукты, поэтому предварительная очистка непосредственно на предприятии обязательна.

На заводе стальных конструкций в городе Волжске построена промышленная установка по получению микроудобрений из травильных растворов. Для этого шлаки перемешивают с травильными растворами с целью перевода содержащихся в них кальция, магния, никеля и других веществ в сульфиды. Массу сушат и получают микроудобрения, хорошо усваиваемые растениями.

Контроль за качеством вод.

Водоёмы используют для водоснабжения населения, промышленности, сельского хозяйства, для разведения  рыбы, перевоза грузов водным транспортом, выработки электроэнергии и отдыха. Кроме того, водоёмы служат естественными приемниками хозяйственно-бытовых, промышленных и сельскохозяйственных сточных вод.

Питьевая вода должна быть безвредна для человека, иметь хорошие органолептические свойства, которые характеризуются интенсивностью допустимого изменения запаха, вкуса и цвета. Концентрация химических веществ, попадающих в источники со стоками, не должна превышать допустимых норм, установленных Министерством здравоохранения РФ для источников централизованного водоснабжения.

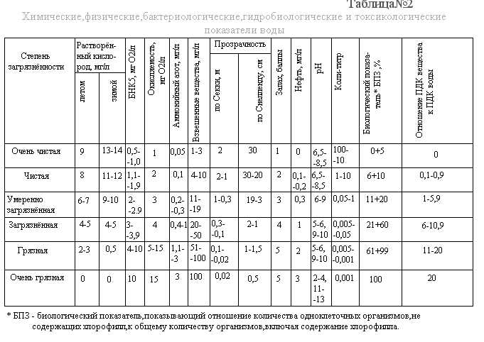
Качество воды всё время контролируется в местах забора, перед поступлением в водопроводную сеть, в процессе обработки и на очистных сооружениях. Для оценки качества воды при использовании её в промышленных целях определяют:

1) сухой остаток, характеризующий содержание солей и коллоидно растворённых веществ;

2) прокалённый остаток на содержание нелетучих веществ;

3) электропроводность, характеризующую степень загрязнённости воды электролитами;

4) биохимическую потребность кислорода БПК5,характеризующую пятидневный расход кислорода, необходимого для разложения и окисления содержащихся в воде веществ, или интенсивность биохимических процессов;

5) величину водородного показателя pH; для нейтральной среды pH=7,для кислой менее 7, для щелочной более7; pH в пределах нормы равен 6,8 - 7,3; отклонения от этих значений свидетельствуют о загрязнении воды органическими соединениями;

6) количество грубодисперсных веществ (глины, песка и других пород);

7) наличие кремниевой кислоты, которая способствует образованию трудноудаляемой накипи, поэтому этот показатель важен при использовании воды в теплообменных устройствах.

Аналитический контроль сточных вод промышленных предприятий заключается в оценке их органолептических свойств (запаха, вкуса, цвета),в определении мутности (или прозрачности) и концентрации взвешенных веществ. Кроме того, определяют общие показатели качества вод (солесодержание, жёсткость, содержание прокалённого остатка, температуру, pH, кислотность, щёлочность, бихроматную окисляемость (ХПК), перманганатную окисляемость (БПК),содержание эфирорастворимых веществ),содержание органических веществ (остаточного хлора, аммония, неорганических анионов,

кислорода, металлов, кремнекислоты),а также определяют содержание нефтепродуктов, синтетических поверхности активных веществ и полиакриламидов.

Для приборного анализа сточных вод используют спектрофотометр "Сатурн", позволяющий определять концентрации тяжёлых металлов (Ba,Ca,K,Pb,Co) и кварцевые спектрофотометры СФ-4,СФ-44, СФ-Ф6 и СФ-18 с автоматической записью для определения количества нефтепродуктов, красителей, фенолов. Спектрофотометрический метод анализа применяют также для определения мочевины, содержащейся в сточных водах химических предприятий.

Количество отходов целлюлозно-бумажной промышленности (лигнин и лигносульфоновые кислоты) определяют с помощью флуорометрического метода. Газохроматография позволяет определять общий и органический углерод, нефтепродукты и пестециды. За рубежом разработаны автоматические станции "Монитор", контролирующие содержание взвешенных веществ, хлоридов, растворённого кислорода и величину водородного показателя pH.

При автоматическом контроле, обеспечивающем получение постоянной информации, можно управлять технологическими процессами. В случае недостаточной очистки можно прекратить сброс сточных вод или подачу питьевой воды потребителям.

Методы очистки сточных вод.

Производственные сточные воды по своему составу разнообразны. Присутствующие в них загрязнения могут находиться в различных агрегатных состояниях. Для выбора методов очистки сточных вод и оборудования примеси, содержащиеся в воде, подразделяют на четыре группы.

1 группа - грубодисперсные примеси - частицы почвы, песка, глины, эмульсий, которые попадают в водоёмы с промышленных предприятий, а также в результате смыва почв. На поверхности таких частиц могут находиться патогенные микроорганизмы, вирусы, радиоактивные вещества.

Для удаления примесей этой группы используют физико-химические процессы, позволяющие с помощью специальных веществ укрупнять частицы с последующим их осаждением, проводить процесс адгезии - прилипания примесей к поверхности инертных материалов, а также использовать метод флотации, то есть выводить примеси в пену, которую специально создают в очистных сооружениях.

2 группа - коллоидные примеси, которые находятся в воде в виде тонкодисперсных образований (золей или высокомолекулярных соединений). Вещества этой группы изменяют цвет воды. Для удаления этих примесей применяют коагулянты - вещества, вызывающие слипание и укрупнение частиц.

3 группа - растворённые в воде газы и органические соединения. Вещества этой группы придают во-де различные запахи, привкусы, окраску. Наиболее эффективные способы очистки: аэрирование - продувка воды воздухом, введение окислителей, под действием которых разрушается большинство примесей этой группы, и адсорбция - удаление примесей с помощью активированного угля, который впитывает (сорбирует) многие примеси.

4 группа - примеси ионной степени дисперсности. Соли, кислоты, основания при поступлении в воду распадаются на ионы. Очистка от примесей этой группы сводится к связыванию ионов; можно применять также вымораживание и другие методы.

Эта классификация позволяет обоснованно и целенаправленно выбирать и компоновать очистные сооружения, применять вычислительные машины для решения сложных задач водообработки.

Сточные воды очищают механическим, биологическим, обеззараживающим (дезинфекцией) и физико-химическим методами.

Для механической очистки применяют решётки, песколовки, отстойники, септики. Принцип удаления взвешенных веществ основан на различии удельных весов примесей и воды. Песколовки предназначены для осаждения песка, мелкого гравия и других минеральных примесей. Песколовки облегчают дальнейшую очистку сточных вод от органических загрязнений в остойниках, метантенках и других сооружениях.

Отстойники применяют для выделения из сточных вод нерастворённых механических примесей и частично коллоидных загрязнений минерального и органического происхождения. Отстойники могут применять для предварительной очистки сточных вод с последующей биологической очисткой, а также и как самостоятельные сооружения, если по санитарным условиям достаточно отделение только механических примесей.

В последнее время получили распространение радиальные отстойники, которые представляют собой неглубокие резервуары диаметром от 18 до 54 метров.

Септиками называют сооружения, в которых происходит осветление (отстаивание) и длительное хранение (от 6 до 12 месяцев) осадка, выпавшего из сточных вод, до полного его перегнивания. Септики имеют очень большие размеры, вода в них часто загрязняется сероводородом, поэтому применение их весьма ограничено.

Для биологической очистки применяют аэротенки, биологические фильтры, аэрофильтры, метантенки. Аэротенки представляют собой глубокие проточные резервуары длиной до 150 метров с отстойником. В аэротенках происходит постепенное уменьшение количества органических веществ, азота, аммонийных солей, нитритов за счёт разрушения их микроорганизмами - минерализаторами. Продолжительность пребывания сточной жидкости в аэротенке колеблется от 6 до 12 часов и зависит от количества подаваемого воздуха, микроорганизмов, находящихся в активном иле, который в виде хлопьев пронизывает всю толщу воды, и от степени загрязнённости сточной воды.

Биологические фильтры представляют собой сооружения (ёмкости) с засыпкой сыпучих материалов, через которые пропускают воду. Растворённые и коллоидные вещества сточных вод адсорбируются и разрушаются преимущественно аэробно, то есть с помощью микробов, которые могут жить только при наличии кислорода. На кусках шлака, щебня и других материалах вырастает биологически активная плёнка. В верхнем слое до 10 сантиметров развиваются инфузории, личинки насекомых, жгутиковые, на неорошаемых участках  сооружения разрастаются водоросли, на глубине свыше 15 сантиметров зона червей, которые прорывают ходы в шлаке, разрыхляют биологическую плёнку, переваривают и разлагают клетчатку, хитин.

В последнее время всё чаще находят применение аэрофильтры, которые экономичнее аэротенков, просты в эксплуатации, взрывобезопасны, их легко автоматизировать. Однако аэрофильтры восприимчивы к составу сточных вод и требуют большого количества воздуха для аэрации.

Очистительные пруды представляют собой неглубокие, до 1 метра, водоёмы, последовательно соединённые между собой. Тысячи мельчайших организмов минерализуют органические соединения, зеркальный карп и утки предохраняют пруды от зелени (ряски).Очистительные пруды чувствительны к температуре, поэтому рационально их применять в южных районах.

Почвенные методы очистки проводят на полях орошения. При почвенной очистке помимо бактерий в очистке участвуют простейшие беспозвоночные микроорганизмы. Бактерии минерализуют органические вещества, простейшие организмы уничтожают излишнее количество бактерий, беспозвоночные, дождевые черви, личинки, клещи разрыхляют почву и перерабатывают труднорасщепляемые органические вещества (целлюлозу, хитин).После почвенной очистки вода не содержит яиц гельминтов, обеднена бактериями, поэтому не надо проводить фильтрование воды через песчаные фильтры для очистки от гельминтов.

Метантенк - это бродильная камера, предназначенная для анаэробной очистки осадка сточных вод, то есть с помощью микробов, которые могут жить без доступа воздуха. Процессы брожения осуществляются при температуре до 55 градусов по Цельсию в течение суток, вызывая полную гибель яиц гельминтов и патогенных (болезнетворных) микробов. Сооружение герметичное, поэтому метан, образующийся в процессе брожения, можно улавливать и использовать как топливо. Можно улавливать также углекислоту, которую перерабатывают на сухой лёд. Сброженный осадок содержит фосфор, азот и может служить прекрасным удобрением. Если осадок высушить и сбрикетировать, то можно получить топливо. Перемешивание в метантенке происходит в результате перекачивания осадка насосом из нижней части в верхнюю. Эжектирующие устройства по трубопроводам и эжекторам подают в метантенк острый пар или горячую воду температурой до 60 градусов по Цельсию для подогрева осадка. Осадок перемешивают с помощью насосов, забирающих его из нижней части камеры и подающих в верхнюю часть по трубопроводам выпуска сброженного осадка. Подогрев и перемешивание осадка способствует ускорению процессов брожения в метантенке. Осадок, получаемый в метантенках, периодически выгружается через трубопроводы опорожнения.

Для обеззараживания воду фильтруют через песок, хлорируют и озонируют. Озон обладает бактерицидными свойствами и, кроме того, при озонировании воды улучшаются органолептические свойства. Однако озонирование связано с большими энергетическими затратами. Другое сильное бактерицидное средство - серебро.

В последние годы получило распространение механическое обезвоживание и термическая сушка осадков. Механическое обезвоживание на центрифугах не требует расхода коагулянтов (химических реактивов для окускования примесей),последующая термическая обработка в камерах с инфракрасным излучением позволяет провести дегельминтизацию.

Стоки, загрязнённые органическими и минеральными веществами, подвергают огневому обезвреживанию в циклонных печах (реакторах).Сущность метода заключается в испарении распылённых сточных вод при высоких температурах в продуктах горения органического топлива, при этом токсичные органические вещества сгорают, а минеральные вещества улавливают и выводят в виде расплава.

На машиностроительных заводах сточные воды содержат соли кислот, щёлочи, цианиды, хром, свинец, медь, алюминий, фтор, краски, органические соединения, минеральные взвеси, масла. На некоторых предприятиях введены устройства по регенерации (восстановлению) веществ и повторному их использованию. Очищенную от примесей воду можно использовать многократно.

Воду, используемую для мойки, очищают в системе отстойников, в которых последовательно отделяют крупные механические частицы и нефтепродукты. Накопленные нефтепродукты откачивают в ёмкости. Шламовый насос откачивает сырой остаток в бункер, откуда по мере накопления осадок вывозится.

Представляет интерес замена масляных эмульсий водными растворами, исключающими попадание нефтепродуктов в сточные воды. Все действующие промышленные предприятия предусматривают сооружения по предварительной очистке сточных вод. Нефтеловушки, маслоуловители, краскоуловители, нейтрализаторы - вот тот небольшой и неполный перечень обязательных сооружений, без которых на сегодняшний день не имеет право работать ни одно промышленное предприятие.

Сохранению рек и водоёмов способствует использование сточных вод на полях орошения. Баластные воды с судов, курсирующих по рекам и водоёмам, сдают на береговые очистные станции, а также сбрасывают в канализационные системы. Технологические процессы, способствующие снижению вредных стоков, постоянно совершенствуют.

Искусственное дыхание озёр.

Мёртвые озёра возникают в результате сброса большого количества загрязняющих (питательных) веществ с животноводческих ферм, птицефабрик и так далее. Вначале появляется много планктона, рыб, разрастаются водоросли. Отмирающие организмы, находящиеся в изобилии в верхних слоях, опускаются вниз, в холодный придонный слой, где в нормальных условиях разлагаются. При обилии оседающего планктона кислорода начинает не хватать, и постепенно возникают анаэробные условия, при которых образуется сероводород. Над озером начинают роиться насекомые, появляются зелёные плавающие плёнки, неприятные запахи. Такое состояние озера называют эвтродическим. Озеро, дошедшее до эвтродического состояния, само возродиться не может даже при прекращении сброса сточных вод.

Учёные всего мира ищут пути воскрешения мёртвых озёр. В последнее время успешно работает аппарат "Лимно", который разработала шведская фирма Атлас Конко. Аппарат предназначен для подачи кислорода в воду озёр.

Мёртвое озеро Брунсквинен, находящееся в черте города Стокгольм, озеро Кулобутнвалне, находящееся южнее города Осло, озеро Гребан (Германия),озеро Уоккабук, расположенное севернее Нью-Йорка, постепенно оживают благодаря работающим на них аппаратам "Лимно".

Проблемы экологической безопасности водопользования

и охраны водоёмов на примере Байкала.

  

Cуществующие  "Правила охраны водоемов от загрязнения сточными водами" предлагают производить оценку качества воды по величинам ПДК в расчетном створе водного объекта. В зависимости от требований к качеству воды рыбохозяйственного, санитарно-бытового или социально-культурного водопользования и характера водоема (река, озеро) расчетный створ располагают в 500 или 1000 м от места выпуска сточных вод. Считают, что на таком расстоянии от оголовка сточная вода будет полностью разбавлена и ,тем самым, обезврежена от вредных и токсических веществ, болезнетворных организмов. Следовательно, по существующим правилам водоемы являются составной частью устройств по очистке сточных вод бытовых или промышленных предприятий, что с экологических позиций совершенно недопустимо по ряду причин.

В Байкале минерализация воды в среднем составляет 96,5 мг/дм3. В этой воде сформировалось все видовое разнообразие организмов, которые населяют водную толщу и дно озера. В его воде содержится около 5 мг/дм3 сульфатов, 0,4мг/дм3 - хлоридов, 1,5 мг/дм3 - взвешенных органических веществ, до 12 мг/дм3 кислорода,4,1 мг/дм3 органических веществ (по ХПК) и др..

В промышленных стоках Байкальского целлюлозно-бумажного комбината (БЦБК) после их очистки на существующих очистных устройствах содержится 750-800 мг/дм3 различных солей, в том числе около 520 мг/дм3 сульфатов, т.е. почти в 100 раз больше; до 110 мг/дм3 хлоридов, т.е. в 275 раз больше, чем в воде озера; органических веществ (ХПК) - 70 мг/дм3 - в 17,5 раза больше; кислорода - 6 мг/дм3 , или в два раза меньше, чем в воде Байкала. Содержание полихлорированных бифенилов (ПХБ) в сточных водах БЦБК достигает 0,28 мкг/дм3, а в воде Байкала их вообще не должно быть, так как это продукт антропогенного происхождения. Они встречаются в некоторых притоках озера (например, в р. Б. Голоустная) до 0,02 мкг/дм3 за счет атмосферного переноса и выпадения с осадками в бассейне этой реки при северо-западных ветрах со стороны как Иркутска и Ангарско-Черемховского промышленного района, так и БЦБК. Вместе с тем вследствие аккумуляции ПХБ по пище-

вой цепи водных организмов в жире нерпы концентрация ПХБ достигает 38 - 64 мкг/г, а диоксиновый эквивалент - 93пг/г, что в сотни и тысячи раз превышает их содержание в окружающей среде.

Как могут нормально существовать пресноводные организмы Байкала в воде с общей минерализацией в 7 - 8 раз большей, чем в озере с содержанием сульфатов в 100 раз, а хлоридов в 275 раз большими, чем в ультрапресной маломинерализованной воде, в которой эти гидробионты возникли? Известно, что с повышением концентрации солей в среде осмотическое давление раствора возрастает, и в воде из организмов будет отсасываться. В этих условиях водные организмы погибают от обезвоживания, даже если растворенные соли не ядовиты. А хлориды и сульфаты, как известно, вредны для многих пресноводных организмов.

Ежесуточно только Байкальский целлюлозный комбинат сбрасывает в Байкал свыше 200 тыс. кубометров промышленных стоков. Предприниматели считают, что эти стоки очищены и соответствуют по качеству или даже лучше требований стандарта на питьевую воду. Эксперименты, проведенные на Байкале, показали, что эти "очищенные" промстоки совершенно не пригодны для жизни байкальских организмов, они в этих стоках погибают в течение короткого времени (от нескольких часов до нескольких суток - разные виды имеют различные сроки выживания). Даже пятидесяти- и стократно разбавленные очищенные промстоки БЦБК вызывают у водных организмов мутагенные изменения и гибель. Только в 10000 раз разбавленных очищенных промстоках гидробионты могут какое-то время существовать. Как долго они могут в таких условиях жить, смогут ли размножаться и какие отдаленные последствия возникнут в таких разбавленных стоках, установить пока не представляется возможным .Министерство и ведомства целлюлозно-бумажной промышленности в проведении подобных исследований не заинтересованы, так как полученные результаты повлекут за собой ужесточение требований к природоохранным мероприятия. Российская академия наук и ее Сибирское отделение средств для создания соответствующих экспериментальных полигонов не имеют. Под влиянием сброса в Байкал и его притоки недостаточно очищенных промстоков БЦБК и других предприятий в озере происходит перестройка экосистемы. Начиная с 60-х годов структура планктонных сообществ значительно изменилась. В фитопланктоне, вместо доминирующей ранее эндемичной водоросли Melosira bajcalensis, начала развиваться менее требовательная к чистой воде Nitzshla aclcularis, которая вытесняет мелозиру. Произошла замена крупноклеточных форм водорослей мелкоклеточными. Параллельно с уменьшением в составе фитопланктона доли мелозиры, а в составе зоопланктона - кормовых организмов рыб снизилась роль циклопа - типичного байкальского вида беспозвоночных. По сравнению с уровнем в 1961 - 1965 гг. к 1996 году вдвое уменьшилась биомасса зоопланктона в период осеннего максимума его развития. Начиная с 1966 - 1967 гг. резко снизились темпы роста и ухудшились физиологические характеристики байкальских рыб, в том числе омуля. Если в 50-х годах омуль впервые шел на нерест в возрасте четырех лет и имел массу 500 г, то

в последние годы он идет на нерест в возрасте 7 - 8 лет и масса впервые нерестующихся особей составляет 180-200 г. В 1987 г. отмечалась массовая гибель нерпы вследствие сброса в озеро большого количества шламлигнина из накопителей Байкальского целлюлозно-бумажного комбината, содержащего целую гамму вредных веществ, в том числе и полихлорбифенилов. Иммунная система животных под влиянием отравления была ослаблена, что обусловило их заболевание и гибель.

Таким образом, действующие правила охраны водоемов не обеспечивают требования даже существующего универсального стандарта на питьевую воду и, в том числе, по рыбохозяйственным нормативам, при которых не должно происходить: а) гибели рыб и кормовых организмов для рыб, б) постепенного исчезновения видов рыб и кормовых организмов, в) ухудшения товарного качества обитающих в водном объекте рыб, г) изменения условий, способных привести к гибели рыб или замене ценных видов на малоценные.

В мировом научном сообществе общепризнанно, что озеро Байкал - уникальный водоем. К нему нельзя подходить с мерками, предназначенными для обычных водоемов даже питьевого назначения. Тем более что стандарт на питьевую воду разработан для выбора пригодного для этих целей водоисточника и не может служить эталоном для оценки допустимых загрязнений.

Водоемы с питьевой водой вообще не должны загрязняться, в них не допустим сброс каких-либо чужеродных веществ. В первую очередь это условие должно соблюдаться по отношению к Байкалу - мировому резервуару непревзойденной по качеству питьевой воды.

Производственники - водопотребители всеми способами и в который уже раз пытаются приравнять Байкал к рядовым водоемам и распространить на него действие существующих природоохранных законодательных актов. Байкал же требует индивидуального подхода и специального закона о его охране и включения в глобальный перечень объектов мирового наследия. В нем сосредоточено 1/5 мировых запасов пресной питьевой воды. Однако озеро и его бассейн продолжают загрязнять промышленными, бытовыми и сельскохозяйственными отходами, гербицидами, другими пестицидами и различными химическими веществами. Вследствие этого и выбросов в атмосферу происходит также перестройка наземных экосистем в бассейне озера . Так, в частности, под влиянием пылегазовых выбросов БЦБК и других предприятий, сжигающих уголь, гибнут хвойные леса. Больше других  страдают темнохвойные и, особенно, пихтовые леса - происходит массовое (250 тыс. га) усыхание

древостоев (40 тыс. га из них погибло безвозвратно). У других пород уменьшается прирост древесины, снижается плодоношение, а большое количество семян у сосны и лиственницы оказывается нежизнеспособным (низкая всхожесть).Вследствие этого необходимо затрачивать больше усилий для заготовки посевного материала.

Остаются не изученными и отдаленные последствия воздействия загрязнения на жизнеспособность растений, которые вырастут из семян, подвергшихся влиянию вредных пылегазовых выбросов. Если жизнестойкость и энергия жизнедеятельности таких семян окажутся пониженными, то и выросшие из них растения могут иметь уменьшенную энергию роста и плодоношения. Продуктивность древостоев из таких деревьев и сроки плодоношения могут быть пониженными, а созревание древесины - удлиненным, т.е. будет снижена биологическая продуктивность лесных угодий, что важно уже не только для региона, на и планеты в целом. Осуществлением такой водоохранной деятельности мы не выполним своего долга пред потомками, а, следовательно, и своего назначения на Земле.

Кардинальное решение задачи предотвращения загрязнения Байкала состоит не в том, чтобы сбрасывать в него даже хорошо очищенные, но все же губительные для водных организмов промышленные стоки и пылегазовые выбросы, а в том, чтобы полностью исключить их попадание не только в озеро и в атмосферу над ним, а и в его бассейн. Это диктуется и заботой об охране уникальной экосистемы Байкала, и экономической целесообразностью. Нет сомнения в том, что ущерб, наносимый природе вследствие ухудшения качества воды озера, расходуемой на разбавление прошедших через очистные устройства, но еще остающихся вредными промстоков, а также от пылегазовых выбросов, во много раз превышает стоимость продукции целлюлозно-бумажных комбинатов.

Экологизация водных проблем.

Как известно, под водными ресурсами понимают не все виды вод на планете, которые могут быть использованы человеком, но прежде всего ресурсы природных пресных вод. Между тем в современном мире обостряется диспропорция между потреблением пресной воды и её доступными запасами. Уже сегодня говорят об угрозе "водного голода", нависшего над человечеством, и дефицит пресной воды теперь не только хозяйственная, но и экологическая проблема.

В этой связи и возникает вопрос: в чём суть экологизации региональных водных проблем? Что значит охранять водные ресурсы сегодня?

Наши учёные не разделяют пессимистический взгляд на неизбежность "водного голода", хотя проблема водообеспечения в результате стремительного развития производительных сил, роста народонаселения буквально на глазах нашего поколения стала "проблемой номер один", одной из трудных проблем человечества именно в силу своей экологической специфики.

Речь идёт прежде всего о нежелательных эффектах хозяйственного освоения человеком гидросферы Земли. Сейчас используется менее десятой части глобального стока рек, но именно с их загрязнением связана угроза истощения водных ресурсов, необратимого изменения уникальных водоёмов, нарушения экологического равновесия в природе.

Так "хозяйственное" вторжение в круговорот воды в природе (а биологически человек задействован в нём) порождает экосистемные проблемы, которые так или иначе оборачиваются для человека и водоснабженческими проблемами - круг в конце концов замыкается, а дефицит воды возрастает.

Обострение водных проблем во многом объясняется антропогенными изменениями речного стока.

Это и агротехнические, и лесомелиоративные мероприятия, развитие промышлености и урбанизация, наконец оросительные и осушительные мелиорации, охватившие ныне площади в десятки миллионов гектаров. Например, в результате забора воды из водоисточников для различных нужд хозяйства годовой сток многих крупных рек России снизился на 17-25 процентов. В маловодные годы снижение стока доходит до 40-60 процентов, а ведь всего лишь 30 лет назад снижение стока в бассейнах этих рек из-за хозяйственного использования не превышало 2-5 процентов. Решающее влияние на сток и качество воды в реках оказало зарегулирование их водохранилищами, число которых в стране превышает 1200.Хозяйственная деятельность сказалась не только на бассейнах таких рек, как Днепр, Дон, Кубань, Днестр, Урал, Терек.

"Водные" противоречия возникли между сушей и внутренними морями и озёрами. В последнее время Азовское море недополучало 23 процента некогда поступавшей в него воды.

Трудности в решении водных проблем вызываются также значительными, а подчас непримиримыми противоречиями интересов водопотребителей, что особенно резко проявляется именно в условиях острого недостатка водных ресурсов. В частности, по мере развития отраслей водного хозяйства, а также каскадного строительства водохранилищ и межбассейновых соединений происходит обострение некоторых межрегиональных, межотраслевых противоречий, например, между энергетикой и водным транспортом, с одной стороны, и рыбным и сельским хозяйством - с другой, а также и внутрирегиональных и внутриотраслевых противоречий, проявляющихся в основном  требованиях к режимам

регулирования стока выше и ниже плотин.

В связи с осуществлением территориального перераспределения стока всё более обостряются межрегиональные противоречия...

Естественные(природные) трудности в решении водных проблем начинаются и решаются в природе.

До недавнего времени причины трудностей с пресной водой и пути их разрешения имели чисто гидрологический характер. Природные трудности водообеспечения хозяйства и населения обусловлены прежде всего территориальной и временной неравномерностью распределения ресурсов воды на Земле. Одни населённые районы страдают от недостатка воды (сейчас это на 60 процентах населённой территории планеты),а другие имеют её избыток.

Например, в Европе и Азии сосредоточено 70 процентов населения Земли, а распологают они лишь третью мировых запасов речных вод. Более 80 процентов ресурсов поверхностных вод приходится у нас на бассейны Северного Ледовитого и Тихого океанов, в то время как на южные и юго-западные бассейны Чёрного и Азовского морей и Арало-Каспийской низменности, где сосредоточено 75 процентов населения и 80% промышленности и сельскохозяйственного  производства, приходится всего лишь 16% ресурсов поверхностных вод, к тому же и более половины годового стока здешних рек

"проходит" всего за два весенних месяца.

Неравномерность сезонная и значительные колебания водоносности рек от года к году повсеместно обостряют дефицит пресной воды...

Создаётся впечатление, что реки текут не туда, куда это надо человеку. Собственно, давно уже гидротехники говорят, например, о "бесполезности" стока в Арктику северных рек всего полушария с точки зрения водообеспечения человечества. И возникает вопрос о потребностях. Какие темпы и масштабы водопотребления характеризуют сейчас эту мировую "жажду" человечества?

Вода - не просто универсальный хозяйственный ресурс промышленности и сельского хозяйства, энергетики и транспорта, коммунально-бытовое удобство или объект рекреации населения, могущественное санитарно-гигиеническое средство, наконец.

Это незаменимый жизненный ресурс человечества, основа жизни на Земле. Не будет преувеличением сказать, что современная цивилизация немыслима без регулирования ресурсов вод человеком и что возможности социально-экономического развития в современную эпоху в значительной мере зависят от обеспеченности водой.

Темпы глобального водопотребления стремительно растут. Если в 1900 году оно составляло(в кубических километрах) 400 (в том числе "безозвратное" - 270),то уже в 1950 году достигло 1100(650),в 1975 году - 3000(1800),а по прогнозам на 2000 год составит 6000(3000).Крупнейший потребитель воды - орошаемое земледелие.

Занимая лишь шестую часть всей площади сельскохозяйственных угодий, оно даёт примерно половину всей продукции, а 2/3 посевов хлопчатника в мире существует благодаря орошению...

"Возвратные" воды, например, промышленных и коммунальных стоков, направляемые в реки и водоёмы, как известно, даже после основательной очистки необходимо разбавлять чистой водой...

Фабрики и заводы в определённой степени превращаются и в предприятия по обработке воды. Наиболее совершенные современные очистные сооружения при этом обеспечивают освобождение сточных вод, например, от органических загрязнений, как правило, только на 85-90%.Поэтому и после очистки необходимо 6-12 кратное, а в ряде случаев и большее разбавление их чистой водой для сохранения нормальной жизнедеятельности водных экосистем.

Значение очистки и доочистки сточных вод определяется сегодня и тем, что теперь в обжитых районах страны в результате строительства новых городов и деятельности промышленных предприятий створы водопользования расположены столь плотно, что нередко места сброса сточных вод и водозаборы находятся рядом.

Что именно необходимо учитывать с экологической точки зрения при решении водных проблем? Каковы пути и перспективы формирования, использования и охраны водных ресурсов?

Решение водохозяйственных проблем путём зарегулирования стока, его территориального перераспределения выдвигает в свою очередь не только сложнейшие технические, экономические и социальные, но и экологические проблемы. Исследования показывают, что проблема водообеспечения человечества может быть решена только при условии рационального и комплексного использования водных объектов(включая простую экономию воды),охраны их от загрязнения и научно обоснованном управлении круговоротом воды в природе.

Охрана гидросферы у нас является важнейшей государственной задачей, поскольку нежелательные изменения в ней затрагивают не только гидробиологические ресурсы водных экосистем, но и разрушающе действуют на экологические системы суши.

Сегодня водные проблемы не могут решаться изолированно, без учёта возможных экологических последствий, и это становится понятным прежде всего при разработке долгосрочных планов развития хозяйства. Ведь водные проблемы, проблемы формирования и использования ресурсов пресной воды - это неотъемлемая часть взаимосвязанных проблем оптимального использования растительного и животного мира, энергетических, земельных ресурсов и охраны главного "ресурса" - экологического равновесия в природе.

Говоря о путях и перспективах решения водных проблем и охраны водных ресурсов, следует учитывать, что каждому уровню развития человеческого общества соответствует тот или иной характер использования водных объектов, те или иные масштабы воздействия водохозяйственных мероприятий на окружающую среду. Если до 1940 года в СССР основное значение имели агротехнические мероприятия на водосборах, а в период 1950-1970 годов ведущее значение принадлежало русловому регулированию рек, то в перспективе, когда всё большее значение приобретает орошение, значительную роль будет иметь территориальное перераспределение стока.

Уже существующей системой каналов возможно перераспределение до 100 кубических километров воды. Однако, учитывая, что возможности зарегулирования и территориального перераспределения поверхностного стока в общем-то ограничены и будут исчерпаны (включая крупномасштабные) в ближайшие 30-50 лет, уже в наши дни, и в особенности в перспективе, к доступным водным ресурсам следует отнести пресные, солоноватые и солёные подземные воды, а также воды морей.

Ведь даже при максимально возможном развитии территориального перераспределения стока за счёт вод северных рек в Средней Азии и Казахстане можно будет оросить только 8-10% пригодной для орошения территории, а хозяйственное освоение всей остальной может быть осуществлено только при использовании местных ресурсов солоноватых и солёных вод: запасы их только в артезианских бассейнах Амударьи и Сырдарьи оценивают в общем в 33 тысячи км. кубических  (но и пресной водой богаты среднеазиатские пустыни - открыты большие запасы их в самом центре Каракумов).

В настоящее время уже назрела необходимость в мероприятиях по искусственному восполнению, а также управлению качеством и использованием подземных вод во многих районах нашей страны.

Искусственное восполнение запасов подземных вод (магазинирование) - накопление воды под землёй в многоводные и средние по водности годы для использования её в маловодные и засушливые сезоны - важный метод борьбы с истощением водных ресурсов.

В мире сейчас имеются сотни подземных водохранилищ, и у нас их несколько десятков, а в перспективе значение магазинирования и опреснения (деминерализации) с каждым десятилетием будет возрастать. Опреснение необходимо не только для использования солоноватых и солёных вод (включая минерализованные дренажные воды и воды шахтных колодцев),а также воды озёр и морей, но и вод, находящихся в оборотном водоснабжении промышленных предприятий.

Уже началась эпоха промышленной деминерализации воды, и надо полагать, что в перспективе, учитывая ограниченность пресных вод, деминерализованные воды займут должное место в удовлетворении потребностей человечества...

Неравномерное распределение водных ресурсов, населения, промышленности и сельскохозяйственного производства в настоящее время не позволяет уже решать водные проблемы в масштабах страны только путём регулирования стока водохранилищами.

Необходимость крупномасштабного территориального перераспределения водных ресурсов осознана сейчас во многих странах.

Опыт крупного гидротехнического строительства как в СССР, так и за рубежом показывает, что при осуществлении межбассейновых соединений кроме желательных целенаправленных изменений в природе и хозяйстве происходят и нежелательные (неблагоприятные) изменения, которые могут проявиться достаточно интенсивно на больших территориях, вот почему необходимо соизмерять их с положительным эффектом территориального перераспределения.

Следует также иметь в виду, что в пределах зоны косвенного воздействия изменения могут быть не менее существенными, чем в зоне непосредственного влияния перераспределения вод. Если в первоначальных проектах стремились в основном пополнить водные ресурсы при минимальном ущербе, наносимом окружающей среде и природопользованию в районах изъятия стока, то в настоящее время определить желательность улучшения окружающей среды не только в зоне распределения стока, но и в зонах его сокращения и накопления (аккумуляции),ведь переброска стока северных рек на юг затрагивает природу и хозяйство на больших территориях страны.

Сегодня для определения целесообразности осуществления крупных водохозяйственных мероприятий и их эффективности требуются научно обоснованные прогнозы (включая долгосрочные) проявления вероятных изменений в окружающей среде, оценки этих изменений с позиций охраны природы и природопользования.

Но и этого не достаточно. Необходимо также знать возможные пути предотвращения нежелательных последствий, наметить соответствующие мероприятия.

Требуется и сравнительная оценка стоимости этих мероприятий, потому что не исключена возможность, что стоимость мероприятий "по предотвращению" может превысить стоимость прогнозируемого ущерба. Отсюда и необходимость разработки рекомендаций по максимальному предотвращению отрицательных последствий, с учётом обеспечения оптимальных условий жизни и деятельности человека, оценки экономической эффективности мероприятий, разработанных на их основе. Более того, прогноз проявления нежелательных изменений возможно получить лишь на основе прогноза общих закономерностей развития окружающей среды.

Многообразные и многосторонние последствия, которые могут иметь проектные решения, требуют как фундаментальных исследований во многих направлениях, так и комплексного, системного подхода: именно многогранность, взаимовлияние и взаимообусловленность природных и антропогенных процессов определяет необходимость системного подхода, например, к созданию и эксплуатации водохранилищ. А ведь до недавнего времени их рассматривали только как регуляторы стока.

Однако чтобы создавать и эффективно использовать водохранилище как объект, вносящий существенное изменение в природу и хозяйство речных долин, дельт, а также озёр, внутренних морей и приустьевых участков окраинных морей, грамотно "вписать" его в природу экологически, надо видеть в нём одновременно и склад воды - важнейшего ресурса для многих отраслей хозяйства; и объект, существенно изменяющий качество речной воды, в отдельных случаях улучшая, а в других - ухудшая его; и регулятор стока, преобразующий режим реки в направлении, наиболее благоприятном для использования водных ресурсов ведущими отраслями водного хозяйства; и источник, аккумулятор гидроэнергии, способный в наибольшей степени отвечать потребностям энергетических систем в покрытии пиковых нагрузок, в регулировании частоты и обеспечении аварийного резерва; и акваторию, используемую водным транспортом, рыбным хозяйством, предоставляющую также и широкие возможности для организации отдыха и спорта населения; и потребителя земли (затопление, подтопление, переработка берегов); и объект, позволяющий в ряде районов существенно увеличить использование земельных ресурсов (за счёт ирригации, борьбы с наводнениями, территориального перераспределения стока).

 Развитие водного хозяйства, ведущее к непрерывному усложнению системы водохранилищ как в пределах бассейна одной реки, так и в особенности при межбассейновых соединениях, постоянно выдвигает перед наукой и практикой всё новые проблемы - экологические, медико-биологические, социальные.

Сегодня осознано, что проектирование и создание крупных водохранилищ должно вестись с особой тщательностью и осторожностью. Всё здесь должно быть подчинено оптимальным условиям комплексного использования водохранилищ на каждом прогнозируемом этапе развития водного хозяйства. В центре внимания учёных, проектировщиков и государственных организаций должно быть водохранилище, а не гидроузел...

При всевозрастающем неблагоприятном воздействии на водоёмы, по-видимому, только на основе последовательного и практического применения принципов акваториального районирования, планировки и инженерного обустройства возможно успешное выполнение многих противоречивых функций, возлагаемых на комплексные водохранилища. Особенно возрастает роль акваториального районирования и планировки в связи с необходимостью комплексного управления водоёмами. Районирование и создаёт необходимую основу для выбора направления хозяйственного использования отдельных участков акваторий и береговых зон, для акваториальной планировки водоёмов, которая должна производиться с целью определения наиболее целесообразных видов хозяйственной и природоохранной деятельности на участках данной акватории побережья.

Всё это и будет определять практическое обустройство акватории, то есть систему инженерно-технических мероприятий для создания независимого гидрологического, гидрохимического и гидробиологического управления режимами отдельных участков водоёмов.

Например, воздействие на круговорот вещества и энергии путём изъятия излишних масс органики или же усиления "питания" (трофики) водоёма внесением удобрений; аэрация воды, физико-химическая и биологическая подготовка её в районах водозабора; создание заповедных, водоохранных и буферных зон; направленное формирование экосистем и многие другие мероприятия по управлению водоёмом. Крайне важно, чтобы воздействие на водоём осуществлялось по единому плану.

В небольших масштабах на отдельных участках водохранилищ и сейчас осуществляются мероприятия, которые являются аналогом акваториальной планировки, но они осуществляются разными отраслями хозяйства, как правило, несогласованно и не достигают требуемой степени комплексности, а зачастую и противоречат друг другу...

Российским водным законодательством установлен приоритет использования воды для питья и хозяйственно-бытовых целей перед всеми другими видами использования...

В ряде районов качество воды будет важным фактором, определяющим возможность и целесообразность осуществления тех или иных проектов гидротехнического строительства.

Например, при территориальном перераспределении стока в бассейнах рек, из которых намечается забор воды, заметно сократится интенсивность процессов самоочищения, что может сказаться на качестве воды. И здесь в особенности важна оценка условий водопользования населения - санитарно-технические и водоохранные мероприятия, контроль природных условий формирования качества воды. Отсюда и новые научные задачи осуществления мониторинга (наблюдение, оценка и контроль) всей системы перераспределения стока.

В защите водных источников от истощения и загрязнения путём всемерного снижения водопотребления и водоотведения наряду с совершенствованием технологии использования воды во всех звеньях хозяйства, а именно совершенствованием и расширением очистных сооружений, переводом предприятий на оборотное водоснабжение и безотходную технологию, большое значение имеет создание комплексных районных схем водопотребления, водоотведения и очистки сточных вод, автоматизации контроля за качеством воды.

Комплексные районные схемы позволят реализовать практически возможность повторного многократного использования воды, эффективно использовать общие для района очистные сооружения и автоматизировать процессы управления работой водопровода и канализации.

Сегодня проблема качества воды питьевого назначения особенно волнует учёных. На повестке дня проблема "качество воды и жизнь". Было установлено, что предельно допустимые концентрации веществ (ПДК) для водоёмов питьевого назначения недостаточны для поддержания условий жизни гидробионтов - обитателей акваторий, водоёмов, рек. Поэтому были разработаны рыбохозяйственные нормы, и сегодня многие учёные считают необходимым разработать экологические ПДК, которые обеспечивали бы не только безвредность воды для человека, но и нормальную жизнь в водных экосистемах, а тем самым и сохранение самоочищающей способности водных объектов.

Путь развития управления водными ресурсами - рациональное распределение водных ресурсов по территории и по сезонам года. Этот путь означает управление процессами формирования водных ресурсов и их качеством на основе прогноза развития основных отраслей хозяйства для оценки масштабов развития водопотребления и требований к водным ресурсам.

При этом необходим учёт всеобщей взаимосвязи природных вод при разработке мероприятий по их использованию и охране - прежде всего для принятия оптимальных решений, сочетающих текущие и перспективные интересы хозяйства. А это и есть путь экологизации водных проблем.

Что касается государственного управления водными ресурсами, следует отметить, что из-за бытовавшего в прошлом представления об обилии водных ресурсов, а также по ряду других причин у нас не сформировалось до сего времени особой хозяйственной отрасли - "водное хозяйство". Да в пошлом, по-видимому, в этом и не было нужды: известно, что вопросом управления водными ресурсами в нашей стране всегда уделялось первостепенное внимание.

Говоря об экологизации водных проблем, хотелось бы отметить здесь следующее. Сегодня, когда необходимость рационального использования природных ресурсов осознана человечеством в полной мере, поскольку многие ресурсы природы находятся сейчас на грани истощения, необходимо оптимально сочетать водные, земельные и энергетические ресурсы в каждом районе страны, на каждом этапе развития хозяйства, а это требует и соблюдения принципа: разумно управлять формированием, использованием и охраной всех видов вод, имеющихся на планете.

Список используемой литературы.

1. Е.В.Подосенова "Технические средства защиты окружающей среды". 1980 г.

2. Народный университет, естественнонаучный факультет "Земля людей"

5 выпуск. 1983 г.

3. П.Г.Олдак "Колокол тревоги". 1990 г.

4. Н.Ф.Винокурова, Г.С.Камерилова, В.В.Николина, В.И.Сиротин, В.М.Смирнова

"Природопользование" учебник для 10-11 классов. 1994 г.

5. Интернет: http://www.greenpeace.ru/


 
© 2012 Рефераты, доклады, дипломные и курсовые работы.