реферат
Главная

Рефераты по биологии

Рефераты по экономике

Рефераты по москвоведению

Рефераты по экологии

Краткое содержание произведений

Рефераты по физкультуре и спорту

Топики по английскому языку

Рефераты по математике

Рефераты по музыке

Остальные рефераты

Рефераты по авиации и космонавтике

Рефераты по административному праву

Рефераты по безопасности жизнедеятельности

Рефераты по арбитражному процессу

Рефераты по архитектуре

Рефераты по астрономии

Рефераты по банковскому делу

Рефераты по биржевому делу

Рефераты по ботанике и сельскому хозяйству

Рефераты по бухгалтерскому учету и аудиту

Рефераты по валютным отношениям

Рефераты по ветеринарии

Рефераты для военной кафедры

Рефераты по географии

Рефераты по геодезии

Рефераты по геологии

Реферат: Рынок: типы, функции, структура

Реферат: Рынок: типы, функции, структура

Центросоюз Российской Федерации

Московский Университет Потребительской Кооперации

Кафедра экономической теории

Курсовая работа по экономической теории


Рынок: типы, функции, структура

Выполнил:

Студент 1-го курса

Ф-та МЭО, группы МЭ-14

Курносов Андрей Сергеевич

Научный руководитель:

Доцент Венцкене Светлана

Александровна

Москва 2001

План:

Введение.

1.Рынок: типы, функции, структура……………………………1

2.Механизм функционирования рынка: спрос, предложение, рыночное равновесие.  ………………………………………...13

3.Рынок труда.  ………………………………………………...23

Заключение.

Введение:

Рынок — это не только общеэкономическая категория, присущая в той или иной степени всем этапам развития цивилизации, но это одновременно слож­ное социально-философское понятие. Оно вовсе не ограничивается экономи­ческой сферой. Как результат естественноисторического развития человеческо­го общества рынок включает исторические, национальные, культурные, религиозные, психологические особенности развития народов, вобравших в себя все богатства многовековых традиций совместного устройства культурной и экономической жизни. Это определяет особенности современного рынка и рыночной системы в различных странах. Рынок имел место во всех цивилизациях, но его роль в них значительно различается. Тот факт, что рыночные отношения и сегодня далеки от совершенства, возможно, объясняется тем, что в природе совершенство вообще недостижимо.

            Цель данной курсовой работы заключается в том, чтобы рассмотреть рыночные отношения,  в целом, с точки зрения современных понятий рыночной экономики, опираясь при этом на основные догматы экономической теории и опыт прошлого, учитывая мнения различных учёных в данной области науки и делая свой личный обобщённый вывод из существующих на сей день знаний в области рыночной экономики. Одним словом, основываясь на знаниях провести анализ полученной информации, рассмотреть частные случаи и, возможно,  предложить своё видение существующих проблем и способ их разрешения.

            Первый рассмотренный вопрос посвящён типам, функциям и структуре рынка. Это сделано для того, чтобы представить взаимосвязь между компонентами и другими составляющими рынка и дать структурное представление рыночных отношений.

            Во втором вопросе идет речь о механизме функционирования рынка, спросе предложении и рыночном равновесии. Здесь более подробно раскрывается принцип работы оговоренной структуры, её отдельные механизмы. Рассматривается спрос и факторы его определяющие, эластичность спроса, основополагающие принципы рыночного равновесия и т.д.

            Третий вопрос заключает в себе рассмотрение рынка труда, безработицы и методы борьбы с ней. Здесь говорится о субъектах рынка труда, и приводятся некоторые статистические данные.

1. РЫНОК: ТИПЫ, ФУНКЦИИ, СТРУКТУРА

ТИПЫ РЫНКА

История развития рынка позволяет выделить следующие типы рынка: неразвитый, свободный, регулируемыми деформированный.

Неразвитый рынок характеризуется тем, что рыночные отношения носят случайный, чаше всего товарный (бартерный) характер. Но уже и здесь рынок играет определенную роль, способствует дифференциации членов общества, усилению мотивации к развитию производства тех или иных товаров.

Свободный (классический) рынок характеризуется следующими чертами:

1) неограниченное число участников рыночных отношений и свободная кон­куренция между ними;

2) абсолютно свободный доступ к любой хозяйственной деятельности всех членов общества;

3) абсолютная мобильность факторов производства; неограниченная свобо­да передвижения капитала;

4) наличие у каждого участника абсолютно полной информации о рынке (о норме прибыли, спросе, предложении и т.д.). Осуществление принципа рацио­нального поведения рыночных субъектов (оптимизация индивидуального бла­госостояния в результате прироста доходов: продать подороже, купить поде­шевле) невозможно без информации;

5) абсолютная однородность одноименных товаров (отсутствие торговых ма­рок и т.д.);

6) ни один участок свободной конкуренции не в состоянии оказать непос­редственное влияние на решение другого неэкономическими методами;

7) цены устанавливаются стихийно в ходе свободной конкуренции;

8) отсутствие монополии (один производитель), монополии (один покупа­тель) и государственного регулирования.

Преимущества свободного рынка в том, что он функционирует на основе саморегулирующегося механизма, обращен к человеку, через цены на основе спроса создает ориентиры для капиталовложений в производство. Свободный рынок — это механизм заведомо бездефицитного рынка. Он обеспечивает эф­фективное распределение в обществе ресурсов; гибкость и высокую адаптив­ность к изменяющимся условиям; свободу выбора и действий рыночных субъек­тов; максимальное использование достижений НТР; способность к удовлетво­рению разнообразных потребностей; повышение качества товаров и услуг. Создается впечатление, что рынок функционирует почти автоматически, хотя на самом деле регулирование здесь осуществляется методом проб и ошибок.

Но свободный рынок имеет и следующие серьезные недостатки:

1) рынок приводит к дифференциации в уровне жизни населения, что не так уж и плохо, ибо обеспечивает высокую мотивацию к труду. Плохо то, что он не обеспечивает социальную «защиту» населения. Социальные последствия свободного рынка таковы: безработица, разорение, бедность отдельных групп населения. С общечеловеческих позиций рыночное распределение несправедли­во, так как не обеспечивает минимальный уровень жизни всем. Следовательно, необходимо вмешательство государства для решения социальных проблем.

Распределение на рынке осуществляется на основе полученных доходов. С позиций рыночных отношений любой доход, полученный на основе свободной конкуренции, справедлив. А тот, кто не в состоянии получить этот доход (по состоянию здоровья, старости и т.д.), обречен на нищенское существование.

Рынок не может создать условия реализации права на труд для всех членов общества. Трудоустраиваются только те, на чью рабочую силу имеется спрос. Свободный рынок не гарантирует полную занятость населения, а также ста­бильный уровень цен;

2) механизм свободной конкуренции не обеспечивает экономику нужным количеством денег для развития-производства. Имеет место нехватка денег. Про­блему эмиссии денег берет на себя государство в лице, госбанка;

3) деятельность свободных конкурентов часто приводит к нежелательным эффектам, таким, как загрязнение окружающей среды, продуктов питания пе­стицидами и другими вредными веществами, развитие наркомании, алкоголиз­ма и т.д. Свободный рынок, таким образом, зачастую игнорирует потенциально негативные последствия принимаемых решений, а также не способствует со­хранению не воспроизводимых ресурсов;

4) свободный рынок не создает стимулов для производства товаров и услуг коллективного пользования, не в состоянии обеспечить общество услугами, в которых нуждается любой человек и от которых никто не получает прибыли (оборона, государственное управление, охрана природы и др.);

5) рынок не обеспечивает действенную мотивацию для фундаментальных исследований. Он реализует уже имеющиеся научно-технические достижения, но не выделяет средства для фундаментальных исследований в науке и технике, а они крайне необходимы для развития общества в отдаленной перспективе;

6) экономика, функционирующая на основе свободного рынка, подверже­на нестабильному развитию с соответствующими рецессионными (спад или за­медление темпов роста производства) и инфляционными процессами;

7) рынок не распространяется на те виды деятельности, которые не могут быть подчинены исключительно коммерческим критериям (здравоохранение, образование, наука, культура, единая транспортная система, убыточные про­изводства), но необходимы обществу.

Свободный рынок — это абстракция: в настоящее время, да и в прошлом (в различной мере) имело и имеет место регулирование рынка, ибо условиям свободного рынка не отвечает никакая государственность.

Сегодня у нас многие считают, что переход к рыночной экономике означает формирование свободного рынка, ибо только свободный рынок обеспечит полное раскрепощение инициативы и деловой активности людей, улучшение их жизни.

В действительности полной свободы нет и быть не может. Еще И.И. Бухарин отмечал, что хозяйствующий субъект в своих мотивах и действиях зависит от общественной среды, а Г.В. Плеханов подчеркивал, что свобода хозяйственной деятельности существует не сама по себе, а является следствием познания экономических законов и заключается в умении подчиняться им и наивыгодней­шим образом комбинировать свою деятельность в соответствии с объективными взаимосвязями. Дж. Гэлбрейт утверждает, что сегодня не может быть свободного рынка времен Адама Смита, и кто призывает к этому — человек с психическим заболеванием клинического характера.

Итак, не может быть полной экономической свободы, но должна быть дос­таточная экономическая свобода, которая способствует быстрому развитию эко­номики и которая обеспечивается развитием нормального, цивилизованного, регулируемого рынка.

Регулируемый рынок — это результат цивилизации и гуманизации общества, когда государство стремится как-то смягчить удары рынка по интересам отдель­ных членов общества, но не настолько, чтобы свести на нет мотивацию к твор­ческому, инициативному труду и риску в хозяйственной деятельности. Рынок должен быть регулируемым, чтобы снять или как-то ограничить отрицательные его последствия.

• Еще ИЛ. Кондратьев отмечал, что регулирование в рамках капиталистической системы ограничено государственной собственностью и осуществляется косвенно (Кондратьев Н.Д. Проблемы экономической динамики. М.: Экономи­ка, 1989).

Некоторые авторы до недавнего времени заявляли о недопустимости терми­на «регулируемый рынок» (называли его «горячим льдом», «квадратным коле­сом», т.е. абсурдом) на том основании, что рынок есть саморегулирующаяся система.

Дело, однако, в том, что рынок может регулироваться:

• с помощью своего собственного рыночного механизма, элементами кото­рого являются конкуренция, прибыль, цена, спрос, предложение и др.;

• государством прямо и косвенно через госзаказы, налоги и т.д.

 Для нас же сегодня крайне важно, как отмечал В. Леонтьев, найти опти­мальное сочетание рыночного и государственного регулирования. Пока нет ни одного государства, которое бы идеально отвечало этому требованию.

Взаимодействие этих двух сторон регулирования рынка носит мониторинго­вый (т.е. напоминающий) характер, свидетельствующий об усилении либо соб­ственного рыночного механизма, либо государственного регулирования.

Государство в определенной степени обеспечивает условия функционирова­ния рынка и чрезмерное вмешательство государства в рыночные отношения приводим к их деформации. Наиболее ярким примером деформации рынка мо­жет служить рынок в нашей экономике.

Условия функционирования рынка у нас были таковы, что его положитель­ная роль в развития экономики была сведена на нет, отсюда вытекают заявле­ния об отсутствии рынка, что не совсем правильно отражает реальность, ибо акты купли-продажи существовали, что признавали и признают не только от­дельные экономисты России, но и Запада (например, В. Ойкен и др.). Личное подсобное хозяйство в разные годы носило разную степень товарности, но без него крестьянин не мог бы существовать. Таким образом, рынок был и есть, но он серьезно деформирован.

Основные черты деформации рынка в условиях административно-командной или директивной системы хозяйства:

1) отсутствие многочисленных рыночных субъектов, организующих свою хозяйственную деятельность на основе разных форм собственности;

2) чрезмерная централизация в распределении товарных ресурсов и их дви­жении, отсутствие самостоятельности в коммерческой деятельности;

3) монополизм производителя и торговца;

4) несбалансированность спроса и предложения, которая с каждым годом возрастает;

5) чрезмерный рост цен, безудержная инфляция, нарушение денежного об­ращения, бюджетный дефицит, огромная эмиссия денег и т.д.;

6) расцвет теневой экономики, «серого» и «черного» рынков;

7) попытка усиления региональных рынков, разгул центробежных сил;

8) расцвет бартерных сделок вместо более развитых торгово-денежных отно­шений;

9) деформация экономических интересов субъектов рыночных отношений (например, у торговцев возникает интерес не продать, а припрятать товар), от­сутствие мотивации к эффективному труду, риску в хозяйственной деятельности;

10) отсутствие у потребителя права выбора товара.

Чтобы устранить деформацию рынка, ликвидировать болезни рыночной эко­номики (безработицу, инфляцию, нестабильность), необходимо создать условия для перехода к рыночному хозяйству в России и последующего его развития. Такими условиями являются:

наличие в экономике разнообразных форм собственности (полиморфизм собственности) и многообразных форм хозяйствования, а также свобод­ной конкуренции между ними, свобода участия, всех хозяйственников в конкуренции и выхода из неё, достаточное количество производителей, должно быть не менее 15—20 изготовителей однотипной продукции (если производителей 4—5— это олигополия, если 1—2 — монополия, что может сдерживать развитие рынка);

обеспечение свободы хозяйственной деятельности, выбора партнеров по хозяйственным связям, самостоятельность, независимость и ответствен­ность за хозяйственные решения рыночных субъектов, их способность са­мостоятельно заключать контракты, договоры, размешать и принимать за­казы; способность свободно распоряжаться частью своих доходов; отсут­ствие жесткого административного товарного распределения (по карточ­кам, талонам, фондирования и др.), т.е. свободная купля-продажа;

формирование механизма свободного ценообразования, право рыночных субъек­тов самим устанавливать цены. Это не жесткое условие, ибо классический рынок как бы задает извне «невидимой рукой» цену покупателям и про­давцам. Наличие союзов производителей и потребителей как своеобразная реакция на цены, которая не устраняет рынок;

свободное маневрирование ресурсами, их наличие, обеспечивающее мобильность в использовании факторов (материальных, трудовых, финансовых) про­изводства для его развития; возможность изменить условия производства, его технологию, свободное перемещение любых капиталов в любую сферу приложения; недогрузка мощностей - это обязательное условие для функ­ционирования здоровой рыночной экономики;

полнота и доступ к информации о состоянии рынка всех хозяйственников;

наличие рыночной инфраструктуры, т.е. комплекса отраслей, систем, служб, предприятий, обслуживающих рынок;

сохранение наряду с распространением рыночных отношений значитель­ного нерыночного сектора экономики;

последовательная интеграция национальной экономики в систему мирохо­зяйственных связей;

обеспечение со стороны государства социальных гарантий гражданам, предоставление всем равных возможностей в «зарабатывании средств» и под­держка нетрудоспособных и социально уязвимых членов общества.

ФУНКЦИИ РЫНКА

 

Сущность рынка находит свое выражение в его экономиче­ских и социальные функциях. Мировой и национальный опыт показывает, что рынок оказывает громадное влияние на все сто­роны жизни общества. Можно выделить следующие основные экономические функции рынка.

1. Информационная функция. Ее суть состоит в том, что через систему целого ряда показателей (цены, проценты, коли­чество, качество и ассортимент товаров и услуг и т. п.) рынок, как гигантский компьютер, собирает, перерабатывает и выдает обобщенную информацию в рамках той экономической террито­рии, которую он охватывает, информирует общество о состоя­нии экономики.

2. Посредническая функция. Рынок соединяет в единую си­стему экономически обособленных, товаропроизводителей и по­требителей. В результате продавцы и покупатели находят друг друга, у каждого из них появляется возможность выбрать и подходящего покупателя, и нужного продавца.

3. Регулирующая функция. Рынок дает ответы на вопросы:

что производить? как производить? для кого производить? На основе межотраслевой и межрегиональной конкуренции идёт бесконечный перелив капиталов и ресурсов, что в конечном счёте формирует такую структуру экономики, которая отвечает требованиям рынка, требованиям потребителей.

4. Ценообразующая функция. Известно, что у каждого товаропроизводителя складываются свои индивидуальные затраты и, следовательно, индивидуальные стоимости и цены. Между тем рынок признаёт лишь общественно необходимые затраты и соответственно общественные, рыночные цены, которые одновременно отражают  и потребности покупателя, и уровень предложения товарной массы.

5. Функция экономичности потребления, сокращение издержек обра­щения в сфере потребления (затрат покупателей на приобретение товаров) и соразмерности спроса населения с заработной платой.

6. Стимулирующая функция. Ориентир рыночных цен на общественный уровень затрат, на учет спроса потребителей побуждает каждого товаропроизводителя экономить свои индиви­дуальные затраты и представлять рынку те товары, которые нужны покупателю. В свою очередь рынок побуждает и Покупа­теля заботиться об экономичности потребления, об экономии затрат на приобретение товаров, побуждает соизмерять уровень спроса с уровнем доходов.

7. Эквивалентная функция. Рынок сопоставляет индивидуальные затраты труда отдельного производителя с общественным «эталоном», соизмеряя затраты и результаты, а также выявляя ценность товара.

8. Созидательно-разрушительная функция. Рынок обеспечивает динамичное изменение всех хозяйственных пропорций между отраслями и регионами. Он как бы взрывает старую структуру хозяйства и на каждом новом этапе развития формирует новую структуру. Разумеется, этот процесс тяжелый, мучительный, бо­лезненный, но он - реальность. Яркий и наглядный пример тому - структурная перестройка хозяйства в современной России.

9. Санирующая, оздоровительная функция. В этом смыс­ле рынок напоминает санитара, который убирает из хозяйства все устаревшее, больное, очищает общественное производство от устаревших отраслей, экономически нежизнеспособных хо­зяйствующих субъектов и даст дорогу отраслям экономичным, хозяйствам высокоэффективным. Совершенно очевидно, что и этот процесс является болезненным, мучительным, ибо он уско­ряет гибель слабых хозяйств.

10. Дифференцирующая функция. Рынок расслаивает, диф­ференцирует товаропроизводителей, т. с. обогащает одних и разо­ряет других. Общеизвестно, что средний цикл жизни малого бизнеса не превышает шести лет, что, как правило, из каждых трех начинающих предпринимателей двое разоряются в сравни­тельно короткий период (1,5 - 2 года).

Вопрос о функциях рынка позволяет вплотную рассмотреть еще один аспект проблемы – преимущества и недостатки рыночного механизма.

Выше при анализе функций было выяснено, что рыночный механизм хозяйствования имеет целый ряд очевидных преимуществ, достоинств и оказывает на экономическую жизнь общества положительное влияние. Можно отметить следующие проявления положительного влияния рынка:

• стимулирует рост производства, ускоряет темпы его разви­тия;

• повышает эффективность производства, побуждает эконо­мить труд и ресурсы;

• формирует структуру хозяйства, отвечающую потребнос­тям и запросам потребителя;

• в определенной мере рынок создает саморегулирующуюся систему хозяйства, где каждый занимает свою нишу;

• многовековой опыт использования рынка свидетельствует о его естественной природе, которая отвечает нуждам общества;

• рынок обогащает определённую часть, населения, Однако рынок не следует идеализировать, поскольку ему присущи недостатки. Можно указать наследующие проявления отрицательного, влияния рыночного механизма на экономи­ческую и социальную жизнь общества:

• как саморегулирующаяся система рынок не является иде­альной системой. Частичное и в особенности общее макроэконо­мическое равновесие в данной системе реализуется через посто­янное нарушение этого равновесия. Иными словами, рыночная система недостаточно стабильна. Типичной формой ее нестабиль­ности является циклический характер развития экономики;

• одной из форм нарушения равновесия и одновременно фор­мой нестабильности экономики является инфляция, рост цен. Последствия этой формы макроэкономической нестабильности экономически разрушительны и социально опасны;

• рыночная система не обеспечивает полного использования ресурсов. Ей свойственны неполная занятость вещественных и трудовых ресурсов. Безработица - неизбежный спутник рынка, ее последствия социально-драматичны;

• рынок сам порождает факторы, которые нарушают свободу предпринимателя; Такими факторами являются различные фор­мы Монополизма, которые деформируют правила игры на сво­бодном, классическом рынке;

• рынок не учитывает так называемых отрицательных  внешних эффектов (например, загрязнение окружающей среды). Товаропроизводители, нарушая экологическую среду, не хотят дести затраты по восстановлению сил природы, по восста­новлению экологического равновесия

• рынок не в полной мере учитывает влияние положительных внешних эффектов (услуги образования, науки, здравоохра­нения и т. п.). Он учитывает только индивидуальный коммер­ческий аспект этих эффектов, но не придает значения социального воздействия этих факторов, он как бы недооценивает пол­ную полезность этих благ и услуг;

 • рынок безразличен к производству так называемых обще­ственных благ и услуг (национальная оборона, охрана обществен­ного порядка, воспитание детей и т. п.);

• рынок не только обогащает, но и неизбежно разоряет часть предприятий и часть домашних хозяйств;

• рынок не способен решить целый ряд социальных проблем: содержание пенсионеров, больных, инвалидов, сирот и т. п.;

• рынку чужды нравственные идеалы добра, справедливости, патриотизма и т. д. Разные народы сложили немало пословиц и поговорок по этому поводу «рынку нет дела до человека без кошелька»; «рынок - это специально отведенное место, где люди могут обманывать друг друга», «хотя честный человек может преуспеть в делах, щепетильность будет для него помехой, и тогда недостаток моральной гибкости ему придется восполнить уме­нием».

Все вышеизложенное позволяет сделать вывод о том, что рыночный механизм нуждается в регулировании, в корректиров­ке. Такой механизм имеет смешанная экономика.

СТРУКТУРА  РЫНКА

Характеристику рынка как совокупности актов купли-продажи можно раскрыть через его структуру, систему и инфраструктуру. Становление и налаживание эффективно функционирующей системы инфраструктуры рынка является важнейшим компонентом процесса перехода экономики России на рыночные условия хозяйствования.

Структура рынка — это внутреннее строение, расположение, порядок от­дельных элементов рынка, их удельный вес в общем объеме рынка.

Признаками любой структуры являются:                                                         

а) тесная связь между ее элементами

б) определенная устойчивость этих связей;

в) целостность, совокупность данных элементов.

Совокупность всех рынков, расчлененных на отдельные элементы на основе самых разнообразных критериев, образует систему рынков.

Можно выделить следующие критерии для характеристики структуры и сис­темы рынка:

Первый — по объектам:

• рынок товаров и услуг (потребительский рынок);

• рынок факторов производства;

• финансовый рынок;

• рынок научно-технических разработок, патентов;

• рынок информации;

• рынок средств обращения;

• рынок отдельных товаров или товарных групп (мяса, одежды, обуви);

• рынок лицензий и др.

Рынок товаров и услуг (потребительский рынок). Исторически первоначально возник именно он. Описывая товарное хозяйство и рыночную систему, мы тем самым описывали историю и механизм функционирования рынка товаров и услуг. Мы можем лишь дополнительно указать на органи­зацию самого этого рынка и конкретные, его формы. Это товарные биржи, множество других форм оптовой и розничной торговли, мар­кетинга и маркетинговых организаций и т. д. Исторически, развива­ясь и совершенствуясь по мере созревания, объективных экономичес­ких условий, от рынка товаров и услуг отделялись рынки факторов производства. Это делало рынки целесообразнее и рациональнее, бо­лее специализированными, следовательно, более совершенными.

Рынок жилья до недавнего времени в нашей стране существовал в виде куп­ли-продажи частных домов, дач и других владений подобного рода, а также кооперативных квартир, которые могли быть проданы и куплены. В связи с при­ватизацией государственного жилого сектора можно ожидать формирования полноценного, а не ограниченного узкой зоной обмена или теневой продажи «по договоренности» рынка жилья, охватывающего все виды жилой площади. Это покончит с вопиющей социальной несправедливостью, когда (зачастую обеспеченные) люди получают жилье бесплатно, а другие покупают за полную стоимость.

Рынок факторов производства. Объектами купли-продажи на этом рынке являются земля, рабочая ста в средства производ­ства (капитал). Соответственно, можно различать и сегменты этого рынка — рынок земли, рынок труда, рывок капиталов.

На рынке земли огромную роль играет географический фактор и ограниченность самих земель, как никакого другого ресурса. В силу этого в каждой стране в зависимости от ее нахождения на планете, территории и других факторов рынок земли носит сугубо специфи­ческий характер. Он глубоко национален, исторически традиционен. Более подробно с этим видом рынка мы познакомимся в гл. XVII "Распределение доходов". Дело в том, что под землей понимается не только земля как таковая, но и те дополнительные — очень суще­ственные — товары и услуги, которые она дает урожай, сырье, ма­териалы, полезные ископаемые и т. д.

Рынок рабочей силы организуется в форме биржи труда, где не­посредственно формируется сложная инфраструктура, позволяющая сводить вместе работодателей и наемных рабочих, продающих свою рабочую силу.

Биржа труда представляет собой целый научно-исследовательский комплекс, занимающийся регистрацией безработных и свободных рабочих мест на предприятиях. Имея полную информацию по этим аспектам, 6иржа направляет на предприятия соответствующую им по профилю и квалификации рабочую силу, занимается её переподготовкой переквалификацией. Бирка держит тесную связь с профсоюзами и предпринимателями и получает от них мощную поддержку. Хотя биржа труда в какой-то степени и ограничивает свободу товаропроизводителей нанимать рабочую силу по своему усмотрению, но она же и освобождает их от огромных издержек на содержание боль­шого аппарата по найму, подготовке и переподготовке рабочей силы. Уже поэтому предприниматели материально поддерживают биржу труда, до 90 процентов рабочей силы нанимается исключительно по ее направлениям. С другой стороны, биржа труда опирается на мощ­ную поддержку государства, так как, во-первых, она не может быть прибыльной организацией, во-вторых, она и не ставит себе такую цель, выполняя работу огромной социальной значимости. Именно биржа труда определяет статус безработного, выдаст пособия и зани­мается другими формами социального вспомоществования.

На рынке капиталов занимаются организацией купли-продажи средств производства, зданий, сооружений, станков, оборудования. Он отличается двумя особенностями.

Первая заключается в том, что спрос на капитальные средства покупатели всегда ввязывают с той прибылью, которую им могли бы принести ценные бумаги. Покупатель всегда решает вопрос, что ему выгоднее: вложить деньги в средства производства и получить определенную норму предпринимательской прибыли или купить цен­ные бумаги и получать потом доход в форме определенного процента. Следовательно, движение процента (финансовый рынок) и спрос на средства производства достаточно тесно связаны. Если норма ссудно­го процента падает, то спрос на средства производства растет, растет соответственно и цена на них. Взаимосвязь этих двух видов рынка проявляется и в том, что спрос на средства производства и их цена определяют размеры инвестиций в производство, но сами инвести­ции непосредственно извлекаются из рынка финансов, где форми­руется норма (ставка) процента. В силу этой особенности рынок средств производства отличается среди всех остальных его видов наи­большей нестабильностью и непредсказуемостью.

Другой особенностью рынка средств производства является его высокая неоднородность и исключительное разнообразие товаров. На рынке товаров и услуг разнообразие еще больше, но здесь каж­дый товар или группа товаров имеет свой рынок, что отсекает его от остальной массы, позволяя учитывать все его специфические особенности. Рынок же средств производства такими возможностями не располагает.

Важной частью рывка средств производства является рынок по­держанного оборудования. Сам по себе этот рынок ничем примеча­тельным не отличается от рынка средств производства, но функцио­нально он чрезвычайно важен, так как именно в этом секторе опре­деляется степень износа оборудования, а следовательно, норма амортизации. Последняя же в свою очередь определяет сроки обновления средств производства и, таким образом, имеет прямое отношение к  регулированию всего рынка средств производства.

Рынок инвестиций представляет собой одну из разновидностей денежного рынка, в котором объектом рыночных отношений являются капиталовложения.

Финансовый рынок — это, рынок, где покупаются и продаются финансовые средства: деньги, облигации, акции, векселя в другие ценные бумаги. На этом рынке формируются ссудный процент, курс валют и ценных бумаг. Хотя мы и; рассматриваем финансовый рынок третьим по счету, в настоящее время он является важнейшим после рынков товаров, более того, в современной рыночной инфраструк­туре становится определяющей формой рынка. Дело в том, что не существует вида хозяйственной деятельности, который бы не взве­шивался на финансовых весах, не был бы опосредован финансами и не проходил бы через финансовый рынок. В то же время он является наиболее чутким барометром рыночного благополучия. Реагирует на любые изменения в производстве товаров и услуг, включая и изме­нения на рынке средств производства.

Главным орудием финансового рынка является ссудный процент, превратившийся в универсальный критерий эффективности, вложе­ния капитала в какую бы то ни было отрасль производства. Суть ссудного процента с этой точки зрения заключается в том, что он указывает минимальный уровень отдачи, эффективности капиталь­ных вложений. Он как бы является пробным камнем или точкой оп­ределения прибыльности бизнеса. Если ожидаемая прибыль от капи­тальных вложений будет ниже ссудного процента, то предпочтитель­ней деньги вложить в банк — вот о чем говорит ссудный процент.

С другой стороны, финансовый рынок является и самым совер­шенным рынком. Прежде всего потому, что обеспечивает практичес­ки единую ставку ссудного процента не только в каждой отдельной стране, но и на международном уровне. Кроме того, он отличается многочисленностью субъектов, действующих на нём. По существу, это — все субъекты экономических отношений. В то же время объек­ты купли-продажи здесь характеризуются однородностью товаров: деньги, акции, облигации и тому подобное, что облегчает функцио­нирование самого рынка, увеличивает его предсказуемость. На фи­нансовом рынке существуют развитая информационная структура и сеть, банков, широкий рынок заемных средств, в тем самым обеспе­чивается главное: условие существования конкурентного рынка в це­лом — свободный "вход" в него и свободный "выход" из него. Оче­видно, что финансовый рынок является ключевым элементом в рыночной системе. Без развитого финансового рынка рыночная система вообще не может считаться полноценной. В этом нетрудно убедиться, проанализировав состояние, российского финансового рынка и в целом рыночной системы России. Они практически находятся в зачаточном состоянии, особенно финансовый рынок. Даже нет единой банковской системы на твёрдой законодательной основе, естественно, нет и единого ссудного процента в масштабах страны. Тем не менее, финансовый рынок, даже в этом состоянии, является орудием совершенствования рыночной системы, своеобразным двигателем экономики страны к этой системе.

Рынок инноваций, т.е. нововведений, изобретений, рационализаторских предложений, практически также отсутствовал в нашей экономике. Переход к рыночной экономике дает основание рассматривать инновации как товар, кото­рый целесообразно продавать по рыночным ценам, что, несомненно, должно привести к ускорению научно-технического прогресса.

Рынок информационных продуктов — это особый рынок, предметом купли-продажи здесь являются книги, газеты, картины, различного вида реклама и великое множество других предметов и видов деятельности, несущих людям необходимую информацию. Такой рынок у нас существует. Но если понимать информационный продукт в широком смысле слова, включая в него и интел­лектуальный, т.е. научный, культурный, духовный, образовательный продукт, то рынок подобной продукции только формируется. Определенное распростра­нение получают в качестве объекта купли-продажи программы для ЭВМ.

Рынок лицензий — это часть рынка инноваций. Объектом купли и продажи здесь служат патентные и беспатентные лицензии на передачу изобретений, технологического опыта, промышленных секретов и коммерческих знаний, использование товарных знаков и т.д. Это торговля технологией. В современных услови­ях наибольшее распространение в международной практике получили лицензионные соглашения, предусматривающие комплексный технологический обмен с предоставлением ноу-хау (информации, представляющей технические знания и практический опыт, имеющей коммерческую ценность и не обеспеченную патентной зашитой: спецификаций, формул, рецептур, документации, схем организации производства, характеристик технологического процесса и пр.) и инжиниринговых услуг по промышленной реализации передаваемой технологии.

Второй критерий — по субъектам:

• рынок покупателей;

• рынок продавцов;

• рынок государственных учреждений,

• рынок промежуточных продавцов — посредников.

На рынке покупателей предложение должно превышать спрос, тогда покупа­тель сравнивает между собой разные сорта товаров, их цены и оказывает пред­почтение тому или иному товару. Здесь есть конкуренция производителей и тор­говцев, что характерно для современных развитых национальных и междуна­родных рынков.

Рынок продавца характеризует значительное превышение спроса над предло­жением. Здесь главную роль играет количество товаров и услуг, качеству уделя­ется минимальное внимание. Ни о предпродажном, ни о послепродажном сер­висе не упоминается, все продается сразу, как бы «с колес», так как конкурен­ция между производителями отсутствует, товарный ассортимент беден. Торгов­ля работает по принципу: «Бери, что дают!» Таков был наш рынок.

Рынок государственных учреждений включает совокупность актов купли-продажи государственных организаций, федерального правительства, штатов, местных органов власти, закупающих или арендующих товары, необходимые им для выполнения своих основных функций по отправлению власти.

Рынок промежуточных продавцов выражает совокупность экономических отношений лиц и организаций, приобретающих товары для перепродажи или сда­чи их в аренду другим потребителям с выгодой для себя.

Третий критерий — по географическому положению:

• местный (локальный) рынок;

• региональный рынок;

• национальный рынок;

• мировой рынок.

Мировой рынок — это не только совокупность национальных рынков различ­ных государств, экономические связи между которыми определены междуна­родной торговлей (в том числе торговля лицензиями, услугами, международное перемещение капиталов и т.д.), но и их качественно новый уровень. Это можно отразить в виде схемы. (Рис. 1).


Мировой рынок

Внутренний рынок

Совокупность внутренних рынков

Рис. 1

Четвертый критерий — по уровню насыщения:

• равновесный рынок;

• дефицитный рынок;

• избыточный рынок.

Пятый критерий — по степени зрелости:

• неразвитый рынок;

• развитый рынок;

    • формирующийся рынок.

Шестой критерий — по степени ограниченности конкуренции:

• свободный рынок;

• монополистический рынок;

• олигополистический рынок;

• смешанный рынок.

Седьмой критерий — по соответствию действующему законодательству:

• легальный рынок;

• нелегальный («черный» и «серый») рынок.

Восьмой критерий — по отраслям:

• автомобильный рынок;

• компьютерный рынок и т.д.

Девятый критерий — по характеру продаж:

• оптовый рынок;

• розничный рынок.

Десятый критерий — с учетом ассортимента товаров:

    • замкнутый рынок, на котором представлены товары только первого про­изводителя;

• насыщенный рынок, на котором множество сходных товаров многих производителей;

• рынок широкого ассортимента, на котором есть ряд видов товара, связан­ных между собой и направленных на удовлетворение одной или несколь­ких связанных между собой потребностей;

• смешанный рынок, на котором имеются разнообразные товары, не свя­занные между собой.

В зарубежных странах выделяют также аукционы, долгосрочные контракты, телефонно-телексный рынок, разовые сделки, биржевую торговлю.

Тендеры (торги) — это распространенная форма торговли, при которой по­купатель объявляет конкурс для продавцов на товар с определенными технико-экономическими характеристиками с помощью тендерных комитетов, в кото­рые входят технические и коммерческие эксперты, представители администра­ции, покупатели, принявшие решение о размещении заказов через торги, и другие участники.

Рис. 2.  Рыночная инфраструктура

 

2. МЕХАНИЗМ ФУНКЦИОНИРОВАНИЯ РЫНКА: СПРОС, ПРЕДЛОЖЕНИЕ, РЫНОЧНОЕ РАВНОВЕСИЕ

Рыночный механизм — это механизм взаимосвязи и взаимодействия основных элементов рынка:

предложения, спроса и цены. Рассмотрим более подробно каждый эле­мент рыночного механизма.

СПРОС И ФАКТОРЫ ЕГО ОПРЕДЕЛЯЮЩИЕ

Цены на товары и услуги складываются на рынке, где действуют спрос и предложение. В аспекте этих соображений рассмотрим последовательно проблемы, относящиеся к спросу и предложению.

Спросом называется количество товаров и услуг, имеющееся на данном рынке, которое покупатель готов приобретать по определенной цене независимо от того, действует он рационально или под влиянием среды.

Спрос на какой-либо продукт представляет собой спрос в отношении какой-то   отрасли   экономики.   Практика   показывает   наличие значительного разнообразия продукции, предназначенной для удовлетво­рения запросов потребителей. Все виды продукции обладают различной степенью взаимозаменяемости.

Комбинированная продукция отрасли может рассматриваться как то­вар или благо. Однако общим критерием принадлежности какого-либо продукта к той или иной отрасли могут служить определенные признаки (форма, качество, степень рекламирования и т.д.). Высокая заменяемость предполагает, что товары удовлетворяют одну и ту же потребность, но изменение цены на взаимозаменяемые товары может повлечь за собой изменение спроса от одного продукта к другому. Следовательно, меха­низм рынка позволяет удовлетворять только те потребности, спрос на которые растет.

Индивидуальный и совокупный рыночный спрос на товар

Рассмотрим ситуацию, складывающуюся на рынке какого-нибудь товара А. Предположим, что при цене 30 $ за одну условную еди­ницу покупатель готов купить лишь 1 единицу блага А, при цене 15 $ — 3 единицы и т.д. Зависимость количества проданных благ от уровня цен может быть представлена графиком (Рис. 3.1).

Анализируя полученный график, легко заметить, что между рыночной ценой и количеством реализованного товара существует определенная обратная связь. Высокая цена товара ограничивает спрос на него, уменьшение же цены, как правило, обусловливает возрастание спроса на него. Изображенная кривая спроса характеризует состояние цен и объема про­дукции А на определенный момент времени. Данная кривая иллюстрирует закон изменения спроса. Она имеет отрицательный наклон, что свидетель­ствует о желании потребителей купить большее количество благ при меньшей цене. В общем виде QD=F(P), где QD — величина спроса (demand), Р — цена (price). Однако спрос — величина переменная. При этом следует различать изменение величины спроса, или объема опросов, и изменение характера спроса. Величина спроса меняется тогда, когда переменна только цена данного товара. Характер же спроса меняется тогда, когда изменяются факторы, имевшие ранее постоянные величины. Графически изменения объема спроса выражаются в "движении" по кри­вой спроса вниз или вверх (Рис. 3.1). Изменение же спроса выражается в "движении" кривой спроса, в ее смещении вправо или влево (Рис. 3.2). Представленная функция носит название функции спроса — функции, определяющей спрос в зависимости от влияющих на него различных фак­торов.

Выше мы определили влияние ценового фактора. Однако на спрос оказывают влияние и иные факторы:

=> величина и динамика изменения дохода потребителя;

=> изменение вкусов и предпочтений;

=> размер рынка;

=> ценовые и дефицитные ожидания;

=> наличие товаров - субститутов и др.

        

Рис. 3.1 Кривая спроса

Спрос является функцией всех этих факторов: QD=F(f1,f2,...,fn).

Рис. 3.2 Движение кривой спроса

Эти факторы способствуют сдвигу кривой индивидуального спроса вправо или влево. Так, изменение денежных доходов потребителей пред­полагает сдвиг кривой в положение D’ (в случае их увеличения) и в по­ложение D” (в случае их снижения).

Эластичность спроса

Понятие эластичности связано со спросом на товары в зависимости от их стоимости. Мерой такого измерения служит коэффициент элас­тичности спроса. А. Маршалл, развивавший эту тему, писал в своих "Принципах экономической науки", что "эластичность (responsiveness) может быть большей или меньшей в зависимости от того, сильнее или слабее возрастает приобретаемое количество товаров при данном сниже­нии цен, и в большей или меньшей степени падает при данном повыше­нии цен".

Эластичность спроса определяется как отношение между процентной величиной изменений запрашиваемого количества товара и величиной колебаний цен.

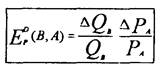
где EDP  — эластичность спроса по цене; ΔQ — изменение объема спроса, %; ΔР— изменение цены, %.

Форма кривой спроса может быть различной в зависимости от харак­тера потребности в данном товаре. Существуют товары низкой элас­тичности, спрос на которые стабилен, и товары высокой эластичности, спрос на которые резко меняется при изменении цены.

Если, например, повышению цены на 1 % соответствует снижение спроса более чем на 1 %, то говорят, что спрос эластичен (коэффициент эластичности больше 1); если повышению цены на 1 % соответствует понижение спроса на 1 %, то спрос нейтрален (коэффициент элас­тичности равен 1); если повышение цены на 1 % влечет за собой пони­жение спроса менее чем на 1 %, то спрос неэластичен (коэффициент эластичности находится в интервале от 0 до 1).

Существуют различные варианты проявления эластичности (рис. 3.3).

Знак эластичности будет отрицательным, т.к. цена и объем продукции изменяются в противоположных направлениях.

Спрос на любой товар зависит не только от его цены, но и от уровня цен на другие товары. Для учета влияния сопутствующих и заменяющих товаров используют перекрестные коэффициенты эластичности, показы­вающие, на сколько процентов изменяется спрос на другой товар при условии, что остальные цены и доходы потребителей остаются прежними.

Перекрестная эластичность выражается в двух товарах — А и В.

где ΔQB — изменение объема спроса на благо В; QB — объем спро­са блага В; ΔPA— изменение иены блага А; РA — цена блага А.

Перекрестная эластичность спроса показывает тенденцию покупате­лей к перемещению своего спроса от одного товара к другому в том случае,

если цена на первый из них сильно меняется. Если EDP>0, то блага взаимозаменяемые, если EDP<0 — взаимодополняемые.

Ценовая неэластичность товара означает, что изменение цен не вызы­вает значительных изменений в объеме продаж. Эффект изменения цен на неэластичном рынке проявляется в двух формах: при снижении цены теряется часть прибыли; при увеличении цены резко вырастает объем продаж и прибыли.

Ценовая эластичность товара означает, что небольшие изменения це­ны вызывают значительные изменения продаж. Объем прибыли может увеличиваться при уменьшении цен и уменьшатся при их увеличении. Главная особенность эластичного рынка заключается в наличии высокой ценовой конкуренции, когда незначительные изменения цен вызывают существенные изменения объемов продаж, а следовательно, и валового объема прибыли. Поэтому любые повышения цен, даже очень незначительные, на эластичном рынке требуют проведения большого количества различных исследований для определения количественных характеристик таких соотношений, как "объем продаж - цена", "объем продаж - себестоимость", "емкость рынка - цена", с целью принятия окончательного решения.

                                             


 Ep=∞ Полностью                         -∞<Ep<-1                                 Ep=1

эластичный спрос                        Эластичный спрос                    Спрос равен единице                                                                                                          

-1<Ep<0                   Ep=0

Жесткий спрос                          Неэластичный спрос                                        

Рис. 3.3  Графики Эластичности спроса

В современной экономической науке используется также показатель эластичности

спроса относительно дохода (income clasticuty of demand).


где ΔQ — изменение объема спроса; Q — объем спроса; ΔI— измене­ние величины дохода; I— величина дохода.

ПРЕДЛОЖЕНИЕ

Предложение товара — это количество данного товара, которое могут и намерены сбыть производители на рынке по данной цене.

Положение производителей на рынке не является постоянным и оди­наковым (масса предлагаемого товара, различные издержки производства, количество затраченного труда и т.д.). Однако, все они стремятся макси­мизировать свой доход, т.е. получить самую высокую цену.

Как и для спроса, рассмотрим ситуацию, складывающуюся на рынке со стороны предложения. Например, при цене 20 S производитель согла­сен продать лишь 1 единицу блага, при цене 30 S — 4 единицы, а при цене 50 $ — 7 единиц блага А. Диаграмма может быть графически пред­ставлена кривой предложения, направленной вверх слева направо: это типичная кривая предложения (см. рис. 3.4). Совокупное предложение на рынке представляется аналогичной кривей предложения, направленной таким же образом, показывающей отношение между пеной товара и количеством этого товара, которое отрасль плова продать на рынке в целом. В общем виде Qs=F(P), где Qs — величина предложения (supply), Р — цена.

В экономической теории принято откладывать независимую перемен­ную (Р) по вертикальной, а зависимую переменную (Qs) — по горизон­тальной оси. Кривая имеет положительный наклон, что свидетельствует о желании производителя продать большее количество благ по более высо­кой цене. Однако, кроме цены, на предложение оказывают влияние и другие факторы:

=> цены факторов производства;

=> технология;

=> количество производителей-продавцов;

=> ценовые и дефицитные ожидания агентов рыночной экономики;

=> размер налогов и т.д.

Предложение  является  функцией   всех   этих   факторов   — Qs=F(f1,f2,...,fn).

Зависимость предложения от влияющих на него факторов называется функцией предложения.

                                         Рис. 3.4 Кривая предложения

Форма кривой предложения товара обусловлена во многом технологи­ей его производства, доступностью ресурсов, Используемых при изготов­лении данного товара. Если мобильность производства и используемых в нем ресурсов высока, то кривая предложения имеет более пологий вид, т.е. незначительное изменение цен означает существенное увеличение предложения товара. Когда же увеличение производства требует больших затрат ресурсов, кривая предложения более крутая.

Кривая предложения строится при соблюдении ряда условий.

=> издержки производства известны, если они уменьшаются, про­изводители согласны предложить то же количество товара, что и раньше, но по пониженным ценам, или больше — по текущим ценам;

=> цены на товары-заменители установлены;

=> предполагается, что изменение цены — единственно возможный путь.

Если перечисленные условия меняются, то кривая предложения пере­мещается: рост предлагаемого количества товара по различным ценам вызывает ее перемещение вправо и вниз, его сокращение — вызывает перемещение этой кривой влево и вверх.

Если условия постоянны, то изменение цены означает движение вдоль кривой предложения.

Степень реакции предложения на колебания цен измеряется элас­тичностью предложения, которая представляет собой отношение измене­ния предложения в процентах к процентной величине колебания цен.

 

где Esp — эластичность предложения по цене; ΔQ — изменение объ­ема предложения, %; ΔР — изменение цены, %.

Поскольку изменение объема предлагаемого товара и цен происходит в одном направлении, эластичность предложения всегда позитивна.



        Es =∞                                  1<Es<∞                              Es=1


        Полностью эластичное     Относительно элас-          Эластичность

        предложение                      тичного предложение       равна единице            


                                                         


                  0<Es<1                                           Es=0

     Относительно неэластич-               Жесткое предложение

     ное предложение   

Рис. 3.5 Графики эластичности предложения

Различают пять вариантов эластичности предложения (см. Рис. 3.5). Для понимания функции предложения важное значение имеет фактор времени. Обычно различают ряд периодов:

ð  кратчайший (все факторы постоянны);

ð  краткосрочный (отдельные факторы переменны);

ð  долгосрочный (все факторы переменны).

Эта периодизация была предложена А. Маршаллом для анализа пред­ложения. Рассматривая категорию спроса и предложения, можно заме­тить, что спрос более подвижен во времени, чем предложение. Это вы­звано тем, что спрос в большинстве случаев сразу сокращается при суще­ственном повышении цен. Напротив, рост цены является лишь первым сигналом для производителей расширить мощности, вовлечь в производ­ство дополнительные ресурсы и на этой основе увеличить предложение товара.

На рынке конкретное соотношение спроса и предложения зависит от размеров запасов товаров, динамики цен на них и денежных доходов на­селения, организации торговли, рекламы и др. факторов. Оно может при­обретать три возможных варианта. Один из них характеризуется превы­шением предложения товара над спросом покупателей. Такой случай мо­жет быть результатом не только излишнего производства товара, но и непомерного вздувания цен на товары невысокого качества, дефицита денег у населения и других обстоятельств.

Второй вариант отличается от первого превышением спроса над пред­ложением товара. В этом случае имеет место неудовлетворенный спрос, товарный дефицит. Рынок реагирует на дефицит прямым или скрытым ростом цен. Выходом из этой ситуации могут быть увеличение производ­ства товаров, пользующихся спросом, повышение цен и уменьшение ро­ста денежных доходов населения.

Третий вариант соотношения спроса и предложения характеризуется соответствием между величиной и структурой спроса на товары, с одной стороны, и величины и структуры их предложения с другой, равновесием спроса и предложения.

РЫНОЧНОЕ РАВНОВЕСИЕ

В условиях рыночной экономики конкурентные силы способствуют синхронизации цен спроса и цен предложения, что приводит к выравни­ванию объемов спроса и предложения. Эта цена представляет собой ве­личину, которая является обязательной для всех продавцов и покупате­лей.

Рассмотренные нами, в предыдущих параграфах функции спроса и предложения позволяют сделать вывод, что кривые спроса и предложения зеркально похожи друг на друга (см. Рис. 3.6).

Равновесная цена (Pg) — цена, уравновешивающая функцию спроса и функцию предложения, в результате действия конкурентных сил.

Однако, равновесие может быть нарушено в силу действия определен­ных факторов. В этих случаях реальная цена будет отличаться от равно­весной цены.

Различают устойчивое равновесие и неустойчивое равновесие.

Равновесие называется устойчивым, если отклонение от него сопро­вождается возвращением к первоначальному состоянию. В противном случае имеет место, неустойчивое равновесие.

Рис. 3.6. График рыночного равновесия

Рассмотрим сначала устойчивое равновесие. Существуют два основных подхода к анализу поведения покупателей и продавцов: гипотезы Вальраса-Хикса и гипотеза А. Маршалла.

Гипотеза Вальраса-Хикса

В тех случаях, когда преобладает спрос, покупатели стремятся уве­личить закупки, и цена растет. В этих условиях рынок стабилизируется, если рост цены сокращает избыточный спрос. И обратно: если спрос меньше предложения, то продавцы стремятся снизить свои цены и избы­ток предложения исчезает. Все зависит от соответствующего наклона кривых спроса и предложения.

                                   а)                                                  б)                                              в)

Рис. 3.7  Перемещение кривой спроса

На графике (рис. 3.7) кривая спроса перемещается от DD’ к положе­нию D1D1’. При цене P1 спрос будет избыточным — P1M. P2 станет но­вой ценой, ведущей к равновесию. Процесс адаптации на рынке вызовет одновременно рост цен и увеличение количества товара. Это положение устойчивого равновесия. Как видно на рисунке, кривая предложения имеет позитивный наклон. Однако у кривой предложения возможны ва­рианты негативного наклона.

На Рис. 6.7,б кривая спроса перемещается из положения DD’ к поло­жению D1D1’. Количество запрашиваемого товара по старой цене P1 рав­но OQ2, в то время как предлагаемое количество равно OQ1. Избыток спроса составляет Q1Q2.

Новая цена (равновесная), будет равна Р2, что ниже, чем P1. Как видно из рисунка, избыток спроса не ликвидируется. Линии, отражающие состояние цен и объемы товара, перемещаются в сторону от этой точки. Возникает положение неустойчивого равновесия.

На Рис 3.7, в кривая спроса перемещается из положения DD’ к поло­жению D1D1’. В этом случае при пене P1 сохраняется избыток спроса Q1Q2. В соответствие с гипотезой Вальраса-Хикса цена начнет повышать­ся. Новой точкой пересечения кривых спроса и предложения будет P2. Эта цена станет ценой стабильного равновесия.

Гипотеза Амфреда Маршалла

В том случае, когда цена, по которой покупатели готовы заплатить за данное количество товара, выше цены, приемлемой для продавца, произ­водство расширяется, и наоборот. Равновесие будет устойчивым, если увеличение объема выпускаемой продукции сокращает разрыв между те­ми и другими ценами.

Рассмотрим изменение наклона кривой спроса и кривой предложения.

Перемещение кривой спроса вправо (от DD’ к D1D1) вызовет уве­личение выпуска продукции, если наклон кривой предложения будет по­зитивным (Рис. 3.7,а). При избыточной цене спроса P1N рост производ­ства выразится в перемещении от OQ1 к OQ2. В данном случае на лицо устойчивое равновесие.

Динамичный анализ стабильности учитывает развитие процесса адап­тации спроса и предложения на рынке от одного периода к другому. Рав­новесие будет стабильным в том случае, если с течением времени ры­ночная цена будет приближаться к цене равновесия (гипотеза Вальраса-Хикса) или количество товара будет приближаться к количеству равновесия (гипотеза А. Маршалла).

Выше были рассмотрены проблемы рыночного равновесия в тех случаях, когда происходят относительные изменения величины спроса и предложения. Рассмотрим ситуацию, с точки зрения временных характе­ристик. Таким примером является паутинообразная модель (Рис. 3.8).

Теория паутины обращена к ситуациям, когда проходит известный срок между изменением цены и связанными с этим переменами в мас­штабах производства.

Возможно несколько вариантов:

1. Наклон кривой предложения такой же, как и наклон кривой спроса.


                          а)                                                б)                                           в)

Рис. 3.8 Графики паутинообразной модели

На Рис. 3.8,а — DD’ показывает цены, по которым реализовывались в течение периода t1 различные количества товаров. ОО’ показывает ко­личество товара, имевшееся в периоде t1 и продававшееся по различным ценам в течение периода t1. DD’ — кривая, показывающая движение цен. ОО’ — кривая, показывающая изменения в объеме выпускаемой продук­ции.

В периоде t1 предлагалось количество товара OQ1 по сравнительно низкой цене P1.

Эта низкая цена стимулирует производство в периоде t2 сравнительно небольшого количества товара, которому впоследствии соответствует цена Р2, более высокая, чем P1

                          Годы                                        Годы                                    Годы


            а) Равномерные колебания   б) Расширяющиеся коле-   в) Затухающие колебания           

                                цен                           бания цен                                       цен

Рис. 3.9  Графики колебания цен относительно цены равновесия

Цена P2 побуждает производить больше товаров О3, которым соответ­ствует уже более низкая цена Р3. Данный процесс повторяется от одного периода к другому. Производство и цены проходят через стадии О2Р2О3Р3. Такая ситуация характеризует случай — равновесие никогда не будет достигнуто. Происходят постоянные колебания цен относительно цены равновесия (Рис 3.9, а).

2. Наклон кривой предложения круче кривой спроса.

Рис. 3.8, б показывает, что в этих условиях положение становится все более нестабильным, цена опускается настолько низко, что производство прекращается или не растет.

Происходят расширяющиеся колебания цен: от одного периода к другому цены все более удаляются от цены равновесия (Рис 3.9, б).

3. Наклон кривой предложения меньше наклона кривой спроса.

В этом случае, как показано на Рис. 3.8, в, и объем производства, и цена все более приближаются к уровню равновесия. Происходит сужаю­щееся колебание цен (Рис 3.9, в).

Паутинообразная модель может с достаточной степенью точности применяться лишь к определенной продукции, так как не учитывает ряд важных факторов (например, влияние климатических условий, изменение спроса потребителей и т.д.). Однако, она обладает достоинством, так как показывает зависимость функционирования рынка от времени реакции в сфере предложения и формы кривой предложения и спроса.

3. РЫНОК ТРУДА

Рынок труда - это рынок ресурсов труда как товара, равновесная цена и количество которого определяются взаимодействием спроса и предложения. Это такая экономическая среда или пространство, на котором в результате конкуренции между экономическими агентами (предприниматели и трудоспособное население) через механизм спроса и предложения устанавливается определенный объем занятости и уровень оплаты труда.

Использование рабочей силы осу­ществлялось за то или иное вознаграждение, плату в нату­ральной или денежной форме. Совокупность товарно-денежных отношений, охваты­вающая спрос и предложение рабочей силы, ее найм, (рас­пределение работников по видам деятельности) и обмен на жизненные средства представляет собой рынок рабочей силы. Вознаграждается не потенци­альная, а функционирующая рабочая сила; не вся сово­купность способностей, а только первичные, професси­ональные востребованные способности к труду. Это и есть рынок функционирующей рабо­чей силы.

Рынка труда определяется разными признаками. Рассмотрим его исходя из критерия миниму­ма числа компонентов, необходимых для возникновения и начала функционирования современного цивилизованно­го рынка труда в широком смысле.

По указанному критерию можно выделить следующие компоненты:

1)    субъекты рынка труда;

2) экономические программы, решения и юридические нормы, принятые субъектами;

3)  рыночный механизм (спрос и предложение рабочей силы, цена рабочей силы, конкуренция);

4)    безработица и социальные выплаты, связанные с ней;

5)    рыночная инфраструктура.

 Первый компонент - субъекты рынка труда — это наемные работники (и их объединения - профсоюзы), работодатели (предпринима­тели) и их союзы, государство и его органы - абсо­лютное большинство занятых (около 90%).

Рабочие - наибольшая часть наем­ных работников. Они составляют более 60% численности всех наемных работников. Мужчин в этой группы больше, чем женщин. Второе место по численности занимают специали­сты. Среди специалистов большой удельный вес занимают жен­щины. Более стабильна третья группа — наемные руково­дители. Сре­ди мужчин доля руководителей выше, чем среди женщин. И незначительной является четвертая группа — другие слу­жащие.

Работодатель — это индивидуум, работающий самосто­ятельно, и постоянно нанимающий на работу одного и более человек.

Государство как субъект рыночных отношений представ­лено федеральными, региональными органами власти, от­раслевыми органами управления и местным самоуправле­нием. В качестве субъекта оно выполняет следующие функции:

— социально-экономические, связанные с обеспечени­ем полной занятости путем стимулирования создания ра­бочих мест во всех секторах экономики;

— законодательные, связанные разработкой основных юридических норм и правил;

— регулирования рынка труда косвенными методами;

— защиты прав всех субъектов рынка труда;

— ролевые (функции работодателя на государственных предприятиях).

Второй компонент — юридические нормы и экономичес­кие программы. Для нормального функционирования рын­ка необходимы законодательные акты, нормы, правила, которые бы регулировали взаимоотношения между субъектами рынка, четко определяли их права, создава­ли равные возможности для реализации способностей к труду всех участников рыночных отношений, предусмат­ривали социальное страхование на случай потери рабо­ты и т.д. Такие нормы предусмотрены в Конституции Российской Федерации, в Законе «О занятости населе­ния Российской Федерации», других законах. Законодательные нормы и экономические программы создают основу для более полного и цивилизованного дей­ствия третьего компонента рыночного механизма, т.е. взаи­мосвязи и взаимодействия спроса и предложения как ре­акции на информацию рыночной цены труда и конкуренцию.

Четвертый компонент современного рынка труда - безработица и социальные выплаты, связанные с ней. Действие рыночного механизма ведет к высвобождению части ра­ботников, к появлению безработицы. Чтобы поддержать высвобождаемый персонал в период отсутствия работы, создать условия для их переподготовки и повторное вовле­чение в трудовой процесс, законом о занятости населения предусматриваются выплаты пособий по безработице, ком­пенсаций при увольнении, при переезде к новому месту работы, выплаты стипендий во время учебы и др.

Пятый компонент - рыночная инфраструктура - это со­вокупность институтов содействия занятости, профориен­тации, профподготовки и переподготовки кадров; сеть фондов, центров занятости (бирж труда), центров подго­товки и переподготовки рабочей силы и т.д.

В конечном счете, взаимодействие всех компонен­тов нацелено на создание и поддержание баланса интере­сов всех субъектов рынка труда.

Рынок труда в России окончательно в развитом виде не сформировался, но имеются все его основные компонен­ты. Поэтому можно утверждать, что рынок труда, хотя и несовершенный в России есть. О нем можно составить оп­ределенное представление по масштабам и структуре дви­жения рабочей силы в экономике.

В 2001 г. по данным Госкомстата РФ по указанно­му признаку безработные распределялись следующим образом (в %).

Безработные — всего                                                   100

в том числе имеют опыт работы                                 86,5

из них оставили прежнее место работы:

в связи с высвобождением, ликвидацией пред-        34,4

приятия или собственного дела

по собственному желанию                                          30,4

ранее не имели работы                                                 13,5

В результате действия механизма спроса и предложения рынок труда выполняет следующие функции:

·     регулирование спроса и предложения труда; обеспе­чение встречи между продавцами рабочей силы и покупа­телями (работодателями) для заключения договоров в це­лях соединения рабочей силы со средствами производства (капиталом);

·     обеспечение конкуренции между работниками за ра­бочее место, а между работодателями за наем рабочей силы;

·     установление равновесной (доминирующей) цены;

·     содействие полной, но экономически эффективной занятости.

Одной из главных особенностей рынка труда является заработная плата. Заработная плата образует большую часть доходов потре­бителей и поэтому оказывает существенное влияние на размер спроса на потребительские товары и на их цены.

Современная экономическая теория определяет заработ­ную плату как цену труда.

В узком смысле слова под заработной платой понимается ставка заработной платы, т. е. цена, выплачиваемая за использование единицы труда в течение определенного времени. Различают номинальную и реальную заработную плату.

Под номинальной заработной платой понимается сумма денег, которую получает работник наемного труда за свой дневной, недельный, месячный труд. По величине номинальной заработной платы можно судить об уровне зара­ботка, дохода, но не об уровне потребления и благососто­яния человека. Для этого надо знать, какова реальная заработная плата. Реальная заработная плата — эта та масса жизненных благ и услуг, которые можно приобрести за полученные деньги. Она находится в прямой зависимости от номинальной зарплаты и в обратной — от уровня цен на предметы потребления и платные услуги. Спрос на труд находится в обратной зависимости от величины заработной платы.

Если предложение труда превышает спрос на него вследствие установления заработной платы выше равновесного уровня, появляются безработные, го­товые предложить свой труд по более низкой цене, на которую вынуждены согласиться и те, кто занят в произ­водстве, чтобы не потерять свои рабочие места. Предпри­ниматели готовы занять большее количество труда, но при условии снижения заработной платы. Таким образом, тен­денция к снижению заработной платы складывается как в сфере предложения труда, так и в сфере спроса на труд. В том же случае, когда спрос на труд превышает его предложение из-за снижения заработной платы по сравне­нию с ее равновесным значением, наблюдается иная кар­тина. Работодатели, чтобы заполнить пустующие рабочие места, готовы повысить заработную плату. Благодаря тако­му повышению расширяется круг работников, готовых при более высокой заработной плате предложить свой труд. Как в первом, так и во втором случаях равновесие на рынке труда восстанавливается, и этот рынок приходит в состояние полной занятости.

Размер заработной платы зависит от качества труда, квалификации и профессиональной подготовки; напри­мер, наиболее высокие заработки у таких специалистов, как врачи, преподаватели, гористы: их труд требует боль­ших затрат на обучение, и заработная плата должна ком­пенсировать эти затраты. Различные виды работ могут быть более или, например, менее привлекательными для чело­века — значит заработная плата должна стимулировать выполнение менее приятных (грязных, тяжелых), но необ­ходимых для общества работ.

Дифференциация в размерах заработной платы — явление объективное, поскольку расширяется профессиональ­ный состав работников и миграция между группами лиц разных профессий не может быть абсолютно беспрепятст­венной.

Наличие  устойчивой безработицы может свидетель­ствовать лишь об одном - о том, что на рынке труда присутствуют внеконкурентные факторы, которые способствуют устойчивости отклонения заработной платы вверх от ее равновесного значения, при этом часть трудящихся оказывается в положении безра­ботных.

Внеконкурентные факторы – это: прежде всего, государство, активно регулирующее рынок труда, законодательно лишая заработную плату ры­ночной гибкости. Государство в различных странах уста­навливает минимально гарантированный уровень заработ­ной платы, индексацию доходов; тормозящее влияние на колебание цены труда оказывают в ряде случаев и другие направления социальной политики государства; профсоюзы, содействующие длительному и устой­чивому отклонению рынка труда от состояния полной занятости.

Безработица

Безработица является следствием нарастания экономической нестабильности, которая углубляет спад про­изводства. Она связана с ухудшени­ем уровня жизни и самих безработных, и работающих, ибо избыток предложения рабочей силы становится благоприятным фоном для уменьшения цены труда. Со­здается и реальная угроза социальных конфликтов, что еще больше снижает сти­мулы деловой активности.

Безработицу можно рассматривать в двух разных аспектах: 1)как благо или 2) как потери для общества.

1) Безработица представляет собой резерв незанятой рабочей силы, который можно задействовать при последующем расширении производства или при структурных перестройках. Наличие безработицы ограничивает агрессию профсоюзов и их требова­ния повышения заработной платы и тем самым усиливает стимулы предпринима­тельской деятельности. Боязнь потерять работу и влиться в число высвободившихся из сферы произ­водства является самым лучшим организатором дисциплины труда и, кроме того, создает условия для поддержания необходимого качества затрат труда.

2) При безработице недоиспользуется экономический потенциал об­щества. При продолжительной безработице теряется квалификация высвобо­дившихся работников. Рост безработицы, как показала медицина, подрывает психическое здоровье нации. Рост безработицы служит фактором роста преступности.

Виды безработицы: фрикционная, структурная, институциональная, циклическая, добровольная.

Фрикционная безработица отражает текучесть кадров, связанную с пере­меной рабочих мест, места жительства. Среди совокупной рабочей силы какая-то часть постоянно находится в движении, перемещаясь на новые рабочие места. В период внедрения новых достижений технического прогресса такое движение ра­бочей силы становится не только неизбежным, но и более интенсивным.

Структурная безработица по существу является углублением фрикционной безработицы. Когда в стране происходят глобальные структурные перестройки, ме­няется взаимосвязь между отраслями, естественно, усиливается текучесть рабочей си­лы, ибо создаются новые пропорции в межотраслевом распределении рабочих мест.

Институциональная безработица возникает, когда сама организация рынка труда недостаточно эффективна. Допустим, неполна информация о вакант­ных рабочих местах. Уровень безработицы был бы ниже при налаженной работе системы информации. В этом же направлении действуют завышенное пособие по безработице или заниженные налоги на доходы. Возрастает продолжительность безработицы, т.к. гасятся стимулы для энергичных поисков работы.

Циклическую безработицу вызывает спад производства во время промыш­ленного кризиса и депрессии. С переходом к оживлению и подъему безработных обычно становится меньше.

Добровольная безработица. В любом обществе существует прослойка людей, которые по своему психическому складу или по иным причинам не хо­тят работать. У нас хорошо знают, что усилия по принудительному трудоуст­ройству так называемых бомжей не привели к переориентации этой категории населения.

Таким образом, безработица является характерной чертой рыночной эконо­мики. Полная занятость — нонсенс, не совместимый с идеей развитого рыночно­го хозяйства. Но безработица должна быть поставлена в определенные рамки, в пределах которых достигается режим эффективного роста и состояние экономи­ческой стабильности.

Методы борьбы с безработицей определяет концепция, которой руковод­ствуется правительство конкретной страны.

Современные мальтузианцы предлагают поддерживать стабильность на рынке труда с помощью государственной политики ограничения рождаемости.

А. Пигу и его последователи, считающие, что корень зла — в высокой заработ­ной плате, предлагают:

—   содействовать снижению заработной платы;

—   разъяснять профсоюзам, что рост заработной платы, которого они добива­ются, оборачивается ростом безработицы;

—   государству трудоустраивать работников, претендующих на невысокий до­ход, в частности поощрять развитие социальной сферы.

Из рекомендаций Пигу широко применяется деление ставки заработной пла­ты и рабочего времени между несколькими работниками. Использование частич­ного рабочего дня сокращает безработицу даже при сохранении неблагоприят­ной конъюнктуры.

Кейнсианские программы борьбы с безработицей предполагают использо­вание двух блоков мероприятий. Первый блок нацелен на ослабление безработицы в краткосрочном периоде, когда положительные сдвиги в экономи­ке еще не ощущаются. Его содержанием становятся общественные работы, кото­рые должно организовать и оплатить государство за счет своего бюджета. Реко­мендуется сосредоточить эти работы в области формирования производственной и социальной инфраструктуры (строительство дорог, больниц и т.д.). Второй блок охватывает систему стратегических мер, способных оживить конъюнктуру рынка, сформировать инвестиции и как следствие — потре­бительский спрос, что должно увеличить товарную массу и занятость населения. Этот блок включает два рычага: государственный заказ крупным фирмам и умень­шение учетной ставки за счет увеличения государственных расходов (возможно, и при росте дефицитного бюджетного финансирования). Предполагается осуще­ствить государственный заказ крупным фирмам, имеющим большую сеть хозяйст­венных связей. Такой заказ значительно расширит поле инвестиционной деятель­ности поставщикам и смежникам. Приводится в действие не одна фирма, получив­шая государственный заказ, а целая их сеть, что, безусловно, увеличивает спрос на рабочую силу и соответственно рассасывает безработицу.

Индикаторы труда в России в 1992—1999 гг.

Показатели 1992 г. 1995 г. 1997 г. 1999 г.

1. Численность занятых в

экономике, млн. чел.

72,1 67,1 85,8 83,7

2. Среднемесячная

заработная плата, руб.

6000 430 599,3 975,7

3. Численность

безработных (по

методике МОТ), млн. чел.

3,7 5,7 7,9 9,0

Показатели

2000 г. 2005 г.
1 . Трудовые ресурсы 88,2 91
2. Экономически активное население 75,8 78,5
3. Запятые в экономике 68,3 70,5
4. Учащиеся 5,6 5,8
5. Запятые в домашнем хозяйстве, военнослужащие и служители религиозного культа 7 7,2
6. Незанятые трудовой деятельностью и учебой 7,5 8
В том числе имеющие статус безработного 3 3,2
7. Удельный вес незанятых в численности экономически активного населения, % 9,9 10,2
В том числе имеющие статус безработного 4 4

Сегодня Россия переживает спад производства. Объемы производства сокращаются в результате структурных изменений. Казалось бы, спад производства должен сопровождаться ростом зарегистрированной безработицы и адекватным перераспределением рабочей силы по отраслям. Однако ожидаемые процессы не происходят.

Предприятия, находящиеся в кризисных условиях, пытаются лавировать и сохранить свой коллектив. Практикуется система длительных административных отпусков и частичная занятость (работа в течение неполного рабочего времени). Фактически сформировалась скрытая безработица. Масштабы ее возрастают по мере свертывания производства.

Следует иметь в виду, что квалифицированные работники с таких предприя­тий уходят, что ведет к снижению квалификационного уровня производственных коллективов. В связи с этим курс реформ встает перед проблемой цены, которую общество за них платит. А она говорит о себе сразу же, ибо первые шаги перехо­да к рынку значительно снизили уровень потребления населения. Продвижение в направлении реформ ставит и другую проблему сопоставления: во что обходится поддержка неэффективных рабочих мест и сколько стоит открытая безработица по сравнению с финансированием содержания безработных, их переобучения и содействия в трудоустройстве.

ЗАКЛЮЧЕНИЕ

Формирование рыночной экономики — сложный, противоречивый процесс. Рыночная экономика может разрушительно воздействовать на общественные структуры (вспомним мировой кризис 30-х годов XX в.), и тогда необходимо вмешательство государства. Чрезмерное же огосударствление экономики вызы­вает обратную тенденцию, характерную для преобразования современного рос­сийского общества.

Рынок как социальная форма организации экономики, с одной стороны, вызывает в человеке активность (предприимчивость), а с другой — порождает социальное расслоение населения, безработицу, не всегда управляемый рост цен. Вот почему крайне необходимы культура экономики, культура рынка и соответствующее развитие их субъектов. Поэтому программа экономических ре­форм в России должна учитывать эти моменты и отражать определенную логику и следующие элитные задачи формирования рыночной экономики в России:

1) разгосударствление экономики, приватизация, развитие предпринима­тельства; поиск и использование резервов и возможностей;

2) формирование рынка и его инфраструктуры, установление хозяйствен­ных связей рыночного типа и становление новых мотивационных механизмов развития предпринимательства;

3) демонополизация экономики и устранение организационных структур, сложившихся в рамках административно-командной системы и препятствую­щих развитию рынка;

4) постепенное ограничение государственного контроля над ценами, пере­ход к свободному ценообразованию;

5) осуществление жесткой кредитно-денежной и финансовой политики, направленной на ограничение денежной массы в обращении;

6) создание сильной системы социальных гарантий и поддержки населения, облегчающей людям адаптацию к условиям рыночной экономики;

7) осуществление активной структурно-инвестиционной политики, которая, опираясь преимущественно на экономические методы, обеспечила бы необхо­димые структурные сдвиги в народном хозяйстве в направлении социальной переориентации.

Таким образом, экономические реформы в России должны быть «настрое­ны» на человека, на удовлетворение его потребностей, развитие его личности.


Список литературы


  1. Общая экономическая теория. Баликов В.З. - Новосибирск 1998 г.
  2. Основы экономической теории. Борисов Е.Ф., Волков Ф.М. 1999 г.
  3. Основы современной экономики: учебник для вузов. – 2-е издание перераб. И дополненное. М., 2000 г. - Козырев В.М.
  4. Теоретическая экономика. Политэкономия. Под. ред. Г.П. Журавлёвой и Н.Н. Мильчаковой. – М., 1997 г.
  5. Основы учений об экономике. Зайдель Х., Геммен Р., - М., 1997
  6. Экономическая теория: учебное пособие. Борисов Е.Ф. – М., 1999 г.
  7. Рыночная система и её функционирование. Макконелл К.Р., Брю С.Л.
  8. Микроэкономика.  Рубенфельд Д. и Пендайк Р., М., -1993
  9. Рынок – микроэкономическая модель. – С.П. 1998. Долан Э.Д., Линдсей Д.Е.
  10. Экономика труда. Рощин С.Ю., Разумова Г.О.
  11. Экономика: учебник. Под ред. доц. А.С. Булатова. М., -1996

Журналы:

  1. Вопросы статистики № 2,6,7, Основные социально-экономические показатели, 2001г., с.77-79
  2. Экономист № 4, Р. Сейтмуратов, И. Юлдашев,Стимулирование производительности труда, 2001г., с.55
  3. Управление персоналом № 12, Е.Комаров ,Человек и труд и его заработная плата, 2000г., с.33
  4. МЭИМО № 7, Вишневская Н., Проблемы и перспективы рынка рабочей силы, 2000г., с. 20


 
© 2012 Рефераты, доклады, дипломные и курсовые работы.