реферат
Главная

Рефераты по биологии

Рефераты по экономике

Рефераты по москвоведению

Рефераты по экологии

Краткое содержание произведений

Рефераты по физкультуре и спорту

Топики по английскому языку

Рефераты по математике

Рефераты по музыке

Остальные рефераты

Рефераты по авиации и космонавтике

Рефераты по административному праву

Рефераты по безопасности жизнедеятельности

Рефераты по арбитражному процессу

Рефераты по архитектуре

Рефераты по астрономии

Рефераты по банковскому делу

Рефераты по биржевому делу

Рефераты по ботанике и сельскому хозяйству

Рефераты по бухгалтерскому учету и аудиту

Рефераты по валютным отношениям

Рефераты по ветеринарии

Рефераты для военной кафедры

Рефераты по географии

Рефераты по геодезии

Рефераты по геологии

Реферат: Прогнозирование макроэкономических переменных с помощью дублирующих портфелей

Реферат: Прогнозирование макроэкономических переменных с помощью дублирующих портфелей

Государственный университет Высшая Школа Экономики

Курсовая работа

на тему:

«Прогнозирование макроэкономических переменных
с помощью дублирующих портфелей»

Выполнила Величко Оксана
группа 612

Москва 2003

СОДЕРЖАНИЕ

ВВЕДЕНИЕ......................................................................................................................................... 3

1 ПРОГНОЗИРОВАНИЕ В ЭКОНОМИКЕ.................................................................................... 4

1.1 Макроэкономические модели в прогнозировании................................................................ 4

1.2 Этапы экономико-математического моделирования............................................................ 5

1.3 Построение прогнозной модели.............................................................................................. 7

2 ДУБЛИРУЮЩИЕ ПОРТФЕЛИ................................................................................................... 12

2.1 Понятие дублирующего портфеля......................................................................................... 12

2.2 Простые дублирующие портфели......................................................................................... 13

2.3 Дублирующие портфели для непредвиденных изменений................................................ 14

3 ОБЗОР ПОДХОДОВ В ИССЛЕДОВАНИИ ДИНАМИКИ ДОХОДНОСТИ........................ 17

3.1 Использование текущих значений показателей.................................................................. 17

3.2 Использование будущих макроэкономических переменных............................................. 17

3.3 Применение векторной авторегрессии................................................................................. 18

4 ХАРАКТЕРИСТИКА И ОТБОР ФАКТОРОВ В МОДЕЛЬ...................................................... 19

4.1 Отбор факторов для построения дублирующего портфеля................................................ 19

4.2 Применение кластерного анализа......................................................................................... 23

5 ИНФОРМАЦИОННОЕ ОБЕСПЕЧЕНИЕ РАЗРАБОТКИ ПРОГНОЗА................................. 25

6 ПРОВЕРКА АДЕКВАТНОСТИ ПОЛУЧЕННЫХ РЕЗУЛЬТАТОВ........................................ 26

ЗАКЛЮЧЕНИЕ................................................................................................................................. 28

СПИСОК ЛИТЕРАТУРЫ................................................................................................................ 29


ВВЕДЕНИЕ

В экономике основой практически любой деятельности является прогноз. Уже на основе прогноза составляется план действий и мероприятий. Таким образом, можно сказать, что прогноз макроэкономических переменных является основополагающей составляющей планов всех субъектов экономической деятельности.

Прогнозирование может осуществляться как на основе качественных (экспертных), так и с помощью количественных методов. Последние сами по себе могут ничего без качественного анализа, также как и экспертные оценки должны подкрепляться обоснованными расчетами.

В данной работе я сосредоточилась на одном из количественных методов прогнозирования – дублирующем портфеле. Само по себе построение такого портфеля не дает еще информации о будущем, но при построении дублирующего портфеля для будущих переменных позволяет выявить некую закономерность движения доходности активов и прогнозируемых макроэкономических переменных.

Дублирующий портфель – это портфель, доходность которого коррелирует с какой либо переменной. К примеру, такой портфель может дублировать экономическую переменную. Доходности за месяц акций и облигаций применяются для прогнозирования объема производства, валового дохода, инфляции, доходностей акций и облигаций. Эта прогнозирующая взаимосвязь проясняет идею портфелей, которые отражают ожидания рынка на счет будущих значения экономических переменных. Использование доходности дублирующих портфелей в качестве инструмента прогноза будущих значений экономических переменных существенно увеличивает оценочной чувствительность цен активов к новостям о значении в будущем данных переменных. Также данный вид портфелей используется при прогнозировании макроэкономических переменных и хеджировании экономического риска.


1 ПРОГНОЗИРОВАНИЕ В ЭКОНОМИКЕ

Прогнозирование – это способ научного предвидения, в котором используется как накопленный в прошлом опыт, так и текущие допущения насчет будущего с целью его определения. Основная функция прогноза – обоснование возможного состояния объекта в будущем или определение альтернативных путей. Выбор конкретного метода является одной из наиболее важных задач прогнозирования. Существует множество методов, позволяющих сделать прогноз, но необходимо выделить из их числа приемлемые для решения конкретной задачи.

В основе экономического прогнозирования лежит предположение о том, что будущее состояние экономики в значительной мере предопределяется ее прошлым и настоящим состояниями. Будущее несет в себе и элементы неопределенности. Это объясняется следующими моментами:

-     наличием не одного, а множества вариантов возможного развития;

-     действие экономических законов в будущем зависит не только от прошлого и настоящего состояний экономики, но и от управленческих решений, которые еще только должны быть приняты и реализованы;

-     неполнота степени познания экономических законов, дефицит и недостаточная надежность информации.

Под методами прогнозирования следует понимать совокупность приемов и способов мышления, позволяющих на основе ретроспективных данных внешних и внутренних связей объекта прогнозирования, а также их измерений в рамках рассматриваемого явления или процесса вывести суждения определенного и достоверного относительно будущего состояния и развития объекта.

1.1 Макроэкономические модели в прогнозировании.

Экономико-математические модели в прогнозировании широко используются при составлении социально-экономических прогнозов на макроэкономическом уровне. К таким моделям относятся:

-     однофакторные и многофакторные модели экономического роста;

-     модели распределения общественного продукта (ВВП, ВНП, НД);

-     структурные модели;

-     межотраслевые модели;

-     модели воспроизводства основных фондов;

-     модели движения инвестиционных потоков и др.

При использовании этих моделей необходимо учитывать воздействие факторного, лагового и структурного аспектов сбалансированности экономики и их синтеза на основе принципа оптимальности.

Факторный аспект сбалансированности экономики основывается на взаимосвязи между объемом выпуска продукции и затратами факторов производства. Он сводится к определению такой пропорции между факторами производства, которая позволяет обеспечить заданный выпуск продукции. Для определения таких количественных пропорций используются показатели эффективности затрат живого и овеществленного труда и объемы этих затрат.

Лаговый аспект сбалансированности основан на распределении во времени затрат факторов производства и достигаемого при их взаимодействии эффекта. Главные лаговые характеристики связаны с воспроизводством основных фондов, а значит и с затратами капитальных вложений. Лаг – это запаздывание, временной интервал между двумя взаимозависимыми экономическими явлениями, одно из которых является причиной, а второе – следствием.

Структурный аспект сбалансированности основывается на пропорциях между I и II подразделениями общественного производства и взаимосвязях межотраслевых потоков продукции с элементами конечного потребления.

Условно все существующие методы прогнозирования можно разбить на две большие группы:

-     фактографические, которые базируются на фактически имеющейся информации об объекте прогнозирования и его прошлом. Они условно подразделяются на статистические и аналоговые методы;

-     экспертные методы используют мнения специалистов-экспертов и применяются тогда, когда невозможно формализовать изучаемые процессы или имеет место неопределенность развития хозяйственной системы.

1.2 Этапы экономико-математического моделирования

В различных отраслях знаний, в том числе и в экономике, этапы процесса моделирования приобретают свои специфические черты.  Проанализируем последовательность и содержание этапов одного цикла построения:

1. Постановка экономической проблемы и ее качественный анализ. Главное здесь – четко сформулировать сущность проблемы, принимаемые допущения и те вопросы, на которые требуется получить ответы. Этот этап включает выделение важнейших черт и свойств моделируемого объекта и абстрагирование от второстепенных; изучение структуры объекта и основных зависимостей, связывающих его элементы; формулирование гипотез (хотя  бы предварительных), объясняющих поведение и развитие объекта.

2. Построение математической модели. Это – этап формализации экономической проблемы, выражения ее в виде конкретных математических зависимостей и отношений. Обычно сначала определяется основная конструкция (тип) математической модели, а затем уточняются детали этой конструкции (конкретный перечень переменных и параметров, форма связей). Таким образом, построение модели подразделяется в свою очередь на несколько стадий.

Неправильно полагать, что чем больше фактов учитывает модель, тем она лучше "работает" и дает лучшие результаты. То же можно сказать о таких характеристиках сложности модели, как используемые формы математических зависимостей (линейные и нелинейные), учет факторов случайности и неопределенности и т.д.

Излишняя сложность и громоздкость модели затрудняют процесс исследования. Нужно учитывать не только реальные возможности информационного и математического обеспечения, но и сопоставлять затраты на моделирование с получаемым эффектом (при возрастании сложности модели прирост затрат может превысить прирост эффекта).

3. Математический анализ модели. Целью этого этапа является выяснение общих свойств модели. Здесь применяются чисто математические приемы исследования. Наиболее важный момент – доказательство существования решений в сформулированной модели. Если удастся доказать, что математическая задача не имеет решения, то необходимость в последующей работе по первоначальному варианту  модели отпадает и следует скорректировать  либо постановку экономической задачи, либо способы ее математической формализации.

4. Подготовка исходной информации. Моделирование предъявляет жесткие требования к системе информации. В то же время реальные возможности получения информации ограничивают выбор моделей, предназначаемых для практического использования. При этом принимается во внимание не только принципиальная возможность подготовки информации (за определенные сроки), но и затраты на подготовку соответствующих информационных массивов.

5. Численное решение. Этот этап включает разработку алгоритмов для численного решения задачи и непосредственное проведение расчетов. Трудности этого этапа обусловлены, прежде всего, большой размерностью экономических задач, необходимостью обработки значительных массивов информации.

6. Анализ результатов и их применение. На этом заключительном этапе цикла встает вопрос о правильности и полноте результатов, о степени практической применимости последних.

Математические методы проверки могут выявлять некорректные построения модели и тем самым сужать класс потенциально правильных моделей. Неформальный анализ теоретических выводов и численных результатов, получаемых посредством модели, сопоставление их с имеющимися знаниями и фактами действительности также позволяют обнаруживать недостатки постановки экономической задачи, сконструированной математической модели.

1.3 Построение прогнозной модели

Экономико-математическая модель это система формализованных соотношений, описывающих основные взаимосвязи элементов, образующих экономическую систему. Система экономико-математических моделей эконометрического типа служит для описания относительно сложных процессов экономического или социального характера.

Определенные виды моделей экономического и социального прогнозирования могут классифицироваться в зависимости от критерия оптимизации или наилучшего ожидаемого результата.

С учетом фактора времени модели могут быть статическими, когда ограничения в модели установлены для определенного отрезка времени, или динамическими – в этом случае ограничения установлены для нескольких отрезков времени.

Различают факторные и структурные модели экономического типа. Один и тот же тип моделей может быть применим к различным экономическим объектам. В зависимости от уровня рассмотрения показателей народного хозяйства различают макроэкономические, межотраслевые, отраслевые и региональные модели.

Факторные модели описывают зависимость уровня и динамики того или иного показателя от уровня и динамики влияющих на него экономических показателей – аргументов или факторов. Факторные модели могут включать различное количество переменных величин и соответствующих им параметров. Простейшими видами факторных моделей являются однофакторные, в которых фактором является какой-либо временный параметр. Многофакторные модели позволяют одновременно учитывать воздействие нескольких факторов на уровень и динамику прогнозируемого показателя.

Обоснованность прогноза в значительной мере зависит от выбора метода прогнозирования. Практическое применение того или иного метода прогнозирования определяется такими факторами, как объект прогноза, сложность и структура системы, наличие исходной информации, квалификация прогнозиста.

Экстраполяционные методы являются одним из самых распространенных и наиболее разработанных среди всей совокупности методов прогнозирования. В общем случае для экстраполяции необходимо иметь временной ряд, где каждому значению независимой переменной (в качестве которой выступает время) соответствует определенное значение прогнозируемою показателя. При формировании прогнозов с помощью экстраполяции обычно исходят из статистически складывающихся тенденций изменения тех или иных количественных характеристик объекта.

Следует отметить, что, поскольку метод разработан для анализа временных рядов, состоящих из большого числа наблюдений, а временные ряды в отраслевом прогнозировании, как правило, невелики, прогноз, сделан­ный с помощью этого метода, может не отразить некоторых существенных изменений.

Прогнозную экстраполяцию можно разбить на два этапа.

Выбор оптимального вида функции, описывающей ретроспективный ряд данных. Выбору математической функции для описания тренда предшествует преобразование исходных данных с использованием сглаживания и аналитического выравнивания динамического ряда. Расчет коэффициентов функции, выбранной для экстраполяции.

При разработке моделей прогнозирования тренд оказывается основной составляющей прогнозируемого временного ряда, на которую уже накладываются другие составляющие. Результат при этом связывается исключительно с ходом времени. Предполагается, что через время можно выразить влияние всех основных факторов. В статистической литературе под тенденцией развития понимают некоторое его общее направление, долговременную эволюцию. Обычно тенденцию стремятся представить в виде более или менее гладкой траектории.

Для оценки коэффициентов чаще остальных используется метод наименьших квадратов (МНК). Его сущность состоит в минимизации суммы квадратических отклонений между наблюдаемыми величинами и соответствующими оценками (расчетными величинами), вычисленными по подобранному уравнению связи.

 (1.1)

где  – расчетные значения тренда;

y – фактические значения ретроспективного ряда;

n – число наблюдений.

Этот метод лучше других соответствует идее усреднения как единичного влияния учтенных факторов, так и общего влияния неучтенных.

Операцию экстраполяции в общем виде можно представить в виде определения значения функции

 (1.2)
где  - экстраполируемое значение уровня;

L – период упреждения;

- уровень, принятый за базу экстраполяции.

Экстраполяция на основе средней.

В самом простом случае при предположении о том, что средний уровень ряда не имеет тенденции и к изменению или если это изменение незначительно, можно принять  т. е. прогнозируемый уровень равен среднему значению уровней в прошлом. Доверительные границы для средней при небольшом числе наблюдений определяются следующим образом:   

 (1.3)
где ta – табличное значение t-статистики Стьюдента с n-1 степенями свободы и уровнем вероятности p;

 – средняя квадратическая ошибка средней.

Значение ее определяется по формуле . В свою очередь, среднее квадратическое отклонение S для выборки равно

 (1.4)

Доверительный интервал, полученный как , учитывает неопре­деленность, которая связана с оценкой средней величины. Общая дисперсия составит  величину . Таким образом, доверительные интервалы для прогностической оценки равны

  (1.5)

Недостаток рассмотренного подхода заключается в том, что доверительный интервал не связан с периодом упреждения.

Экстраполяция по скользящей и экспоненциальной средней.

Для краткосрочного прогнозирования наряду с другими приемами могут быть применены адаптивная или экспоненциальная скользящие средние. Если прогнозирование ведется на один шаг вперед, то  или , где Мi - адаптивная скользящая средняя; Qi - экспоненциальная средняя. Здесь доверительный интервал для скользящей средней можно определить аналогично тому, как это было сделано в формуле (1.5), в которой число наблюдений обозначено символом n. Поскольку при расчете скользящей средней через m обозначалось число членов ряда, участвующих в расчете средней, то заменим в этой формуле n на m. Так как m обычно берется равной нечетным числам, то подсчи­таем для них соответствующие значения величины . Что касается экспоненциального сглаживания, то, так как дисперсия экспо­ненциальной средней равна , где S2 - среднее квадратическое отклонение, вместо величины  в формуле, приведенной выше, при исчислении доверительного интервала прогноза следует взять величину  или . Здесь  — коэффициент экспоненциального сглаживания.

Корреляционный анализ используют для выявления и оценки связи между различными показателями. Степень тесноты связи оценивают коэффициентами, изменяющимися в пределах от 0 до 1, по следующей формуле:

  (1.6)

Малое значение коэффициента свидетельствует о слабой связи, значение, близкое к 1, характеризует очень сильную связь  и часто позволяет предположить наличие функциональной причинно-следственной связи. Затем проверяют значимость коэффициента корреляции по критерию Стьюдента tj,k:

 (1.7)
где k=n-2 – число степеней свободы.

При выполнении неравенства t*>yj,k гипотеза о не значимости коэффициента парной корреляции отвергается, т.е. yt зависит от фактора времени. Затем выбирают математическую модель взаимосвязи показателя от времени и рассчитывают критерии точности полученной модели.

 (1.8)

 (1.9)

 (1.10)
где – средняя относительная ошибка;

 – корреляционные отношения;

S2 – остаточная дисперсия;

– среднеквадратическое отклонение, рассчитанное по формуле:

 (1.11)
где p- количество расчетных коэффициентов уравнения тренда.

Затем делают расчет точечной и интервальной оценки прогноза:

 (1.12)

 (1.13)
где yn+1 – прогнозируемая величина.

С помощью этих методов экстраполируются количественные пара­метры больших систем, количественные характеристики экономического, научного, производственного потенциала, данные о результативности научно-технического прогресса, характеристики соотношения отдельных подсистем, блоков, элементов в системе показателей сложных систем и др .

Анализ показывает, что ни один из существующих методов не может дать достаточной точности прогнозов на 20—25 лет. Применяемый в прогнозировании метод экстраполяции не дает точных результатов на длительный срок прогноза, потому что данный метод исходит из прошлого и настоящего, и тем самым погрешность накапливается. Этот метод дает положительные результаты на ближайшую перспек­тиву прогнозирования тех или иных объектов — на 5—7 лет.

При экстраполяции часто используются линейные модели. Они требуют относительно небольшого количества вычислений и по тому, в частности, широко распространены в прак­тике прогнозирования. Их недостаток, заключающийся в том, что лишь немногие явления в экономике могут быть адекватно описаны в линейном виде, отчасти преодолевается с помощью кусочно-линейной аппроксимации.


2 ДУБЛИРУЮЩИЕ ПОРТФЕЛИ

2.1 Понятие дублирующего портфеля

Изменение доходности активов, помимо прочих вещей, отражает изменения информации об экономических условиях в будущем. Изучение влияния различных экономических шоков на цены активов важно также и потому, что это помогает выявить природу экономических колебаний, оценить премию за риск и предсказать экономические колебания в будущем. Звеном, связывающим цены активов с новостями о состоянии экономики, является «дублирующий портфель» (tracking portfolio). Данный портфель представляет собой портфель активов, доходности которых максимально коррелированны с такими экономическими переменными как ожидаемые объем производства, инфляция или доходность.

В прикладных финансах давно сформировался подход связывать текущие доходности одного актива с доходностью других. Второй подход состоит в попытке объяснить поведение доходностей с помощью текущих или будущих экономических переменных. Портфель, дублирующий экономические переменные, сочетает в себе оба эти подхода. С одной стороны, экономический дублирующий портфель отражает доходность активов. С другой стороны, данный портфель получает доходность, которая имеет экономическую интерпретацию. Формирование портфеля, дублирующего экономические переменные, является способом использования текущей доходности активов в качестве инструментов для измерения будущих переменных.

Дублирующие портфели применяются при решении нескольких вопросов. Одной из проблем является измерение премии за риск. Если дублирующий портфель приносит премию за риск, то тогда знак этой премии и тождество премии, сгенерированной экономическим параметром, могут указать на то, какие экономические параметры значимо влияют на ожидаемую доходность, и могут помочь оценить модель оценки финансовых активов.

Дублирующие портфели имеют как минимум еще три сферы применения, которые не основываются на портфелях, приносящих ненулевую премию за риск. Во-первых, эти портфели могут служить средством хеджирования для индивидуальных инвесторов, которые желают застраховать себя на случай какого-либо определенного экономического риска (например, снижение потребления). Во-вторых, на основе дублирующего портфеля можно строить прогноз поведения какой-либо экономической переменной. Т.к. доходности активов могут быть рассчитаны на каждый день, дублирующие портфели могут предоставить информацию по поводу ожиданий рынка на счет будущего экономики. В-третьих, путем измерения ожиданий, портфели следования выявляют структуру экономики и объясняют реакцию цен на новости, касающиеся экономической сферы.

Эти три сферы приложения дублирующих портфелей могут быть проверены на практике и не зависят от конкретной модели оценки активов. Например, если предположить, что CAPM-модель верна, то в этом случае дублирующий портфель имел бы ожидаемую доходность, имеющую тесную ковариацию с рынком. Но тогда неожидаемая часть доходности была бы все равно отражением новостей о будущем состоянии экономики. Напротив, если предположить, что рынок неэффективен, иррациональные настроения влияют на цены, и доходность частично предсказуема, то в этом случае до тех пор пока цены отражают информацию о будущем состоянии экономических детерминант, доходность дублирующего портфеля также будет применима для хеджирования, прогнозировании и понимания экономики.

2.2 Простые дублирующие портфели

Дублирующий портфель для любой переменной у может быть определен как регрессия у на доходности некоторого набора базовых активов. Доли активов, входящих в дублирующий портфель для у, идентичны коэффициентам в регрессии, построенной с помощью метода наименьших квадратов. Если у является переменной, влияющей на ценообразование базового актива, тогда мультифакторная модель выполняется с одним фактором, который отслеживает портфель, дублирующий переменную у. Однако, даже если у не является значимой переменной для ценообразования активов, то портфель, дублирующий эту переменную, также остается интересным объектом с экономической точки зрения, т.к. он отражает изменения рыночных ожиданий относительной у.

Следующие три утверждения эквивалентны определения дублирующего портфеля.  Среди всех возможных линейных комбинаций доходностей базовых активов дублирующий портфель имеет:

А) минимальную вариацию среди всех портфелей с заданной бетой (коэффициентом регрессии) в регрессии доходности портфеля на у;

Б) доходность, максимально возможно коррелирующую с у;

В) наибольший R2 в регрессии у на доходность активов.

Эквивалентность данных трех утверждений может быть доказана и с помощью матричной алгебры, и с помощью более простых выкладок. Обозначим:

r – доходность портфеля базовых активов, r = bR,

b – вектор весов активов в портфеле,

R – вектор доходностей данных активов.

Дублирующим портфелем является портфель с весами, которые минимизируют вариацию данного портфеля на у. Другими словами, b подбирается таким образом, чтобы минимизировать  при заданной  (где  - коэффициент регрессии  r на у). Т.к. , минимизация  эквивалентна минимизации , что эквивалентно максимизации  (где ρ – коэффициент корреляции между у и r). Т.к. R2 в простой регрессии является  и т.к. метод наименьших квадратов максимизирует R2 , решение данной задачи максимизации идентично уравнению регрессии, построенному с помощью МНК.

2.3 Дублирующие портфели для непредвиденных изменений

На основе данной теории можно сформировать портфель с непредвиденными доходностями, которыми максимально коррелируют с непредвиденным компонентом будущего значения переменной у. Таким образом, основной переменной являются «новости» о yt+k, где yt+k – макроэкономическая переменная, например темп инфляции в период t+k. Новости являются чем-то новым в ожиданиях относительно yt+k , причем . Например,  может представлять собой новости, о которых уведомлен рынок в июле 2002 года о темпе инфляции между июлем 2002 и июлем 2003 года.

 – доходность дублирующего портфеля, где  и  – доходности с конца периода t-1 до конца периода t. Дублирующий портфель формируется на основе непредвиденных доходностей базовых активов. Непредвиденная доходность – это действительная доходность за вычетом ожидаемой доходности с учетом того, что . Веса b в портфеле выбираются таким образом, что  максимально коррелирует с .

Оценивание дублирующих новости портфелей является немного более сложным процессом, чем оценивание простых дублирующих портфелей. Всегда можно написать проектное уравнение новостей на неожиданную составляющую доходности. Ключевым предположением является то, что изменения в доходностях отражают изменения в ожиданиях относительно значений переменных в будущем, т.е. ненулевое решение в уравнении:

, (2.1)
где ht – составляющая новостей, ортогональная неожиданному компоненту доходности.

Т.к. неожиданная составляющая доходности активов отражает новости по поводу будущего денежного потока и дисконтных ставок, вектор а будет ненулевым для любой переменной, коррелированной с будущими денежными потоками и дисконтными ставками.

Из уравнения (2.1) может показаться, что необходимо определить  для того, чтобы построить регрессию. К счастью, этого можно избежать, и все, что необходимо для оценивания регрессии, – это  (непредвиденный компонент доходности в период t).

Реализация переменной yt+k может быть переписана как сумма ожиданий в период t-1, непредвиденных изменений в ожиданиях в период t и с периода t до t+k.

 (2.2)

Здесь следует сделать второе предположение о том, что ожидаемые доходности базовых активов в период t являются линейной функцией от Zt-1 – вектора контрольных переменных, значения которых известны в период t-1:

 (2.3)

Т.к. предположение, содержащиеся в уравнении (2.3) является потенциальной причиной ошибки спецификации модели, можно ожидать, что эмпирические результаты применения данной ошибочной модели будут относительно грубы, т.к. доходности активов достаточно непредсказуемы на коротком горизонте прогнозирования.

Таким образом, для дальнейшего удобства определим проектное уравнение лагированных ожиданий у как лагирование контролируемые переменных:

 (2.4)

Объединяя уравнения (2.1) – (2.4), получаем:

 (2.5)
где b = a, c = f – ad и .

Уравнение (2.5) является уравнением регрессии с будущим значением у в левой части и доходностью в период t и значением контрольных переменных в период t-1 в правой. Это уравнение состоятельно, т.к. все три составляющие  по определению ортогональны как , так и .

МНК-регрессия, обозначенная уравнением (2.5), приводит к b – портфелю, непредвиденный компонент которого максимально коррелирует с . . В диссертации я предполагаю оценивать уравнение (2.5) и объяснить свойства получившихся дублирующих портфелей. Уравнение (2.5) практически не имеет теоретического смысла и зависит только от предположения, что изменения в ожиданиях на счет будущего значения у находят отражение в доходности активов, и то, что ожидаемая доходность активов является функцией лагированных контрольных переменных.

Здесь можно сделать несколько комментариев на счет практического применения уравнения (2.5). Во-первых, предполагается использование доходности портфеля с нулевыми издержками . Использование портфеля с нулевыми издержками означает, что нет необходимости накладывать ограничения на веса портфеля. Конечный дублирующий портфель является незатратным, т.к. является линейной комбинацией портфелей с нулевыми издержками.

Во-вторых, предполагается использовать в качестве базы доходности активов за месяц. Используя более длинные горизонты для базовых активов (к примеру, годовые доходности) следует быть более осторожным, т.к. с увеличением интервала повышается предсказуемость доходностей и оценки регрессии могут стать более чувствительными к отклонению от уравнения (2.3).

В-третьих, может показаться, что следует отобраться только такие базовые активы, доходности которых является наиболее информативными в плане объяснения ожиданий будущего значения у. Но в данном случае важным моментом является то, что различные активы имеют разные чувствительности к будущему значению у. Таким образом, регрессия должна являться линейной комбинацией доходностей активов, которые хеджируют общую составляющую вариации доходности, которая некоррелирована с будущим значением у.

В-четвертых, главной причиной выбора контролируемых переменных должна являться модель ожидаемой доходности, т.е.  должна включать переменные, которые прогнозируют доходность базовых активов. Если же доходности активов полностью непредсказуемы, или если  некоррелирована с , не следует включать вообще никаких контролируемых переменных. Вспомогательной ролью лагированной контролируемой переменной в уравнении (2.5) является помощь в объяснении будущего значения у. Включая в  переменные, коррелирующие с , можно уменьшить вариацию остатков в уравнении (2.5) и, таким образом, более точно оценить параметр b.

В-пятых, добавление переменных в  и  сопряжено с издержками, т.к. чем больше переменных включается, тем более остро встает проблема практического объяснения и ложных выводов.

3 ОБЗОР ПОДХОДОВ В ИССЛЕДОВАНИИ ДИНАМИКИ ДОХОДНОСТИ

Одним из применений дублирующих портфелей является хеджирование экономического риска существующих активов. Альтернативный подход – это создание абсолютно новых активов, соотносящихся с экономическими переменными. Экономические дублирующие портфели, использующие существующие ликвидные активы, облегчают данную задачу, т.к. дублирующие портфели помогают эмитентам новых ценных бумаг частично хеджировать себя от экономического риска.

Другим практическим применением экономических дублирующих портфелей является анализ взаимосвязи экономических переменных и цен активов. Исследования этого вопроса в экономике проходили по трем направлениям: с использованием текущих экономических параметров, с использованием будущих значений данных параметров и с использованием и тех и других в векторной авторегрессии.

3.1 Использование текущих значений показателей

Первый подход включает в себя доходности активов современные значения экономических параметров. Примером данного подхода является работа Chen, Roll and Ross (1986), в которой делается вывод, что ковариация с ростом промышленного производства, инфляции и доходности облигаций приводит к премии за риск.

К сожалению, попытки составить факторный портфель (factor mimicking portfolio) для макроэкономических показателей не увенчались успехом. Chan, Karceski и Lakonishok (1998) сконструировали портфели путем сортировки ценных бумаг по месячной текущей корреляции за пятилетний период. Они сформировали портфели, основанные на инфляции и промышленном производстве. После изучения доходности портфелей был сделан вывод, что макроэкономические факторы являются шумом и неразличимы со случайно генерируемыми портфелями.

3.2 Использование будущих макроэкономических переменных

Второй подход представляет собой исследование регрессии текущих доходностей активов на будущие значения экономических показателей. Примером данного подхода служат работы Fama (1981, 1990), где проводится оценка того, насколько сильно вариация доходности на какой-то тестовый актив  зависит от новостей о будущих экономических условиях.

Соотношение, которое данный подход исследует, следующее:

 (3.6)
где  также измеряет ожидаемую доходность тестируемого актива.

Ошибка  отражает доходность тестируемого актива, которая не связана с изменениями в ожиданиях относительно у.

Т.к.  неизмеримо, регрессия, которой действительно следует данный подход, – это замена реального значения переменной у в будущем в терминах новостей в уравнении (3.1):

 (3.2)

Используя уравнение (2.2), получаем . Т.к. vt коррелированна с регрессором в уравнении (3.2), оценивание данного уравнения приведет к ошибочным выводам о а1 и оценочным свойствам ut.

Применение экономического дублирующего портфеля в данном вопросе – это построение регрессии тестируемого актива на дублирующий портфель для новостей и отслеживаемой переменной для ожидаемой доходности. Т.е. экономический дублирующий портфель, являющийся аналогом уравнения (3.2), выглядит следующим образом:

 (3.3)
где b определяется из уравнения (2.5).

Очевидно и соотношение между этими двумя подходами: уравнение (3.3) является не чем иным как оцениванием уравнения (3.2) с использованием инструментальной переменной, где в качестве инструмента выступает .

В уравнении (2.5), хорошим инструментом является что-либо, одновременно коррелированное с  и некоррелированное с vt. Доходность дублирующего портфеля удовлетворяет первому критерию, т.к. коррелированна с исследуемым объектом. Частично также эта доходность удовлетворяет и второму критерию, т.к. она некоррелирована с . К сожалению, доходность дублирующего портфеля не является абсолютно подходящей инструментальной переменной, т.к. возможна корреляция с  .  может коррелировать с , потому что обе составляющие извлекаются из доходности активов и могут отражать общую вариацию доходности, которая некоррелирована с новостями о состоянии исследуемого объекта.

3.3 Применение векторной авторегрессии

Данное направление в исследовании факторов, влияющих на доходность активов представлено серией работ (на пример Campbell (1991), Cambell и Ammer (1993), Campbell и Mei (1993)). Как и в первом подходе, используются непредсказанные изменения в текущих значениях переменных для объяснения текущих доходностей активов. Аналогично второму подходу, данное направление сосредоточено на том, как изменения ожиданий будущих значений экономических параметров влияют на доходность. Качественно новым здесь является применение векторной авторегрессии (VAR) для оценивания изменения в прогнозируемых будущих переменных и использование оценок изменений в прогнозировании доходности активов.

Кэмпбелл для объяснения поведения доходности использует текущие значения различных экономических переменных. Он применяет как доходность прогнозируемых переменных, так и значения этих переменных (в качестве таких переменных взяты уровень инфляции, ставка процента, трудовой доход и будущая доходность); а затем тестирует являются ли непредвиденные изменения в данных переменных факторами доходности активов.

Процедура векторной авторегрессии для определения влияния факторов представляет собой специальную динамическую модель, включающую все переменные системы. Это требование приводит к потенциально возможной неправильной спецификации модели. В то время как применение дублирующих портфелей позволяет выбирать данные прямо из уравнения регрессии без необходимости обращения к полному описанию процесса, генерирующих временные ряды.

4 ХАРАКТЕРИСТИКА И ОТБОР ФАКТОРОВ В МОДЕЛЬ

4.1 Отбор факторов для построения дублирующего портфеля

Проблема выявления того, какие факторы наилучшим образом отражают систематическую часть ковариации доходностей, является центральной в применении мультифакторной модели ценообразования активов.

Популярность факторных моделей возросла вместе с развитием с индустрии инвестиций. Они широко применяются для оптимизации портфельного риска.

Центральным практическим вопросом является, какие факторы являются наиболее подходящими для объяснения общих изменений в доходностях. Одним из пунктов составления дублирующего портфеля для прогнозирования должно быть нахождение набора факторов, которые отражают систематическую компоненту ковариации доходности ценных бумаг. Это поможет использовать в данной модели только те факторы, которые действительно взаимосвязаны с доходностью рынка.

Каждый из рассматриваемых факторов – это доходность нулевой инвестиционной стратегии: длинная позиция, если актив имеет высокое значение параметра (на пример, рыночная капитализация), и короткая позиция при низком значении параметра. Варьируя данный параметр, можно отслеживать поведение различных факторов. Объяснение поведение доходности дублирующего портфеля помогает оценить и интерпретировать факторы, лежащие в основе этого портфеля. Если дублирующий портфель показывает большую волатильность доходности, то это связано с тем, что исследуемый фактор вносит свой вклад в общий компонент динамики доходности. Исследуя как доходность дублирующего портфеля изменяется в разных состояниях природы, можно делать выводы как фактор влияет на риск пи доходность портфеля. И, наконец, во многих случаях доходность портфеля напрямую связана со стилем инвестирования.

Факторы, которые лежат в основе общей динамики доходностей, обычно соотносятся с факторами, объясняющими поведение ожидаемой доходности. К тому же факторы могут и объяснять общую динамику доходности, но быть неценовыми. Хоти неценовые факторы не определяют среднюю доходность, они все-таки важны для инвесторов, желающих контролировать портфельный риск. Это предполагает, что постфактум для небольших объемов инвестиций не зарабатывается премия за риск.

Список факторов-кандидатов может быть достаточно большим, поэтому это требует процесса тщательного отбора. Одним из методов данного отбора является выявление принципиальных составляющих из данных и применение формальных статистических тестов для ранжирования значимости факторов. Это не является предпочтительным методом по нескольким причинам. В то время как эти факторы хорошо работают на конкретных примерах, при попытках применить данных выводы на общей основе возникают затруднения. Еще более важно причиной является то, что для этих статистических факторов нет экономической интерпретации. Следовательно, статистические факторы не могут широко применяться исследователями и инвесторами.

Напротив, можно сопоставить различные предполагаемые факторы в едином составе и выбрать наиболее значимые. Тут тоже есть свои подводные камни. Во многих случаях переменные достаточно сильно коррелированны между собой и это делает любой анализ их воздействия на исследуемый объект нереальным. Другой проблемой является возможность включения слишком большого количества факторов. Когда в модели используется много факторов, уловить динамику результирующей переменной проще не конкретном примере, но эти выводы нельзя распространиться на совокупность вообще.

Принимая к сведению выше изложенное, предпочтительным подходом является оценивание каждого фактора в отдельности. Если брать переменные по отдельности, фактор может оказаться незначимым, но возможно предположить, что он окажется значимым при оценивании этого фактора в совокупности с другими. К данному фактору следует отнестись с некоторой оговоркой, т.е. при проверке точности полученных результатов следует проверить также робастность многофакторной модели.

Факторы, влияющие на доходность ценных бумаг (акций), Chan, Karceski и Lakonishok (1998) разделили на 5 групп:

-        внутренние факторы компании (фундаментальные факторы);

-        прошлые доходности (технические факторы);

-        макроэкономические переменные (макроэкономические факторы);

-        факторы, извлекаемые из принципиальных компонент анализа (статистические факторы);

-        доходность рыночного индекса (рыночный фактор).

Эти авторы пришли к выводу, что макроэкономические факторы влияют только на среднюю динамику доходности. Но как было показано выше при конструировании дублирующих портфелей для новостей можно избежать некоторых ошибок спецификации и выявить влияние макроэкономических детерминант на рынок.

Chen, Roll и Ross (1986) в совей работе исследовали влияние только макроэкономических факторов на доходность активов. Применительно к американскому фондовому рынку были исследованы следующие факторы:

-        уровень промышленного производства IP(t), за месяц MP(t), за год YP(t):

 (4.1)

 (4.2)

-        уровень инфляции

 (4.3)
где I(t) – реализованное значение инфляции за месяц как разница в логарифмах индекса потребительских цен.

-        премия за риск

-        временная структура облигаций

-        рыночные индексы (доходность индексов)

-        потребление

-        цены на нефть

Применительно к российскому рынку данную структуру можно сохранить неизменной, за исключением соответственно того, что в качестве государственных ценных бумаг будут рассматриваться ГКО, ОФЗ и Еврооблигации. Еврооблигации на российском рынке можно также рассматривать как безрисковый инструмент, т.к. в отличии от государственных облигаций, номинированных в национальной валюте, доходность еврооблигаций колеблется меньше и соответственно они имеет меньшую премия за риск.

Пожалуй, наиболее острой проблемой, возникающей перед специалистами по факторному анализу, является подбор четких и ясных критериев, позволяющих отсеять малозначимые факторы, повышающие размерность модели без увеличения ее точности, и при этом правильно определить вес для остальных факторов. Доказательством важности этого вопроса, а также отсутствия однозначно оптимальных решений, является изобилие всевозможных критериев отбора значимых компонент. Достаточно назвать такие известные методы, как расчет варимакс-критерия, n-критерий, отбор при помощи t-критерия Стьюдента и т.п.

Очевидно, что вводить в модель очередной фактор целесообразно только в том случае, если он в достаточной степени понижает уровень энтропии, а следовательно, увеличивает значение R-квадрат. Каким образом численно выразить прирост данной величины в зависимости от количества вводимых факторов? Рассмотрим эту проблему в свете коэффициентов последовательной детерминации.

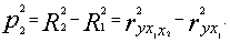
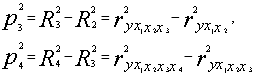
Пусть имеются N факторов X1...XN, предположительно влияющих на доходность инвестиционного портфеля. При вводе в уравнение регрессии фактора Xi показатель R-квадрат принимает некоторое определенное значение. Выберем фактор, при котором оно будет наибольшим:

 (4.4)

где P12 - коэффициент последовательной детерминации для данного фактора,

ryx1 - парный коэффициент корреляции между доходностью и этим фактором.

Теперь вводится в полученное уравнение регрессии второй фактор таким образом, чтобы значение R-квадрат снова оказалось максимально возможным, и затем рассчитываем второй коэффициент последовательной детерминации:

 (4.5)

Аналогичным образом рассчитываем следующие коэффициенты:

  и т.д.

Базовый отбор факторов продолжается до тех пор, пока величина получаемых коэффициентов последовательной детерминации не станет меньше некоторого критического значения. Учитывая, что в механизм расчета скорректированной величины R-квадрат входит поправка на возрастание энтропии при вводе новых факторов, ее прирост на каждой итерации алгоритма должен быть положительным и, следовательно, критическое значение p должно быть больше нуля.

Данный метод позволяет отобрать из всех имеющихся факторов именно те, которые оказывают наибольшее влияние на доходность рассматриваемых ценных бумаг. Это позволяет существенно понизить размерность модели, создаваемой на основе методики, ускорить вычисления и при этом отбросить данные, не имеющие большого влияния на интересующие нас показатели. Как правило, от выявленных главных компонент зависит не менее 85% общей дисперсии, что лишний раз показывает эффективность выбранного метода анализа.

4.2 Применение кластерного анализа

Процедура кластеризации решает вопрос о сходстве финансовых активов, характеризуемых значениями многих параметров, на основе формальных математических критериев. Это позволяет заменить длительный и трудоемкий процесс изучения и сравнения активов более быстрым вычислительным алгоритмом. Кроме того, будучи средством анализа многомерных данных, кластеризация позволяет выделить активы с близкими значениями всех параметров.

Большое достоинство кластерного анализа в том, что он позволяет производить разбиение объектов не по одному параметру, а по целому набору признаков. Кроме того, кластерный анализ в отличие от большинства математико-статистических методов не накладывает никаких ограничений на вид рассматриваемых объектов, и позволяет рассматривать множество исходных данных практически произвольной природы. Это имеет большое значение, например, для прогнозирования конъюнктуры, когда показатели имеют разнообразный вид, затрудняющий применение традиционных эконометрических подходов.

Кластерный анализ позволяет рассматривать достаточно большой объем информации и резко сокращать, сжимать большие массивы социально-экономической информации, делать их  компактными и наглядными.

Важное значение кластерный анализ имеет применительно к совокупностям временных рядов, характеризующих экономическое развитие (например, общехозяйственной и товарной конъюнктуры). Здесь можно выделять периоды, когда значения соответствующих показателей были достаточно близкими, а также определять группы временных рядов, динамика которых наиболее схожа.

Как и любой другой метод, кластерный анализ имеет определенные недостатки  и ограничения: В частности, состав  и количество кластеров зависит от выбираемых критериев разбиения. При сведении исходного массива данных к более компактному виду могут возникать определенные искажения, а также могут теряться индивидуальные черты отдельных объектов за счет  замены их характеристиками обобщенных значений параметров кластера. При проведении классификации объектов игнорируется очень часто возможность отсутствия в рассматриваемой  совокупности каких-либо значений кластеров.

Общеизвестно, что изменение курсовой стоимости и дивидендов различных ценных бумаг не только в России, но и во всем мире зависит от ряда внутренних и международных факторов экономического и неэкономического характера. Эти факторы могут быть взаимосвязаны в различной степени, а тенденции изменения их динамики способны отличаться друг от друга в достаточно сильной степени. Следовательно, изменение стоимости инвестиционного портфеля в результате сложения различных тенденций с большой вероятностью оказывается достаточно сложной и практически непредсказуемой, если использовать обычный регрессионный анализ. Основные факторы воздействия влияют на различные ценные бумаги не только с разной эффективностью, но зачастую и в прямо противоположных направлениях. К примеру, повышение цен на нефть может благоприятно сказаться на ценных бумагах нефтяных корпораций, негативно отразившись на автомобилестроительном секторе.

В свете вышесказанного, возникает проблема определения с максимальной степенью точности существенных факторов и их влияние на курс ценных бумаг.

Как теоретики, так и практики сталкиваются с трудностями, когда перед ними возникает практически неизбежная задача разбиения множества существующих ценных бумаг на различные группы с относительно однородной структурой. Краеугольным камнем проблемы является вопрос подбора и согласования выбранных факторов так, чтобы их представление в многомерной системе координат достаточно точно производило разбиение на кластеры, характеризующиеся максимально схожими тенденциями. При этом нужно учитывать, что даже если бы и удалось подобрать точные коэффициенты для существующих количественных факторов, всегда найдутся не менее важные качественные показатели, выразить которые в количественной форме практически невозможно. В связи с этим принято группирование ценных бумаг на основе существующих индустриальных и прочих классификаций, а также отталкиваясь от априорной доходности (ex ante).

Разбиение множества ценных бумаг на отдельные кластеры в зависимости от динамики доходности осуществляется следующим образом: данные по доходности ценных бумаг на протяжении базы прогноза компонуются в общую матрицу вида:

 (4.6)

где Rkm – доходность по k-й ценной бумаге за m-й период,

Далее, разбиение на кластеры происходит через вычисление евклидова расстояния между ценными бумагами p и q по формуле

 (4.7)

где m – номер периода,

sRm – среднеквадратическое отклонение доходности за период m.

Критическая величина разбиения предполагается равной квадратному корню из количества периодов T, то есть средней величине евклидового расстояния:

 (4.8)

Преимущество данной методики заключается, во-первых, в том, что она позволяет с крайне высокой степенью точности группировать ценные бумаги со сходными тенденциями в изменении доходности на протяжении всего периода, определяющего базу прогноза, что дает основания рассчитывать на сохранение подобной тенденции и в дальнейшем.

Вторым ее преимуществом является возможность полной автоматизации, что значительно облегчает работу, позволяя использовать современные вычислительные средства, а также обрабатывать однородную информацию, получаемую из электронных баз данных.

5 ИНФОРМАЦИОННОЕ ОБЕСПЕЧЕНИЕ РАЗРАБОТКИ ПРОГНОЗА

Для реализации прогнозных моделей необходимо не только располагать своевременной и точной информацией, но и уметь осмысливать ее, делать выводы и результативно воплощать в принимаемых управленческих решениях. Необходимость присутствия информационной составляющей в процессе прогнозирования очевидна, поскольку она является основой всего управленческого процесса. Реализация любой цели в процессе деятельности всегда связана с проблемой выбора из имеющихся прогнозных альтернатив наиболее оптимальных и рациональных, что вносит элемент неопределенности в прогнозную модель. Снижение неопределенности возможно на базе использования информации, обеспечивающей определенными сведениями.

Информация – это совокупность сведений, сообщений, данных, материалов, определяющих меру потенциальных знаний менеджера об определенных процессах, происходящих на предприятии в их взаимосвязи. Суть информации составляют только те сведения, которые уменьшают неопределенность интересующих менеджера событий.

Возможности покрытия информационных потребностей при разработке прогнозов зависят от имеющейся информационной базы, накопленной за предыдущие периоды деятельности.

Следует учитывать, что прогноз есть вероятность наступления тех или иных событий и практически всегда в нем присутствует ошибка неопределенности и случайного влияния на показатель неучтенных и редко происходящих фактов. Это означает, что «идеальный прогноз» часто невозможен. Прогнозировать можно только область возможных состояний, дополняя экстраполируемое значение доверительным интервалом прогноза.

При прогнозирование макроэкономических детерминант с использованием дублирующих портфелей используется только внешняя информация, находящаяся в открытом доступе, такая как динамика ценных бумаг и макроэкономических показателей. Таким образом, не возникает трудностей со сбором информации и искажений, появляющихся при неполной информации.

6 ПРОВЕРКА АДЕКВАТНОСТИ ПОЛУЧЕННЫХ РЕЗУЛЬТАТОВ

Сложность экономических процессов и явлений и другие особенности экономических систем затрудняют не только построение моделей, но и проверку их адекватности, истинности получаемых результатов.

В естественных науках достаточным условием истинности результатов моделирования и любых других форм познания является совпадение результатов исследования с наблюдаемыми фактами.

Главная задача экономической науки конструктивна: разработка научных методов планирования и управления  экономикой. Поэтому распространенный тип математических моделей экономики - это модели управляемых и регулируемых экономических процессов, используемые для преобразования экономической действительности. Такие модели называются нормативными. Если ориентировать нормативные модели только на подтверждение действительности, то они не смогут служить инструментом  решения качественно новых социально-экономических задач.

Специфика верификации нормативных моделей экономики состоит в том, что они, как правило, "конкурируют" с другими, уже нашедшими практическое применение методами. При этом далеко не всегда можно поставить чистый эксперимент по верификации модели, устранив влияние других управляющих воздействий на объект.

Ситуация еще более усложняется  когда ставится вопрос о верификации моделей долгосрочного прогнозирования (как дескриптивных, так и нормативных). Ведь нельзя же 10-15 лет и более пассивно ожидать наступления событий, чтобы проверить правильность предпосылок модели.

Несмотря на отмеченные усложняющие обстоятельства, соответствие модели фактам и тенденциям реальной экономической жизни остается важнейшим критерием, определяющим направления совершенствования моделей. Всесторонний анализ выявляемых расхождений между действительностью и моделью, сопоставление результатов по модели с результатами, полученными иными методами, помогают выработать пути коррекции моделей.

Значительная роль в проверке моделей принадлежит логическому анализу, в том числе средствами самого математического моделирования. Такие формализованные приемы проверки моделей, как доказательство существования решения в модели, проверка истинности статистических гипотез о связях между параметрами и переменными модели, сопоставления размерности величин и т.д., позволяют сузить класс потенциально "правильных" моделей.

Внутренняя непротиворечивость предпосылок модели проверяется также путем сравнения друг с другом получаемых с ее помощью следствий, а также со следствиями "конкурирующих" моделей.

Оценивая современное состояние проблемы адекватности математических моделей экономике, следует признать, что создание конструктивной комплексной методики верификации моделей, учитывающей как объективные особенности моделируемых объектов, так и особенности их познания, по-прежнему является одной из наиболее актуальных задач экономико-математических исследований.


ЗАКЛЮЧЕНИЕ

В системе формирования рыночных механизмов возрастает необходимость в принятии нестандартных, оперативных и правильных решениях. Основой для такого подхода в принятии управленческих решений является экономическое прогнозирование, призванное выявить общие перспективы и эволюции, тенденции организационно-структурного развития, обеспечить сбалансированность краткосрочных и долгосрочных программ.

Главная особенность прогнозирования заключается в том, что он нацелен на будущее; вторая важная черта – учет неопределенности, связанной с этим будущим.

Для реализации прогнозных моделей необходимо располагать своевременной и точной информацией, которая является основой всего управленческого процесса. Информация в процессе разработки и реализации прогнозов – сумма нужных, воспринятых и осознанных сведений, необходимых для анализа конкретной ситуации, дающая возможность комплексной оценки причин ее возникновения и развития.

Существует большое разнообразие методов прогнозирования, наиболее используемыми являются методы из статистической группы такие, как экстраполяция трендов, экспоненциальное сглаживание, корреляционный анализ, метод скользящей средней и др.

Дублирующий портфель является одним из таких методов. Само по себе построение такого портфеля не дает еще информации о будущем, но при построении дублирующего портфеля для будущих переменных позволяет выявить некую закономерность движения доходности активов и прогнозируемых макроэкономических переменных.

Дублирующие портфели применяются при решении нескольких вопросов. Одной из проблем является измерение премии за риск. Дублирующие портфели имеют как минимум еще три сферы применения, которые не основываются на портфелях, приносящих ненулевую премию за риск. Во-первых, эти портфели могут служить средством хеджирования для индивидуальных инвесторов, которые желают застраховать себя на случай какого-либо определенного экономического риска. Во-вторых, на основе дублирующего портфеля можно строить прогноз поведения какой-либо экономической переменной. Т.к. доходности активов могут быть рассчитаны на каждый день, дублирующие портфели могут предоставить информацию по поводу ожиданий рынка на счет будущего экономики. В-третьих, путем измерения ожиданий, портфели следования выявляют структуру экономики и объясняют реакцию цен на новости, касающиеся экономической сферы.

Использование доходности дублирующих портфелей в качестве инструмента прогноза будущих значений экономических переменных существенно увеличивает важность оценки чувствительности цен активов к новостям о значении в будущем данных переменных.


СПИСОК ЛИТЕРАТУРЫ

1.       1. Шарп У., Александер Г., Бэйли Дж. Инвестиции: Пер. с англ. – М.: ИНФРА-М, 2001. – XII, 1028 с.

2.       Owen Lamont. Economic Tracking Portfolios. 1999. NBER Working Paper no. 7055.

3.       Chen, N.; R. Roll and S.A. Ross, 1986, Economic Forces and the Stock Market. The Journal of Business 59, 383-403.

4.       Chan, L.K.C., J.Karceski and J. Lakonishok, 1998. The Risk and Return from Factors. Journal of Financial and Quantitative Analysis 33, 159-188.

5.       Fama, E.F., 1990, Stock Return. Expected Returns, and Real Activity. Journal of Finance 45, 1089-1108.

6.       Breeden, D.T.; M.R. Gibbons; R.H. Litzenberger, 1989, Empirical Test of the Consumption-Oriented CAPM. Journal of Finance 44, 231-262.

7.       Fama, E.F.; K.R. French. 1993. Common Risk Factors in the Returns on Stock and Bonds. Journal of Financial Economics 33, 3-56.

8.       Campbell, J.Y., 1991, A Variance Decomposition for Stock Returns. Economic Journal 1001, 157-179.

9.       Campbell, J.Y., and J. Ammer, 1993, What Moves the Stock and Bond Markets? A variance Decomposition for Long-term Asset returns. Journal of Finance 48, 3-38.

10.     Campbell, J.Y., and J. Mei, 1993, Where Betas Come from? Asset Price Dynamics and the Source of Systematic Risk. Review of Financial Studies 6, 567-592.


 
© 2012 Рефераты, доклады, дипломные и курсовые работы.