реферат
Главная

Рефераты по биологии

Рефераты по экономике

Рефераты по москвоведению

Рефераты по экологии

Краткое содержание произведений

Рефераты по физкультуре и спорту

Топики по английскому языку

Рефераты по математике

Рефераты по музыке

Остальные рефераты

Рефераты по авиации и космонавтике

Рефераты по административному праву

Рефераты по безопасности жизнедеятельности

Рефераты по арбитражному процессу

Рефераты по архитектуре

Рефераты по астрономии

Рефераты по банковскому делу

Рефераты по биржевому делу

Рефераты по ботанике и сельскому хозяйству

Рефераты по бухгалтерскому учету и аудиту

Рефераты по валютным отношениям

Рефераты по ветеринарии

Рефераты для военной кафедры

Рефераты по географии

Рефераты по геодезии

Рефераты по геологии

Реферат: Будущее предпринимательства в России

Реферат: Будущее предпринимательства в России

Введение .

Любая нация гордится плодами деятельности своих пред­принимателей. Но любая нация и каж­дый ее отдельный представитель гордятся и своей прича­стностью к воплощению какой-либо конкретной предпринима­тельской идеи. Предпринимательство как одна из конкретных форм проявления общественных отно­шений способствует не только повышению материального и ду­ховного потенциала общества, не только создает благоприят­ную почву для практической реализации способностей и талан­тов каждого индивида, но и ведет к единению нации, сохране­нию ее национального духа и национальной гордости.

К сожалению, в России ситуация все еще остается иной. Традиционная коммунистическая модель общественного раз­вития всегда базировалась на необходимости подавления пред­принимательского духа в обществе и предпринимателя как но­сителя такого духа. Опыт перестройки (особенно ее начального периода) показал, что отказываясь на словах от традиционной коммунистической модели общественного развития, фактиче­ски мы во многом продолжаем именно эту линию. Мы уже до­статочно отчетливо осознали, что, оказывается, мало провоз­гласить тезис, разрешающий предпринимательство, что мало принять какие-то законы, способствующие этому... Удивитель­ное дело — разрешение получено, а "предпринимательского бу­ма" не наблюдается! Почему? Разве страна бедна ресурсами? Или кризис перепроизводства? Что, у нас нет людей, способных осу­ществлять значительные предпринимательские проекты?

Всеобщее неприятие предпринимательства постепенно перехо­дит в осознание необходимости создания условий для его быстрейшего и эффективного развития. За предпринимательством в Рос­сии будущее, процесс накопления критической массы неизбежно приведет к "предпринимательскому буму". Поэтому на данном этапе чрезвычайно важно изучить поведение предпринимателя , чтобы в последствии не допускать ошибок , сделанных ранее . Далее я попытаюсь изложить материал о предпринимательстве , о его сущности , видах , субъектах , развитии , гос. поддержке .


Глава I Предпринимательство : сущность, виды, субъекты.

На сегодняшний день в мире не существует общепринято­го определения предпринимательства. Американский ученый, профессор Роберт Хизрич определяет "предпринимательство как процесс создания чего-то нового, что обладает стоимостью, а предпринимателя — как человека, который затрачивает на это все необходимое время и силы, берет на себя весь финансо­вый, психологический и социальный риск, получая в награду деньги и удовлетворение достигнутым1*. В американской учеб­ной и научной литературе дается множество и других определе­ний, характеризующих предпринимательство и предпринимате­ля с экономической, политэкономической, психологической, управленческой и других точек зрения.

Английский профессор Алан Хоскинг утверждает: "Инди­видуальным предпринимателем является лицо, которое ведет дело за свой счет, лично занимается управлением бизнесом и несет личную ответственность за обеспечение необходимыми средствами, самостоятельно принимает решения. Его вознаг­раждением является полученная в результате предпринима­тельской деятельности прибыль и чувство удовлетворения, ко­торое он испытывает от занятия свободным предприниматель­ством. Но наряду с этим он должен принять на себя весь риск потерь в случае банкротства его предприятия2*.

Ни за рубежом, ни у нас пока еще не создана общеприня­тая экономическая теория предпринимательства , хотя потреб­ность в такой теории давно уже стала весьма насущной. "Три волны" развития теории предпринимательской функции — так условно можно охарактеризовать развитие процесса научного осмысления практики предпринимательства.

"Первая волна", которая возникла еще в XVIII в., была свя­зана с концентрацией внимания на несении предпринимателем риска. "Вторая волна" в научном осмыслении предприниматель­ства связана с выделением инновационности как его основной отличительной черты. "Третья волна" отличается сосредоточением внимания на особых личностных качествах предпринимателя (способность реагировать на изменения экономической и общественной си­туации, самостоятельность в выборе и принятии решений, на­личие управленческих способностей) и на роли предпринима­тельства как регулирующего начала в уравновешивающей эко­номической системе.

Современный этап развития теории предпринимательской функции можно отнести к "четвертой волне", появление кото­рой связывается с переносом акцента на управленческий аспект в анализе действий предпринимателя, а следовательно — с пе­реходом на междисциплинарный уровень анализа проблем предпринимательства.

В настоящее время в теоретических исследованиях уделя­ется внимание не только предпринимательству как способу ве­дения дел на самостоятельной, независимой основе, но и внут­рифирменному предпринимательству, или интрапренерству . Термин "интрапренер" был введен в оборот американским исследователем Г. Пиншо. Он же впервые использовал и дру­гой термин, производный от первого, — "интракапитал".

Появление интрапренерства связано с тем фактором, что многие крупные производственные структуры переходят на предпринимательскую форму организации производства. По­скольку предпринимательство предполагает обязательное на­личие свободы творчества, то подразделения целостных про­изводственных структур получают право на свободу действий, что подразумевает и наличие и н т р а к а п и т а л ака­питала, необходимого для реализации идей, лежащих в основе внутрифирменного предпринимательства3.

Предпринимательство это особый вид эко­номической активности (под которой мы понимаем целесо­образную деятельность, направленную на извлечение при­были), которая основана на самостоятельной инициати­ве, ответственности и инновационной предприниматель­ской идее.

Экономическая активность представляет собой форму уча­стия индивида в общественном производстве и способ получе­ния финансовых средств для обеспечения жизнедеятельности его самого и членов его семьи. Такой формой участия индивида в общественном производстве является одна общественная функ­циональная обязанность или их комбинация, когда он выступа­ет в качестве:

• собственника каких-либо объектов, недвижимости и т. д., приносящих ему постоянный и гарантированный доход (собственник предприятия или дома, сдаваемого в арен­ду, и т. д.);

• наемного работника, продающего свою рабочую силу (то­карь на заводе, учитель в школе и т. д.);

• индивидуального производителя ("свободный" художник, живущий на доходы от реализации своих произведений, или водитель, использующий автомобиль в качестве такси и живущий на доходы от такой деятельности, и т. д.);

• государственного или муниципального служащего;

• менеджера (управляющий чужим предприятием);

• пенсионера (пассивная форма участия в общественном производстве как следствие прошлой активности);

• учащегося или студента (как подготовительный этап к участию в будущем общественном производстве в какой-либо конкретной форме);

• безработного (как вынужденная форма неучастия или приостановки участия в общественном производстве);

• занятого оборонно-охранной деятельностью (армия, ми­лиция, госбезопасность);

• вовлеченного в экономически преступную деятельность (рэкет, воровство и др.).

Предпринимательство выступает в качестве особого вида экономической активности, ибо его начальный этап связан, как правило, лишь с идеей — результатом мыслительной деятельно­сти, впоследствии принимающей материализованную форму.

Предпринимательство характеризуется обязательным наличием инновационного момента будь то производство нового товара, смена профиля деятельности или основание нового предприятия. Новая система управления производ­ством, качеством, внедрение новых методов организации про­изводства или новых технологий — это тоже инновационные моменты.

Основным субъектом предпринимательской активности выступает предприниматель. Однако предприниматель — не единственный субъект, в любом случае он вынужден взаимо­действовать с потребителем как основным его контрагентом, а также с государством, которое в различных ситуациях может выступать в качестве помощника или противника. И потреби­тель и государство также относятся к категории субъектов предпринимательской активности, как и наемный работник (если, конечно, предприниматель работает не в одиночку), и партне­ры по бизнесу (если производство не носит изолированного от общественных связей характера) (рис. 1).



Рисунок 1 Субъекты предпринимательской деятельности

Во взаи­моотношениях предпринимателя и потребителя предпринима­тель относится к категории активного субъекта, а потребителю свойственна прежде всего пассивная роль. При анализе стороны этих взаимоотношений потребитель вы­полняет роль индикатора предпринимательского процесса. Это понятно, поэтому все то, что составляет предмет деятельности предпринимателя, имеет право на реализацию только в случае позитивной (положительной) экспертной оценки потребителя. Такая оценка осуществляется потребителем и выступает как го­товность последнего приобрести тот или иной товар. Предприниматель, при планировании и организации своей деятельности никоим образом не может игнорировать настроения, жела­ния, интересы, ожидания, оценки потребителя.

У предпринимателя в условиях рыночной системы отно­шений нет иного пути воздействия на потребителя, кроме как действовать в унисон с его интересами. Однако такая ситуация вовсе не означает, что предприни­матель обязан действовать только в строгом соответствии с уже выявленными интересами потребителя. Сам предприниматель может формировать спрос потребителя, создавать новые поку­пательские потребности (ну кто из потребителей предполагал приобрести видеомагнитофон, когда он еще не производился, а только готовился к производству?). К этому как раз и сводится положение о двух способах организации предпринимательской активности: на основе выявленного интереса потребителя или на основе "навязывания" ему нового товара.

Таким образом, целью предпринимателя выступает не­обходимость "завоевать' потребителя, создать круг собст­венных потребителей.

Основными средствами воздействия предпринимателя на потребителя выступают следующие факторы:

• новизна товара и его соответствие интересу потребителя;

• качество;

• цена, доступность товара;

• степень универсальности товара;

• внешний вид и упаковка;

• позитивные отличительные характеристики товара от то­варов других производителей и возможность потребите­ля ознакомиться с такими отличиями;

• возможность воспользоваться услугами послепродажно­го сервиса;

• соответствие общепринятым или государственным стан­дартам;

• престижность и привлекательность рекламы товара и т. д.

Вывод, который можно было бы сделать из рассматривае­мой проблемы, сводится к следующему: если с точки зрения общественного производства именно предприниматель вы­ступает в роли активного субъекта, то с точки зрения са­мого предпринимательского процесса, его содержания и эффек­тивности активную роль играет потребитель, и предпри­ниматель не может игнорировать этот факт.


Роль государства как субъекта предпринимательского процесса может быть различной в зависимости от обществен­ных условий, ситуации, складывающейся в сфере деловой ак­тивности, и тех целей, какие ставит перед собой государство.

В зависимости от конкретной ситуации государство может быть:

тормозом развития предпринимательства, когда оно создает крайне неблагоприятную обстановку для разви­тия предпринимательства или даже запрещает его;

посторонним наблюдателем, когда государство прямо не противодействует развитию предпринимательства, но в то же время и не способствует этому развитию;

ускорителем предпринимательского процесса, когда го­сударство ведет постоянный и активный поиск мер по во­влечению в предпринимательский процесс новых эконо­мических агентов (нередко такая целенаправленная дея­тельность государства вызывает "взрыв" предпринима­тельской активности и приводит к "буму" предпринима­тельства).

Каковы же функции государства как ускорителя пред­принимательского процесса?

Во-первых, государство берет на себя образователь­ные функции, т. е. функции по профессиональной подготовке и воспитанию предпринимательских кадров. При этом во вни­мание принимается тот факт, что осуществление предприни­мательской деятельности в современной ситуации возможно лишь при условии умелого сочетания по крайней мере трех основных элементов и их эффективного использования в прак­тической деятельности:

а) общеэкономической теории;

б) конкретных экономических (предпринимательских) зна­ний;

в) количественных методов в предпринимательстве, т. е. умения осуществлять предпринимательские расчеты примени­тельно к любой планируемой сделке или операции, а также уме­ния предусмотреть движение средств на счетах своего предпри­ятия при планировании и осуществлении какой-либо сделки.

Во-вторых, государство поддерживает в финансо­вом отношении только что вступивших или вступающих в сферу деловой активности предпринимателей. Обычно с этой целью государством разрабатываются специальные програм­мы поддержки предпринимателей, в которых учитываются ме­ры по льготному кредитованию. Особые льготы предоставля­ются тем, кто берется за реализацию каких-либо предприни­мательских проектов.

В-третьих, государство обычно также берет на се­бя функции создания для предпринимателей требуемой предпринимательской инфраструктуры, т. е. всех тех вспомогательных (с точки зрения основного содержания предпри­нимательских проектов) структур, которые могли бы оказать предпринимателю услуги, необходимые для эффективной ре­ализации проектов. Государство обычно снабжает предприни­мателя необходимой (чаще всего маркетинговой) информаци­ей, берет на себя также расходы по ведению научных, научно-технических, проектно-изыскательских и иных работ с предо­ставлением их результатов предпринимателям на безвозмезд­ной или льготной основе. Государство также стремится к учреж­дению консультационных, юридических и иных фирм, облег­чающих деятельность предпринимателей, а также берет на се­бя функции по подготовке кадров нужной квалификации для предпринимательских структур.


Наемный работник как реализатор идей предпринимателя также относится к группе субъектов предпринимательского про­цесса. Именно от него зависит эффективность и качество реали­зации предпринимательской идеи.

Известно, что каждому экономическому субъекту свой­ственны свои собственные интересы. Что касается предприни­мателя и наемного работника, то часть их планов совпадает (чем выше прибыль, тем выше заработная плата, к примеру), а часть носит полярно противоположный характер (предприниматель не заинтересован в высокой оплате труда, а наемный работник заинтересован). В таких случаях стороны вынуждены идти на поиск компромиссных вариантов, что в общем-то и состав­ляет основу взаимоотношений этих двух субъектов предпри­нимательского процесса.

В рамках таких взаимоотношений предприниматель обо­значает для себя определенные проблемы в своей повседнев­ной деятельности и старается разрешить их с наибольшим эф­фектом. Какие же это проблемы?

Прежде всего, подбор кадров нужной специализации и требуемого у ровня квалификации. Эта проблема разрешается двумя возможными путями:

• подготовка таких кадров на собственной информацион­ной и финансовой базе (но такой путь не всегда эффекти­вен по понятным причинам);

• привлечение кадров, занятых в других предприниматель­ских или производственных структурах , для чего требуется создание для ра­ботников лучших, более привлекательных .

Другой проблемой выступает необходимость вовлечения наемного работника в интерес предпринимательской структу­ры. При этом различают две формы:

• вовлечение наемного работника в производственный ин­терес предпринимательской структуры;

• вовлечение наемного работника в коммерческий интерес фирмы.

Первая форма свойственна европейской системе органи­зации труда, когда каждый наемный работник точно знает свои производственные функции и выполняет их с присущей ему умелостью.

Вторая форма характерна для японо-американской систе­мы организации труда, когда каждый наемный работник заин­тересован не только в должном исполнении своих производ­ственных функций, но и обеспокоен общим результатом деятельности предпринимательской структуры. Эта форма вовле­чения работника является, конечно, более эффективной по срав­нению с первой и наиболее привлекательной как с точки зре­ния предпринимателя, так и с точки зрения общества.

Форма вовлечения наемного работника в интерес предпри­нимательской структуры зависит от используемой предприни­мателем системы оплаты труда. На сегодняшний различают следующие :

  • Твердая гарантированная заработная плата.

  • Твердая гарантированная заработная плата с ежемесяч­ной (ежеквартальной или ежегодной) премией,

  • Сдельная заработная плата.

  • С использованием коэффициента эффективности.

  • Сдельно-премиальная заработная плата.

  • Тарифная заработная плата.

  • Почасовая заработная плата.

Правда, все эти формы оплаты труда способствуют вовле­чению работника лишь в производственный (но не в коммер­ческий) интерес фирмы. Для работника в такой ситуации глав­ное — выполнить надлежащим образом свои обязанности а ка­ков будет общий результат деятельности фирмы, предприятия, коллектива, для него не так важно.

Для вовлечения работника в коммерческий интерес фирмы важно создать такую ситуацию, когда работник одновременно бу­дет заинтересован как в своих личных результатах, так и в ре­зультатах коллективной деятельности. Такой двоякий интерес работника можно стимулировать только одним-единственным средством — установлением приемлемого уровня заработной платы.


В современных условиях хозяйствования каждый предпри­ниматель функционирует в условиях достаточно глубокой спе­циализации производства, возникшей на основе разделения труда.

Любой предприни­матель нуждается в эффективных партнерских связях: только в таком случае он может эффективно действовать в рамках то­го или иного фрагмента целостного производственного процес­са. Идеальной является ситуация, когда все предприниматели образуют относительно изолированную от общего экономиче­ского процесса цепочку партнерских связей. Если взять для анализа целостный процесс производства, то он состоит как бы из множества фрагментов, каждый из ко­торых фокусируется в конкретной деятельности предпринима­теля (рис. 2).

Рисунок 2 Структура производственного процесса:

1 — добыча и заготовка сырья; 2 — производство машин и оборудо­вания для добычи и заготовки сырья; 3 — переработка сырья и изготовление полуфабрикатов; 4 — производство машин и оборудо­вания для переработки сырья и изготовления полуфабрикатов; 5 — производство машин и оборудования для производства готовых к потреблению товаров; 6 — производство готовых к потреблению товаров; 7 — реализация готовых к потреблению товаров; 8 — производство оборудования для предприятий по реализации готовых к потреблению товаров

В условиях рынка от предпринимателя требуется умение — и даже предрасположенность — действовать в союзе с други­ми предпринимателями и вести постоянный поиск наиболее эф­фективных партнерских связей, в ходе которого предпринима­тель осуществляет переориентацию своей деятельности.

Партнерские связи (реальные и потенциальные) играют весьма важную роль в предпринимательстве. Каждый пред­приниматель при планировании своей деятельности, при раз­работке бизнес-плана обязательно учитывает возможность установления необходимых партнерских связей. К примеру, если Вы планируете производить, скажем, кухонную мебель, то Вы, естественно, обязательно постараетесь определить, где, у кого и на каких условиях предположительно (и есть ли такая возможность) Вы сможете приобретать все необходи­мое для организации производства (древесину, иные компоненты, фурнитуру, оборудование, машины и т. д.). Без такого подхода невозможно планирование предпринимательской де­ятельности.

Выбор партнерских связей зависит от целого ряда факто­ров. Партнерские связи можно классифицировать следующим образом.

1. Долговременные (или постоянные).

2. Кратковременные (или на определенный срок).

3. Случайные.

Таким образом, при планировании своей деятельности предприниматель рассматривает партнера (партнеров) как субъект предпринимательского процесса, от формы взаимо­отношений с которым зависит уровень эффективности его деятельности.

Целью предпринимательской активности является производство и предложение рынку такого товара, на который имеется спрос и который приносит предпринимателю прибыль. Прибыль это излишек доходов над расходами, по­лучаемый в результате реализации принятого предпринима­тельского решения по производству и поставке на рынок това­ра, в отношении которого предпринимателем выявлен не удовлетворяемый или скрытый спрос потребителя.

Однако получение прибыли свойственно не только пред­принимательской, но и любой другой форме деловой активно­сти. В этой связи важно обратить внимание на выделение такой экономической категории, как предпринимательская прибыль, или предпринимательский доход. Доходы от инновационной де­ятельности, т. е. от введения новых методов и приемов органи­зации производства, и составляют предпринимательский доход. Под предпринимательским доходом следу­ет понимать прежде всего дополнительный доход, доход от управления, излишек, получаемый предпринимателем благо­даря его природным качествам или особому умению анализи­ровать и по-новому комбинировать факторы производства в зависимости от внешних условий.

Другими словами, прибыль предпринимателя (если речь идет действительно о предпринимателе, а не об обычном дело­вом человеке) складывается как бы из двух элементов:

• обычная прибыль делового человека;

• излишек над обычной прибылью делового человека.

Второй элемент и выступает в качестве предприни­мательского дохода (прибыли), т. е. формы обще­ственного вознаграждения за проявленный инновационный подход, новаторство в производстве.

Всякий предприниматель, таким образом, выступает в ка­честве делового человека, но не всякий деловой человек может быть отнесен к категории предпринимателей, если речь идет о действительном феномене предпринимателя.

Развитие предпринимательства возможно лишь при нали­чии необходимых субъектов такого рода деятельности. Эти субъекты и делают возможным развитие рыночных отношений (а не наоборот, как это видится многим в России). Появление субъектов предпринимательства подразумевает наличие опре­деленной общественной ситуации, когда идеологическая, поли­тическая и социально-экономическая обстановка провоцирует "предпринимательский бум".

Осуществление предпринимательской деятельности на эф­фективном уровне, таким образом, возможно лишь при нали­чии определенной общественной ситуации — предпринима­тельской среды, под которой понимается прежде всего рынок, рыночная система отношений, а также личная свобода предпри­нимателя, т. е. его личная независимость, позволяющая принять такое предпринимательское решение, которое, с его точки зре­ния, будет наиболее эффективным, действенным и максималь­но прибыльным.

Предпринимательство как особая форма экономической ак­тивности может осуществляться как в государственном, так и в частном секторе экономики. В соответствии с этим различают: а) предпринимательство государственное; б) предпринимательство частное.

Государственные предпринимательство есть форма осуществления экономической активности от имени предприятия, учрежденного: а) государственными ор­ганами управления, которые уполномочены (в соответствии с действующим законодательством) управлять государ­ственным имуществом (государственное предприятие), или б) органами местного самоуправления (муниципальное пред­приятие). Собственность такого рода предприятий есть форма обособления части государственного или муниципального иму­щества, части бюджетных средств, других источников. Важной характеристикой таких предприятий выступает то обстоятель­ство, что они отвечают по своим обязательствам только иму­ществом, находящимся в их собственности (ни государство не отвечает по их обязательствам, ни они сами не отвечают по обя­зательствам государства).

Частное предпринимательство есть форма осуществления экономической активности от имени предприятия (если оно зарегистрировано в качестве таково­го) или предпринимателя (если такая деятельность осуще­ствляется без найма рабочей силы, в форме индивидуальной трудовой деятельности).

Конечно, каждый из этих видов — государственное и част­ное предпринимательство — имеет свои отличительные при­знаки, но основные принципы их осуществления во многом сов­падают. И в том и в другом случае осуществление такой дея­тельности предполагает инициативность, ответственность, инновационный подход, стремление к максимизации прибы­ли. Схожей является и типология обоих видов предпринима­тельства.

Предпринимательство как форма инициативной дея­тельности, направленной на извлечение прибыли (предприни­мательского дохода), предполагает:

1) осуществление непосредственных производитель­ных функций, т. е. производство товара (продукта) или оказание услуги (например, машиностроительная фирма, ту­ристская компания, инжиниринговая фирма или конструк­торское бюро);

2) осуществление посреднических функций, т. е. оказа­ние услуг, связанных с продвижением товара на рынок и его передачей в надлежащем (общественно приемлемом) виде от непосредственного производителя такого товара его потре­бителю.

Общественное понимание проблемы сводится к тому, что, с одной стороны, приоритетное значение имеет первый тип предпринимательской деятельности, поскольку общественное богатство (как обобщенный итог уровня и качества жизни каж­дого члена общества) зависит от состояния дел именно в сфере материального производства, научно-технических и сервисных услуг. С другой стороны, такое общественное отношение к это­му типу предпринимательства на практике не носит действи­тельно приоритетного характера — общество способствует раз­витию и второго типа предпринимательской деятельности, т.е. посредничества. Почему? Прежде всего потому, что уровень и качество жизни, удобство и комфорт каждого члена общества в немалой степени зависят от уровня развития в обществе посред­нической сферы (удобная для покупателя организация торгов­ли, реклама, доставка товаров на дом, заказ товара по почте, телефону и т. д.); то же самое относится и к потребителям това­ров производственного назначения.

Но такое общественное восприятие посреднической дея­тельности не является единственной и основной причиной. Глав­ное заключается в другом — посредническая предприниматель­ская деятельность, ее наличие и усложнение до разумных пре­делов ведет:

1) к увеличению производительности труда непосредствен­ных производителей товаров на основе углубления специали­зации;

2) к ускорению темпов оборачиваемости (кругооборота) ка­питала;

3) к насыщению товарных рынков до объективно требуе­мых размеров и функционированию непосредственных това­ропроизводителей в соответствии с интересами конечных по­требителей (поскольку посредник специализируется главным образом на изучении потребительского спроса и заказе или приобретении только той продукции, потребительский инте­рес к которой он уже выявил; любую продукцию, производи­мую непосредственным товаропроизводителем, он приобре­тать не будет).


Предпринимательская деятельность, связанная с непо­средственным производством товаров, может носить:

1) традиционалистский характер {традиционалистское предпринимательство),

2) инновационный характер (инновационная предпринима­тельская деятельность, инновационное предпринимательство).

Предпринимательство в сфере непосредственного произ­водства товаров может, таким образом, ориентироваться на про­изводство и поставку на рынок традиционных или инноваци­онных товаров. Практика предпринимательской деятельности в любой ее форме включает в себя инновационный процесс. При­водимое выше деление типов предпринимательской деятель­ности основывается на убеждении, что производство и постав­ка на рынок традиционных товаров осуществляется также с ис­пользованием каких-то новых методов или приемов, связанных с организацией производства, техническими элементами про­изводства или изменениями качественных характеристик про­изводимого товара.


Рынок, как известно, представляет собой место встречи двух основных субъектов экономических (хозяйственных) от­ношений. А раз это так, то на рынке должны присутствовать или сами производитель и потребитель, или же их представи­тели.

Лица (юридические или физические), представляющие ин­тересы производителя или потребителя (а часто и действу­ющие от их имени), но сами не являющиеся таковыми, назы­ваются посредниками.

Предпринимательская активность в сфере посредничест­ва позволяет совместить в самые сжатые сроки экономические интересы производителя и потребителя. Посредничество, с точ­ки зрения производителя, повышает степень эффективности работы последнего, поскольку дает возможность сосредоточить свою активность только на самом производстве, передавая по­среднику функции по продвижению товара к потребителю. Кро­ме того, включение посредника в отношения между производи­телем и потребителем существенно сокращает срок оборачива­емости капитала, а значит, повышает прибыльность производ­ства.

Предпринимательская деятельность в посредничестве осу­ществляется всегда в какой-то конкретной форме. Самой рас­пространенной формой посредничества является агенти­рование, т.е. такой тип отношений, в которых агент выступает посредником между производителем и потребите­лем.

Агент лицо, действующее от имени и в интересах про­изводителя товара или потребителя. Лицо, в интересах и от име­ни которого действует агент, называется принципалом. Прин­ципалом может быть как собственник товара, поручающий аген­ту продать его, так и потребитель товара, поручающий агенту купить этот требуемый товар.

Таким образом, посредничество с участием агента включает взаимоотношения уже не двух, а трех субъектов (рис. 3).


Рисунок 3 Схема отношений производителя и потребителя с участием агента .


Типы агентов

Различают несколько типов агентов:

1) агенты производителей;

2) полномочные агенты по сбыту;

3) агенты по закупкам.


Агенты производителей (представители производите­лей) — представляют интересы двух или нескольких произво­дителей дополняющих друг друга товаров.

Полномочные агенты по сбыту получают право на сбыт всей продукции и представляют собой как бы отдел сбыта, но не входят в структуру фирмы-производителя, а взаимодейству­ют с ней на договорных условиях.

Агенты по закупкам чаще всего занимаются подбором нужного товарного ассортимента (например, для мелких роз­ничных торговцев).

Брокерство

Брокер посредник при заключении сделок, специализи­рующийся по определенным видам товаров или услуг, действует по поручению и за счет клиентов, получая от них специальное вознаграждение. Относится к категории профессиональных де­ловых посредников.

Комиссия

Иногда агент выступает в качестве оптовика-комиссионера, который самостоятельно распоряжается товаром, принимая его на комиссию. Комиссионер действует на основе договора ко­миссии, заключаемого между комиссионером (агентом) и принци­палом, который в таком случае выступает в виде комитента.

Комиссионные операции это разновидность торгово-посреднических операций, совершаемых одной стороной (ко­миссионером) по поручению другой стороны (комитента) от своего имени, но за счет комитента. Отношения сторон ре­гулируются договором комиссии.

Комиссионер посредник, физическое или юридическое лицо, совершающее за определенное вознаграждение (комиссионное вознаг­раждение) сделки в пользу и за счет комитента, но от своего имени.

Комитент лицо (обычно производитель или собственник то­вара), дающее поручение другому лицу (комиссионеру) заключить определенную сделку или ряд сделок от имени последнего, но за счет комитента.

Делькредере

Отношения между комиссионером и комитентом, регули­руемые договором комиссии, могут включать и обязательство, которое комиссионер дает комитенту и содержание которого сводится к гарантии того, что заключаемый комиссионером до­говор с какой-либо третьей стороной будет исполнен. Такое обя­зательство (вернее — ручательство) называется делькредере и предполагает передачу комиссионеру дополнительного вознаг­раждения.

Индент

В межстрановых отношениях нередко используют такти­ку разовых комиссионных поручений — индентов. Это разно­видность комиссионной операции, когда импортер одной стра­ны дает поручение комиссионеру другой страны на покупку определенной партии какого-либо конкретного товара.

Консигнация

К комиссионным операциям относят и операции кон­сигнации. Это вид торгово-посреднической операции, когда консигнатор (посредник) продает товар со своего склада на осно­ве договора поручения (реже консигнационного соглашения).

Консигнатор обычно действует в сфере отношений между консигнантом и розничными торговцами. Деятельность консигна­тора, которым обычно является собственник складских помеще­ний и одновременно купец-оптовик, сводится к тому, что он при­нимает у консигнанта товары на ответственное хранение с целью их последующей реализации (обычно — оптом). Но при этом дает обязательство не продать, а лишь предложить товар потенциаль­ному покупателю при первой появившейся возможности (при упущенной возможности он обычно несет ответственность).

Схема взаимоотношений при осуществлении консигнаци­онной операции такова (рис. 4):

Рисунок 4 Схема отношений производителя и потребителя с участием консигнатора (посредника)

Наибольшее распространение консигнация получила в сфе­ре оптовых поставок розничным торговцам (в этом смысле кон­сигнационные склады можно сравнить с российскими оптовы­ми базами). Крупные комиссионные фирмы обычно наряду с по­средническими оказывают и другие виды услуг — принимают на себя ответственность за транспортировку, осуществляют страхование, гарантийное обслуживание и т. д.

Довольно часто посредники выступают в форме оптови­ков-купцов (в США, к примеру, на их долю приходится более половины общего оптового оборота).

Оптовики-купцы независимые коммерческие предпри­ятия, приобретающие право собственности на все товары, с ко­торыми они имеют дело. Это профессиональный вид предпри­нимательской деятельности. Предпринимательский доход скла­дывается из разницы между оптовой ценой покупки товаров оп­товиком-купцом и оптовой ценой продажи. Оптовик-купец обычно продает товар розничным торговцам. Оптовики-купцы функционируют в различных формах:

1) оптовая фирма,

2) оптовый дистрибьютор,

  1. снабженческий (торговый) дом.

Торговый маклер это предприниматель-посредник, ко­торый сам не участвует в заключении сделки, а только указы­вает на возможность ее заключения. Обычно его функции сво­дятся к тому, что он лишь сводит партнеров по сделке. Пред­принимательский доход он получает в форме маклерского воз­награждения, размер которого зависит от суммы заключенной сделки. Маклер также занимается посреднической деятель­ностью при заключении торговых сделок на биржах. Обычно маклер на российских биржах ведет торги.

Дистрибьютор посредник, специализирующийся на приобретении товаров у производителей и реализующий их (распределяющий) своим постоянным клиентам. Различают ди­стрибьюторов товаров промышленного назначения (их партне­рами являются предприниматели, производящие товары, гото­вые к потреблению) и дистрибьюторов, продающих товары роз­ничным торговцам.

Весьма распространенной формой посреднических опера­ций служит дилерство. К дилерам относятся посреднические структуры, под которыми могут пониматься как юридические, так и физические лица. Обычно дилер осуществляет перепрода­жу товаров от своего имени и за свой счет. Дилерская прибыль об­разуется за счет разницы между ценой приобретения товаров и ценой продажи товаров самим дилером. По особому договору с продавцами дилер может предоставлять им информацию о рын­ке, оказывать услуги по рекламе, а также осуществлять после­продажное обслуживание реализуемых товаров.

К посредникам относятся также и джобберы субъекты посреднической сферы, которые обладают запасами готовой продукции, обеспечивают хранение и поставку (транспортиров­ку) товаров. Однако основные принципы их деятельности ана­логичны агентским функциям. Обращение к услугам джоббе­ров целесообразно в том случае, если для производителя по ка­ким-либо причинам неэффективно создавать собственную сбы­товую сеть (сеть продавцов), или же в случае, когда он стре­мится выйти за рамки той территории, где расположены его соб­ственные сбытовые (торговые) учреждения.

Посылторговец предприниматель-посредник, который занимается реализацией товаров путем рассылки каталогов то­варов потенциальным покупателям. В этом случае посредник должен предусмотреть наличие у него складского помещения. Кроме того, обычно предусматривается наличие (или возмож­ность использования) какого-либо эффективного вида транс­порта.

Торговый представитель как самостоятельный предпри­ниматель также относится к категории посредников. Он одно­временно может представлять интересы нескольких принци­палов.

Коммивояжер предприниматель-посредник, который не только продает, но и доставляет товар покупателю (продажа с доставкой). К коммивояжерам обычно относят разъездных пред­ставителей торговых фирм, которые предлагают покупателям товары по имеющимся образцам. Коммивояжеры обеспечива­ют достаточно эффективную рекламу товарам и создают проч­ные каналы сбыта продукции, а также ее послепродажного об­служивания.

Аукционная форма торговли также относится к категории посреднических операций. В осуществлении таких операций участвуют три субъекта взаимоотношений (рис.5).



Рисунок 5 Схема отношений при аукционной сделке

Аукционатор лицо, передающее товар аукционисту по дого­вору для его последующей реализации на аукционе в соответствии с условиями договора и правилами аукциона. Аукционист лицо, проводящее аукцион.

Аукционеры участвующие в аукционе потенциальные поку­патели.

Аукцион представляет собой публичный торг. Это соревнование покупателей за право приобретения товара, вы­ставляемого на аукционную продажу. Товары, выставляемые на аукцион, имеют стартовую цену и обычно предлагаются к про­даже лотами.

Стартовая цена начальная цена, назначаемая аукционатором и аукционистом в аукционном договоре, с которой начинается торг во время проведения аукциона.

Лот неделимая партия товара, выставляемая на аукционную продажу. Все лоты под номерами обычно выставляются для предва­рительного осмотра до начала аукциона. Товар (лот) считается про­данным после третьего удара молотка аукциониста тому аукционеру, который предложил наивысшую цену. На международные аукционы выставляются пушнина, скаковые лошади, пряности, чай, табак, шерсть, ряд других товаров, включая антиквариат.

Биржевое предпринимательство по сравнению с други­ми формами профессиональной предпринимательской деятель­ности имеет ряд специфических особенностей, что позволяет выделить его в особый тип и классифицировать как самостоя­тельное направление деловой практики. Во-первых, биржи представляют собой посреднические структуры. При этом, однако, они выделяются из всего ряда по­средников тем, что практически ни один предприниматель не обходится без обращения к ним. Во-вторых, биржи обслужива­ют клиентов — это их главная функция.

Неотъемлемым элементом биржевой торговли всегда вы­ступала спекуляция. Она присуща экономическим (торговым) отношениям, основу которых составляет обмен. А обмен всегда (или в подавляющем большинстве случаев) распадается на две отдельные операции — продажу и покупку. В условиях неопре­деленности рынка и отсутствия достоверной информации это делает возможным осуществление операций по "деланию де­нег" без обращения к процессу производства. Спекуляция определяется как торговля в надежде получить прибыль от изменения рыночной цены. Она связана с ожиданиями продав­цов относительно повышения или понижения цен. Спекулян­тов в зависимости от направленности их действий называют бы­ками и медведями.

Бык биржевой игрок, полагающий, что цены скоро возрастут, и скупающий по этой причине или сохраняющий ранее приобретен­ные контракты. Спекулянт, играющий на повышение.

Медведь биржевой игрок, полагающий, что цены вскоре пой­дут на снижение, и по этой причине продающий контракты. Спеку­лянт, играющий на понижение.

К сделкам спекулятивного характера относится хеджиро­вание (от "хеджировать" — ограждать, страховать себя от воз­можных потерь).

Хедж страховка от ценовых рисков или фьючерсный контракт по страхованию от ценовых рисков. Хедже? фирма, осуществляющая хеджирование.

Предпринимательство в биржевой деятельности может быть связано: 1) с организацией деятельности биржи как ком­мерческой структуры; 2) с организацией брокерской конторы или брокерской фирмы.

Осуществлением всех операций на бирже занимаются биржевые брокеры посредники, которые содействуют со­вершению сделок между заинтересованными сторонами — клиентами. Сделки заключаются брокерами обычно от имени,


Брокерские места на бирже продаются и покупаются. Про­дажи брокерских мест осуществляет биржевой комитет. Про­фессионалы-брокеры работают в биржевом зале. Клиент (или заказчик), т. е. тот, кто хочет продать или купить акции, может получить информацию по телефону от брокера, представляю­щего его интересы по поручению и за счет клиента. Они могут также действовать от своего имени, но за счет доверителя на основе заключенных с клиентами соглашений. За совершение сделок брокер полу­чает брокерское вознаграждение или в размере, согласован­ном с клиентом, или по таксе, установленной биржевым кли­ентом. Схема осуществления операций на бирже приведена на рис. 6

Рисунок 6 Схема отношений по биржевой сделке:

1 — поручение продавца брокеру; 2 поручение покупателя броке­ру; 3 — совершение сделки в соответствии с поручениями продавца и покупателя


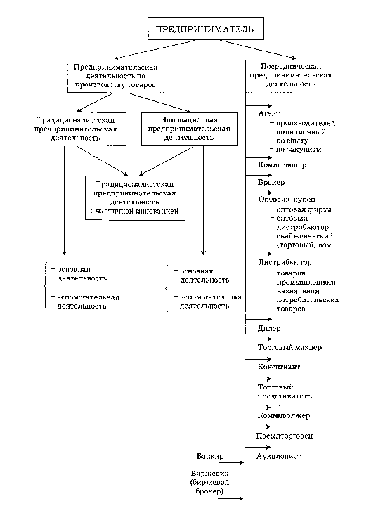
Вывод. Предпринимательская деятельность может осуществляться, как мы уже отмечали, в различных фор­мах. Эти формы взаимодополняют друг друга, превращая процесс производства и продвижения товаров и услуг к по­требителю в целостный и достаточно эффективный про­цесс (рис.7).

Рисунок 7 Типология предпринимательской деятельности

Глава II Развитие малого бизнеса в Российской Федерации.

В реформировании российской экономики еще со времен пере­стройки малые предприятия (МП) взяли на себя роль создателя по­чвы для новой системы хозяйст­вования. Доминирующий сегодня ча­стный сектор зарождался именно в сфере ма­лого бизнеса. И вполне закономерно, что к настоящему времени, по официальным данным, на долю частных субъектов малого предпринимательства в общем ко­ли­честве частных, государственных и муниципальных, общественных МП приходится 84%. Малые предприятия, располагая 3,4°о стоимос­ти основных средств эконо­мики России и 14°о числа занятых, произ­водят 12% ВВП и дают всей прибыли по народному хозяйству. Это говорит о широких, но еще далеко не полностью рас­крытых внут­ренних возможностях развития малого предпринимательства.

В 90-е годы стабильно росла доля МП в общем объеме ВВП. Это - весомый факт, особенно на фоне продолжающегося спада прак­тически во всех сферах рос­сийской экономики. По официальным ста­тистическим данным Госкомстата РФ, на 1.01.1996 г. в России насчи­тывалось 877 тыс. малых предприятий, на которых было занято 8,9 млн. человек (по среднесписочному составу), а с учетом вторичной занятости - 13,8 млн. человек. В отраслевой структуре доминирует торгово-по­средническая деятельность, а в региональной структуре -Центральный экономиче­ский район с ядром в Москве (табл. 1, 2).

В развитии малого предпринимательства за последние 1-2 года наметились кардинально новые тенденции, выразившиеся в первую очередь в существенном замедлении темпов роста числа малых предприятий. Если в начале 90-х годов для динамики развития МП был характерен устойчивый рост как их числа, так и коли­чества за­нятых при среднегодовых значениях приростов на уровне около 80%, то в 1994 г. прирост числа МП составил лишь 4%, а в 1995 г. про­изошло уже снижение их числа на 2,2°о.

Для углубленного понимания нынешней ситуации с развитием российских МП необходимо критически рассмотреть некоторые стра­ницы "новейшей истории".

Российское малое предпринимательство в своем становлении за последние десять лет уже прошло два этапа и находится накануне вхождения в новый, четвертый, этап. Первый и наиболее яркий из них наблюдался еще в условиях бывшего СССР в конце 80-х годов. Огромные льготы всех видов, в том числе за счет средств госбюдже­та, в целом более благоприятное положение дел в экономике обусло­вили отношение ветеранов к данному периоду как к "золотому веку" малого предпринимательства. Действительно, происходило очень бы­строе и легкое накопление капиталов, развивались производство дефицитных товаров широкого потребления и сфера всевозможных и столь же дефицитных то­гда бытовых услуг, розничной торговли, общественного питания и пр.

Изнанкой "золотого века" было, однако, то, что малые предприятия выполняли роль канала перекачки ресурсов командно управляемых госпредприятий в теневую экономику, в пользу полукриминального и просто криминального псевдорыноч­ного предпринимательства. Самое печальное последствие такой перекачки заклю­чалось и заклю­чается в том, что средства, накапливаемые в мартом предпринима­тель­стве методом "доразграбления" госсектора, за небольшим исключе­нием прак­тически навсегда уходили из сферы накопления и не ис­пользовались для развития национального производства и его инфра­структуры.


Таблица 1
Отраслевая структура малого предпринимательства (в %)
- Отраслевая структура числа МП Отраслевая структура пол­ной численности занятых на МП Структура произ­водства продук­ции (работ, ус­луг) по основным отрас­лям МП
Промышленность 14,6 24,0 20,0
Сельское хозяйство 1,1 0,8 0,3
Лесное хозяйство 0,05 0,05
Транспорт и связь 2,3 2,2
Строительство 16,6 29,9 16,3
Торговля и общественное


питание 42,7 24,6 50,5
Материально-техническое


снабжение и сбыт 1,8 1,3 6,0
Информационное обслужи-


вание 0,8 0,5 0,2
Общая коммерческая


деятельность 4,8 3,9 2,5
Прочая деятельность в ма-


териальном производстве 1.5 1,4 0,7
Бытовые услуги, жилищ-


ное хозяйство 1,8 1,1 3,3
Здравоохранение, спорт,


социальное обеспечение 1,9 1,3 0,1
Народное образование 0,9 1,0 0,04
Культура и искусство 0,9 0,7 0,06
Наука и научное обслужи-


вание 5,6 5,3
Финансы, пенсионное


обеспечение 1,3 0,9
Прочие 1,05 3,15

Таблица 2

Региональная структура малого предпринимательства (в %)

Экономические районы Доля в общем числе МП
Центральный, 30,5
в том числе Москва 20,0
Северный 2,9
Северо-западный 9,6
Волго-вятский 2,9
Центрально-Черноземный 2.7
Поволжский 9,6
Северо-Кавказский 9,8
Уральский 10,6
Западно-Сибирский 10,5
Восточно-Сибирский 5,2
Дальневосточный 5,0

4

Конечно, в развитии МП имели место не только негативные про­цессы. В годы перестройки малый бизнес включился в общий, вся­чески поддерживаемый прави­тельством процесс бурного развития ко­оперативного движения. И разгосударст­вление, и обучение широких масс населения основам предпринимательства проис­ходили через раз­витие кооперации и малого бизнеса.

Однако нельзя не заметить, что "золотой век" малого бизнеса и вменяемые ему функции ускорителя реформ во многом оказались в жестком противоречии с дру­гими направлениями экономических преобразований, а точнее - с неудачной по­пыткой проведения ре­форм сверху, в жестко-унитарных традициях, с опорой ис­ключитель­но на аппарат государственной власти и управления. Попытки цен­т­рального правительства как-то ограничивать возможности получения дутых доходов от разницы между фиксированными ценами госсекто­ра и свободными це­нами негосударственных предприятий, регламенти­ровать деятельность МП, ис­пользовать рычаги налогообложения на­талкивались на явную недееспособность государственного аппарата.

Необходим был кардинально иной экономический курс, кото­рый воплотился уже в новой России в реформах типа шоковой тера­пии. Начался новый, второй, этап и в развитии российского малого предпринимательства.

1992 год - год шоковой терапии - характеризовался самыми вы­сокими с сере­дины 80-х годов темпами роста числа малых предприя­тий (в 2,1 раза) и численно­сти занятых в них. Этот факт носит фено­менальный характер, поскольку осуществ­ленная тогда либерализа­ция цен и введение налогового прессинга сильно подор­вали финансо­вую базу малого предпринимательства. Бурная инфляция привела, с одной стороны, к обесценению сбережений населения, а с другой - к резкому уве­личению процентных ставок банковского кредита. Это вызвало настоящий паралич инвестиционной деятельности, не пре­одоленный до сих пор.

Статистические данные показывают, что абсолютным лидером по увеличению числа малых предприятий стала тогда сфера науки и научного обслуживания. В ней число малых предприятий возросло в 3,4 раза. Количество малых предприятий в сфере сельского хозяй­ства увеличилось в 3,1 раза. Затем следуют материально-техническое снабжение и общая коммерческая деятельность по обеспечению фун­кционирования рынка (2,9 раза). К ним тесно примыкает сфера на­родного образо­вания (2,8 раза).5

В то же время в 1992 г. в общей структуре российского малого предпринима­тельства произошло резкое уменьшение доли МП в сфе­ре материального произ­водства.

По широко распространенному мнению, модель шоковой тера­пии была мало­конструктивна для быстрого и эффективного развития экономики страны и, в ча­стности, сферы малого предпринимательст­ва. Но следует признать, что в условиях активизации рыночных ре­форм МП продемонстрировали и свои позитивные воз­можности. Важ­нейшими функциями МП в условиях шоковой терапии стали соци­альное демпфирование, обеспечение выживания значительных слоев населения в условиях острого кризиса через самозанятость, предос­тавление возможности полу­чения дополнительных (помимо основной, часто формальной занятости) средств к существованию.

Вместо своего рода кормушки с сильным криминальным оттенком, что было присуще периоду перестройки, в сфере МП стала образовы­ваться нормальная кон­курентная прорыночная среда, характеризующа­яся борьбой малых предприятий за выживание на основе повышения качества и разнообразия товаров и услуг. Сказан­ное, правда, не озна­чает, что криминальные структуры оставили малый бизнес в покое.

Феноменальный рост числа МП в 1992 г. имеет свое объяснение. Бурное разви­тие торгово-посреднического малого предприниматель­ства стало ответной реак­цией на подрыв первоначальной финансовой базы. Либерализация внешней тор­говли еще в условиях бывшего СССР и снятие запретов на частную торговлю внутри страны создали благо­приятные условия для любой торговой деятельности.

Падение потребительского платежеспособного спроса торговое малое пред­принимательство тогда активно компенсировало импортом товаров, хотя и не очень качественных (типа продукции китайского производства), но пользовав­шихся ажиотажным спросом у российс­кого потребителя. Быстрая оборачиваемость мелких торговых капи­талов превращала их в капиталы средних размеров. Более того, мел­кая торговля быстро реагировала на нарастающую социально-эконо­миче­скую дифференциацию российского общества, группируясь в ни­шах обслуживания как массовых потребителей, так и потребителей с высоким уровнем доходов. Дос­таточно быстро рядом с мелкими тор­говыми палатками стали возникать элитные магазины, владельцы и работники которых нередко начинали с "челночной" дея­тельности. К позитивной роли торговой и посреднической деятельности МП сле­дует отнести и их участие в создании новых хозяйственных связей. Инициирован­ная либерализацией цен рядом других факторов (сдача позиций ВПК, утрата рын­ков стран Восточной Европы и пр.) полная "закупорка" ранее сложившихся каналов взаимосвязей между производителями, поставщиками и торговлей от­крыла широкое поле для деятельности малых фирм по снабжению и сбыту продук­ции. Конечно, для новых хозяйственных связей в полном объеме нужен новый тех­нологический каркас экономики с соответствующими ры­ночными, высокоэффек­тивными каналами движения товаров от про­изводителей к потребителям. В стратегическом плане задача созда­ния такого каркаса малому бизнесу не по силам, так как требует многих лет и огромных капитальных вложений.

Однако малый бизнес смог сыграть роль катализатора первых шагов движения к новой системе внутри кооперационных связей в российской экономике. Кроме того, он выполнял роль демпфера, спа­сающего многие предприятия от немедлен­ного краха из-за разрыва прежних, хотя и неэффективных, но все же работавших хозяйствен­ных связей.

Рывок малого предпринимательства в сторону торговой и по­среднической дея­тельности стал также закономерной реакцией на введенный правительством нало­говый прессинг. В бывшем СССР не было и в принципе не могло быть налоговой системы, адекватной рыночным условиям. Поэтому введение в практику хозяйст­венной жизни даже элементов нормальной налоговой ответственности долж­но было вызвать у не привыкших к этому предпринимателей есте­ственную реакцию отторжения. Но дело в том, что на эту реакцию наложился явный экстремизм пра­вительственной налоговой политики, направленной на изъятие до 70-90% доходов малых предприятий. При этом правительство и не рассчитывало на то, что кто-либо 6удет сразу же платить налоги в полной мере. Предпринимателей тем самым подталкивали к тому, чтобы искать и находить способы сокры­тия доходов от нало­гообложения. Торговля и посредничество, ориен­тированные на работу с трудно контролируемыми наличными сред­ствами, открывали большие возможности для ухода от налогов.

В целом ситуация 1992 г. может быть охарактеризована обще­принятым терми­ном "грюндерство". Малое предпринимательство было составным элементом этого массового процесса учредительства. Бир­жи, банки, страховые фирмы, крупные ча­стные и полугосударствен­ные акционерные предприятия возникали по всей России в невероят­ных количествах. Люди впервые в жизни получили свободу для са­мо­стоятельной предпринимательской деятельности, право занимать­ся финансовым планированием, что ранее было абсолютной монопо­лией государственных струк­тур и их чиновников. Такие мотивации в сочетании с развалом государственных, прежде всего бюджетных пред­приятий и организаций, с надеждой на получение высоких доходом от достаточно простых видов работ и услуг не могли не породить крупномасштабного грюндерства. Подобное грюндерство объясняется не столько экономическими причинами, сколько общими законам социальной психологии в их приложении к очевидной для Росси ситуации кардинального общественного перелома

Иллюстрацией к вышесказанному может служить массовое по­явление эфемер­ных фермерских хозяйств в суровых климатических зонах и на низкокачественных почвах, где с точки зрения экономи­ческой целесообразности таких хозяйств в принципе не может быть даже в самой развитой рыночной стране. Многие малые предприятия появлялись на свет не в силу экономической целесообразности, не имея какой-либо программы долговременного развития, а только из общей наде­жды, мечты их организаторов на достаточно абстрактную " лучшую жизнь" (в ос­новном в стиле привлекательных трафаретов общества свободного предпринима­тельства и всеобщего потребления). В определенном смысле психологические ожидания скорого процве­тания доминировали над трезвым экономическим расче­том и даже здравым смыслом.

Именно этим объясняется феномен бурного появления много­численных част­ных мелких научных фирм в условиях очень быстро­го свертывания какого-либо спроса на научную продукцию из-за ост­рейшего инвестиционного кризиса, спада инновационной активности и фантастического дефицита бюджетов всех уровней. Психологичес­ки это явление объясняется еще и тем, что научная деятельность, личность исследователя в течение многих предшествовавших десяти­летий были в состоянии явной невостребованности. Новые условия давали бывшим научным со­трудникам надежду на самостоятельный выход из того тупикового положения, в котором они находились в государственных академических, отраслевых и прочих научных уч­реждениях в 70-е и в 80-е годы.

Грюндерство, как показывает исторический опыт, всегда ограни­чено во вре­мени. Уже к 1995 г. оказались практически исчерпаны ниши и возможности сверхприбыльной торгово-посреднической дея­тельности. Многие из возникших ранее малых предприятий преиму­щественно торгово-посреднической или, напри­мер, научно-консуль­тационной ориентации либо прекратили свое существование, либо диверсифицировались. Такая ситуация закономерно должна была ге­нериро­вать новые тенденции в развитии российского малого пред­принимательства. Обо­значился очередной, третий этап качественных изменений в динамике и структуре малого предпринимательства, со­провождавшийся, как было отмечено выше, зна­чительным сокраще­нием прироста числа МП.

Главными причинами приостановки роста числа малых предпри­ятий являлись резкое сужение границ сфер, характеризовавшихся легко достигаемой высокой до­ходностью, исчерпание психологичес­ких ожиданий беспредельных финансовых возможностей самостоя­тельной предпринимательской деятельности. В нормаль­ной рыноч­ной экономике малое предпринимательство в большинстве случаев и о доходности, и по границам потенциальных возможностей уступает среднему и крупному бизнесу. Оно идет вслед за ними в роли хотя и вполне достойного, но все же аутсайдера. Если в России еще в 1992-94 гг. вся экономика, включая малый бизнес, жила по стохастическим законам первоначального на­копления капиталов, то к 1995 г. все четче стали действовать закономерности цивилизованной рыноч­ной системы. Реже встречались слу­чаи, когда какое-либо малое предприятие легко скупало дорогостоя­щие здания и даже средние производственные предприятия. Нормой становился доход на одного занятого в МП на уровне, колеблющемся во­круг средней заработной платы по стране.

В экономике России стала прослеживаться тенденция к началу новой, рыноч­ной концентрации и централизации капиталов, а также самой хозяйственной дея­тельности. Получил развитие процесс погло­щения предприятий. Часто наиболее рентабельные малые предприя­тия оказываются первой жертвой таких поглощений. Например, в Москве на месте еще недавно многочисленных индивидуальных тор­говых ларьков возникли хорошо оформленные торговые павильоны, принадлежа­щие той или иной крупной фирме. Менее рентабельные МП также не выдержи­вают экономической конкуренции со средними и крупными фирмами и вынуж­дены свертывать свою деятельность. В этом смысле на нынешнем этапе российских реформ процессы цент­рализации и концентрации капиталов также противостоят увеличе­нию численности МП. Но в дальнейшем, как мы полагаем, новые крупные и средние предприятия будут самым активным образом сти­мулиро­вать создание новых МП в структуре формируемых новых хозяйственно-технологи­ческих цепочек.

На кардинальное замедление прироста числа МП в 1994-1995 гг. повлияло и завершение перерегистрации малых предприятий, создан­ных еще по законам быв­шего СССР. Действующие МП в ходе перере­гистрации принимали новые органи­зационные формы, а прекратившие свою работу - просто ликвидировались. По­скольку величина числивших­ся зарегистрированными, но реально не функциони­ровавших МП была достаточно велика, их официальная ликвидация внесла существен­ный вклад в общее замедление темпов роста числа малых предприятий России. Фактор перерегистрации и ликвидации не работающих пред­приятий в полной мере проявил себя в 1995 г. в связи с введением в практику хозяйственной деятельности нового Гражданского кодекса (ГК). В соответствии с положениями его первой части малые предпри­ятия, имеющие форму товариществ (а это очень распространенная хозяйственная форма малых предприятий), должны переофор­мить свои учредительские документы, приняв другие, предусмотренные ГК хозяй­ственные формы. Если учесть, что даже по официальным оценкам Госкомстата РФ, более трети зарегистрированных малых предприятий либо не приступали к хозяйственной деятельности, либо приостановили ее, не ликвидировавшись, то очевидно, что начавшаяся в 1995 г. перерегистрация и соответственно официаль­ная ликвидация реально не функционирующих малых предприятий должны привести к дальнейшему существенному снижению числа малых предприятий в России. А с учетом того, что в ряде российских регионов реально действует чуть более половины зарегистрированных МП (по данным Госкомстата РФ), перереги­страция внесет определенные коррективы и в региональную структуру малого предпринимательства страны.

Замедление роста числа новых малых предприятий объясняется еще и тем, что не проявил свою силу - и в экономическом, и в социальном плане - такой мощный фактор увеличения малых предприя­тия, как рост безработицы. Несмотря на все прогнозы ее бурного увеличения, вплоть до 1996 г. официальная безработица оста­валась на уровне 2-3% экономически активного населения. Реальная безра­ботица может быть на порядок выше, на что указывают альтернатив­ные расчеты экспертов профсоюзных объединений, международных организаций и пр. Но тем не менее официальный статус работающих (пусть даже на "полуживых" предприятиях), пока он действует, со­здает социально-психологический эффект, при котором люди от­ка­зываются заниматься иной самостоятельной деятельностью, в том числе пробо­вать свои силы в сфере малого бизнеса. Более распространен­ным оказывается слу­чайный, часто нигде не регистрируемый вспомо­гательный заработок от мелких пе­репродаж или выполнения подсоб­ных работ. Но как только правительство России на деле, а не на словах пойдет на банкротства многочисленных нерентабельных пред­приятий, рост официальной безработицы, несомненно, вызовет но­вую волну увеличения числа МП.

Наиболее существенным негативным моментом была и остается криминализа­ция малого предпринимательства. В этой связи очень показателен наиболее ти­пичный ответ на вопрос выборочных обсле­дований руководителей малых предпри­ятий о влиянии на их деятель­ность криминальных структур. Значительная часть респондентов от­вечают, что они вообще ничего не знают о криминальных структу­рах. В нынешней ситуации такой ответ указывает не на преодоление зави­симости МП от криминальных структур, а как раз наоборот - на особо сильную их зависи­мость от этих структур и даже на прямую вовлеченность в эти структуры и страх перед ними. Криминальность продолжает оставаться существенным фактором, препятствующим нор­мальному развитию российского малого предприниматель­ства,

Резкий спад темпов прироста числа МП по-разному нашел отра­жение в от­дельных отраслях. Хотя и несколько замедлившись, но впервые за несколько про­шедших лет опережающими темпами увели­чилось количество МП в строительстве и на транспорте (на 18 и 19% в 1995 г.). В торговле и сфере общественного пита­ния число МП уменьшилось примерно на 10%. В общей коммерческой деятельно­сти по обеспечению функционирования рынка, в науке и научном обслу­живании произошло абсолютное сокращение числа малых предприя­тий (-18,7 и -5,6%).

Динамика числа МП в региональном разрезе показывает некото­рое опережение роста числа малых предприятий в регионах Северного Кавказа и Севера Европей­ской части России. Хотя существенных изме­нений в региональной структуре МП не произошло, все же можно за­метить позитивный процесс постепенного более равномерного распре­деления малых предприятий по различным экономическим районам России.

В 1995 г. среднесписочная численность занятых в МП по сравне­нию с 1994 г. уве­личилась на 0,8% Конечно, величина прироста неве­лика, но она подтверждает данные социологических опросов, в ходе которых руководители МП высказывали мнение о необходимости увеличения численности персонала предприятий. И, что очень важ­но, они указывают на то, что настало время перехода от полулегаль­ной занятости к нормальной, адекватной действующим законам.

Особо надо отметить усиление инвестиционной активности МП. Общий объем их капитальных вложений за 1995 г. возрос в 4 раза, причем в промышлен­ности -в 7,4 раза.

Можно констатировать, что в 1994-1995 гг. проводимая россий­ским прави­тельством политика умеренно-жесткой финансовой стаби­лизации, с одной сто­роны, сопровождалась значительным замедле­нием темпов роста количества МП , но с другой стороны, имела выраженный санационный эффект. В стране стала формироваться принципиально новая экономическая ситуация, в которой МП на­ча­ли играть роль, характерную для малого предпринимательства в нор­мальной ры­ночной экономике.

Политика государственной поддержки МП осуществлялась на базе налоговых льгот, создания (хотя еще и в незавершенном виде) цивилизованного законода­тельного пространства, информационной поддержки, обучения кадров, формиро­вания сети бизнес-парков, нала­живания эффективной координации в этой области между федераль­ным центром и субъектами Федерации, а также с местными орга­нами власти.

Малые предприятия в борьбе за выживание научились самостоя­тельно при­спосабливаться к сложностям рынка. Так, для повышения своей жизнеспособности МП активно диверсифицируют хозяйствен­ную и инвестиционную деятельность. Более чем половина МП нетор­гового профиля помимо основной деятельности в 1995 г. занималась еще и торговлей как несложной, но относительно прибыльной дея­тельностью с быстрым сроком оборачиваемости капиталов. А торго­вые капи­талы все чаще устремляются в производство, хотя и в самых простых его формах.

В целом мы полагаем, что новый рывок в динамике числа МП, в увеличении их макроэкономического веса по всем показателям неиз­бежен. Его следует ожи­дать по мере накопления предпосылок для формирования целостной системы ры­ночного хозяйствования, реши­тельных шагов в области демонополизации эконо­мики, дебюрократизации управления и, конечно, общего перехода к фазе оживле­ния и подъема производства и производственного инвестирования.

Для закрепления и дальнейшего развития позитивных тенден­ций роста россий­ского малого предпринимательства, кардинального расширения поля его деятель­ности требуется активизация государ­ственной поддержки МП на всех уровнях. В первую очередь в под­держке нуждается сфера кредитования и страхования малого бизне­са, стимулирования его инвестиционной активности. Настоятельной необхо­димостью является декриминализация малого бизнеса. Чрезвычайно важно также расширение инновационной и научной деятель­ности МП в интересах развития всех сфер российской экономики. Начало реального подъема в экономике позволит пе­рейти к четверто­му этапу по-настоящему рыночного развития российского малого пред­принимательства.

Глава III Программа государственной поддержки развития малого предпринимательства в Российской Федерации .

"Считаю поддержку малого бизнеса непременным условием дальнейшего развития экономики, становления среднего класса и в конечном итоге - успеха реформ".

Б.Ельцин

Предпринимательство как особая форма экономической ак­тивности, как конкретная форма обеспечения самозанятости ча­сти населения и создания новых рабочих мест пользуется пра­вительственной поддержкой во всех промышленно развитых странах (в остальных странах большое распространение полу­чает так называемое уличное предпринимательство). Суть пра­вительственной (государственной) поддержки сводится чаще всего к выработке конкретных мер по трем направлениям:

  1. консультационное сопровождение процесса создания и функционирования вновь созданных фирм на начальном этапе (1-3 года с момента образования фирмы); в США, к примеру, с этой целью на территории страны действуют ре­гиональные отделения правительственного "Агентства по малому бизнесу";

  2. оказание определенной финансовой поддержки вновь созда­ваемой структуре или предоставление такой структуре опре­деленных льгот (обычно в сфере налогообложения);

  3. оказание технической, научно-технической или техноло­гической помощи маломощным в финансовом отношении предпринимательским структурам (в Нидерландах, к примеру, созданы региональные научно-технические бю­ро, которые на безвозмездной основе по заявкам малых предприятий участвуют в разрешении их научно-техни­ческих и технологических проблем, связанных с произ­водственным процессом).

Наше государство , также как и другие пытается поддерживать малый бизнес. Так например , 1995 году был принят Закон Российской Федерации "О государственной поддержке малого предпринимательства в Российской Федерации". А на основании этого закона Постановлением Правительства РФ от 4 декабря 1995 года был образован Федеральный фонд поддержки малого предпринимательства. Согласно Закону Фонд определен государственным заказчиком Федеральной программы государственной поддержки развития малого предпринимательства в Российской Федерации .

Основной задачей Фонда является финансовое обеспечение федеральной политики в области государственной поддержки малого предпринимательства в Российской Федерации и создание эффективно действующего финансового механизма для реализации Федеральной программы государственной поддержки малого предпринимательства, участие в финансировании региональных (межрегиональных) программ, а также проектов и мероприятий, направленных на поддержку и развитие малого предпринимательства.

Во исполнение этой задачи реализуются основные направления деятельности:

  1. Выработка финансовой стратегии по привлечению российского и международного банковского капитала, а также других кредитно-финансовых организаций под государственные гарантии Правительства Российской Федерации для обеспечения развития малого бизнеса в Российской Федерации.

  2. Содействие формированию льготного налогового режима для работающих в сфере малого бизнеса.

  3. Формирование системы лизинга как одной из наиболее перспективных возможностей создания и развития производственного базиса малого и среднего предпринимательства.

  4. Содействие развитию внешнеэкономической активности субъектов малого предпринимательства.

  5. Подготовку и переподготовку кадров для работы в структурах малого предпринимательства.

  6. Создание условий для успешного развития предпринимательской деятельности путем формирования благоприятной инфраструктуры.

  7. Информационное и нормативно-правовое обеспечение деятельности малых предпринимателей.

  8. Развитие рекламно-выставочной и издательской деятельности в сфере малого предпринимательства.

  9. Развитие инновационной деятельности в предпринимательских структурах, содействие в освоении новых технологий и изобретений.

Для реализации мероприятий Федеральной программы государственной поддержки малого предпринимательства при участии Фонда созданы 76 региональных фондов и центров. Они находятся под реальным контролем местных органов власти. Региональные фонды начинают брать на себя ключевую роль по проектному и финансовому управлению региональными программами развития малого предпринимательства на основе использования ресурсов Федерального фонда и регионов.

Одним из результатов деятельности Федерального фонда поддержки малого предпринимательства , утвержденная 7 июня 1996 года постановлением Государственной Думы № 444-II ГД , Федеральная программа государственной поддержки малого предпринимательства в Российской Федерации на 1996-1997 годы . Основные разработчики проекта Минэкономики России, Федеральный фонд поддержки малого предпринимательства, ГКРП России, ГКАП России, Миннауки России, Фонд содействия развитию малых форм предприятий в научно-технической сфере, Институт малого предпринимательства Высшей школы экономики Минэкономики России и Госкомвуза России.

Целью Программы является обеспечение устойчивого развития малого предпринимательства в производственной, инновационной и других сферах как неотъемлемой части новой структуры экономики, важнейшего направления создания новых рабочих мест и эффективных институциональных преобразований.

Задачи Программы

  • Создание правовых, экономических и организационных условий для устойчивого развития малого предпринимательства в качестве важнейшего условия подъема и структурной перестройки российской экономики, т.е. дальнейшее развитие системы нормативно-правового обеспечения предпринимательской деятельности, отражение в законодательных и других нормативных актах Российской Федерации и субъектов Российской Федерации интересов малого предпринимательства и особенностей субъектов малого предпринимательства с целью устранения их менее благоприятного положения в экономике по сравнению с более крупными предприятиями, содействия проявлению и развитию их конкурентных и социально-экономических преимуществ;

  • целенаправленное формирование системы государственной и общественной поддержки малого предпринимательства. Предусматривается соединение созданных в рамках Федеральной программы государственной поддержки малого предпринимательства в Российской Федерации на 1994-1995 годы отдельных звеньев и элементов инфраструктуры федерального и регионального уровня в систему, включающую разветвленную сеть инфраструктурных объектов (фонды, центры и агентства поддержки предпринимательства, выставочные и демонстрационно-дилерские центры, технопарки, бизнес-инкубаторы, информационные, консалтинговые и учебно-деловые центры, лизинговые компании, центры ремесел и т.д.).;

  • создание новых рабочих мест, открытие и поддержка малых предприятий в производственной, инновационной и социальной сферах для обеспечения рынка отечественными товарами и услугами, поддержание деловой и инвестиционной активности, развитие конкуренции на рынке товаров и услуг. Реализация мероприятий по обеспечению производственной и инновационной поддержки малых предприятий позволит создать условия для увеличения выпуска пользующейся спросом конкурентоспособной продукции, поддержки отечественных товаропроизводителей, повышения технического уровня производства и качества продукции субъектов малого предпринимательства, усиления их роли в развитии производственного потенциала рыночной экономики и ее научно-технической базы, интенсивного развития всех видов деятельности в сфере научно-исследовательских и опытно-конструкторских работ, освоения и передачи в сферу малого предпринимательства новых технологий, патентов и лицензий. Осуществление указанных мероприятий позволит создать значительное количество новых малых предприятий, особенно в кризисно-депрессивных районах, и новых рабочих мест, прежде всего для женщин, молодежи, уволенных в запас военнослужащих, вынужденных переселенцев. Для обеспечения действенной защиты предпринимателей и работников малых предприятий будет осуществлен комплекс мер по борьбе с рэкетом, коррупцией, создана и расширена сеть фирм, обеспечивающих безопасность функционирования малых предприятий и производящих специальные охранные средства.;

  • инициирование финансово-кредитных и инвестиционных механизмов, а также новых источников финансирования предпринимательской деятельности, прежде всего за счет собственных возможностей эффективно развивающихся малых предприятий. В 1996-1997 годах финансово-кредитная и инвестиционная поддержка малого предпринимательства должна сочетать оптимизацию налоговых льгот, развитие системы кредитования и создание благоприятного инвестиционного климата с участием специализированных фондов и других финансовых институтов. Сочетание мер прямой и косвенной поддержки должно способствовать формированию необходимого стартового капитала для вновь создаваемых, а также развитию существующих малых предприятий и преодолению негативной тенденции ухода этих предприятий от налогообложения. В 1996-1997 годах будут сохранены установленные действующим законодательством налоговые льготы для субъектов малого предпринимательства. Предстоит упростить систему учета и отчетности субъектов малого предпринимательства в целях получения основной информации, необходимой для решения вопросов налогообложения. В ходе реализации Программы предусматривается формирование гарантийного и лизингового фондов, способствующих в условиях повышенных рисков кредитованию и инвестированию в наиболее эффективные проекты и предприятия. Должен быть разработан порядок, при котором не менее 20 процентов средств, поступающих от приватизации в Федеральный фонд поддержки малого предпринимательства, используется для осуществления региональных инвестиционных программ. Будет введен в действие механизм размещения среди субъектов малого предпринимательства не менее 15 процентов объемов заказов на производство и поставку продукции, товаров и услуг для федеральных государственных нужд. ;

  • широкое распространение типовых элементов инфраструктуры, созданных в рамках программных разработок в 1994-1995 годах. Практически в каждом регионе Российской Федерации будут созданы и начнут действовать новые информационные центры, что позволит значительно улучшить информационное обеспечение малого предпринимательства. Будут реализованы меры по широкой пропаганде и популяризации возможностей и достижений в сфере малого предпринимательства, оказана необходимая помощь средствам массовой информации, освещающим эти вопросы. В ходе выполнения соответствующих мероприятий предполагается завершить в целом работу по созданию системы государственной поддержки малого предпринимательства на федеральном и региональном уровнях, отработать и внедрить механизм координации и обмена опытом по осуществлению программ поддержки малого предпринимательства, реализуемых при техническом содействии международных организаций. При усилении значения государственных органов поддержки предпринимательства должна возрастать роль общественных организаций в отстаивании законных интересов предпринимателей, создании благоприятного климата в обществе, привлечении средств массовой информации, использовании конкретных позитивных результатов деятельности малых предприятий.

Механизм реализации Программы

Программа направлена на создание условий поддержки малых предприятий на федеральном уровне путем инициирования разработки и создания правовой базы, гибкого финансово-кредитного механизма, целостной системы информационного и кадрового обеспечения, единой статистической базы, типовых программных решений по объектам инфраструктуры в тесной увязке с мероприятиями региональных программ поддержки малого предпринимательства.

Отличительной особенностью Программы является более четкое разграничение полномочий и ответственности Российской Федерации и ее субъектов за решение вопросов поддержки и регулирования малого предпринимательства.

Государственный комитет Российской Федерации по поддержке и развитию малого предпринимательства и Федеральный фонд поддержки малого предпринимательства осуществляют контрольные функции, позволяющие установить зависимость между затратами на осуществление Программы и конечными результатами, и обеспечивают тем самым эффективное использование средств, выделяемых на реализацию Программы.

Координация деятельности федеральных органов исполнительной власти и органов исполнительной власти субъектов Российской Федерации, Федерального фонда поддержки малого предпринимательства, а также общественных объединений предпринимателей по выполнению мероприятий Программы осуществляется Государственным комитетом Российской Федерации по поддержке и развитию малого предпринимательства, который определяет первоочередность выполнения мероприятий с учетом приоритетных направлений Программы и наличия средств в Федеральном фонде поддержки малого предпринимательства.

Программа предусматривает поэтапное выполнение намечаемых мероприятий, более тесную увязку основных элементов государственной политики в области малого предпринимательства с основными механизмами реформирования российской экономики.

Программа должна в максимальной степени интегрировать интересы и возможности всех структур федерального и регионального уровней, занимающихся поддержкой малого предпринимательства.

Оказание субъектам Российской Федерации финансовой поддержки будет осуществляться Федеральным фондом поддержки малого предпринимательства только при наличии у них утвержденных программ поддержки малого предпринимательства и выделении из соответствующих бюджетов средств на их реализацию.

Подводя итог вышеизложенному в этой главе , хочу сказать ,что правительство начинает принимать меры для повышения темпов развития малого предпринимательства . Очень радует тот факт , что наконец-то был принят закон о развитии предпринимательства т.е. появился первый государственный документ давший начало развитию инфраструктуры поддержки малого предпринимательства. Начавший свою деятельность Федеральный фонд поддержки малого предпринимательства явился первым государственным органом занимающимся исключительно вопросами поддержки малого бизнеса ( причем имеющим реальное финансирование так например на реализацию мероприятий Федеральной программы в 1996 году Фонду выделено из бюджета 386,6 млрд. рублей, собственные средства Федерального фонда составляют в настоящее время около 60,0 млрд. рублей) . Разработанная им целевая программа поддержки уже в прошлом 1996 году принесла реальные результаты : общий доход от использования собственных средств в 1996 году составил более 14,5 млрд. рублей. Так же произошли некоторые позитивные изменения в области финансово-экономической и информационной поддержки российского малого предпринимательства, формирования его инфраструктуры. Все это позволяет сделать вывод: начавшиеся изменения в сфере предпринимательства , показывают что меры государственной поддержки малого бизнеса и дальнейшем будут способствовать его развитию и процветанию .


ЗАКЛЮЧЕНИЕ

В настоящее время многое говорится о возрождении рос­сийского предпринимательства. Однако, если быть точным, то, что сегодня происходит в социально-экономической жизни Рос­сии, есть попытка вторичного возрождения предпринимательства в нашей стране. Первая попытка (после октября 1917 г.) была предпринята в процессе реализации так называемой но­вой экономической политики (НЭП), единственной — как пред­ставлялось в то время — формы вывода России из экономиче­ского и социального кризиса.

Наличие в любом обществе условий для предприниматель­ства, существование в таком обществе предпринимательского корпуса — это не только дань моде. Это и показатель уровня экономической свободы граждан, и отражение понимания про­грессивного характера предпринимательства со стороны пред­ставителей властных структур, определяющих, разрабатыва­ющих и реализующих экономическую политику, в том числе и в отношении предпринимательства.

Видимо, было бы неверно соглашаться с распространенным тезисом о том, что будущее России — за предпринимательством. Будущее России — за всеми нами и во многом будет опреде­ляться нашей способностью выработать эффективную концеп­цию бытоуложения. Но будущее России — и за предпринима­телями. Поэтому требуется профессиональный подход каждо­го, кто решил заняться этой формой экономической деятельно­сти, к исполнению своих предпринимательских функций.


Чудинов С.Ю.

13 ноября 1997

Литература :

  1. Агеев А. И. Предпринимательство: проблемы собственности и культуры. -М., 1991. Введение и гл. 1, с. -15.

  2. Бусыгин А. Предпринимательство : Основной курс . ,1997 -М.,1997

  3. Виленский А. Этапы развития малого бизнеса. Вопросы экономики . 1996 . -№7 . - С.38-41.

  4. Грачев И. Развитие малого предпринимательства // Деньги и кредит . 1997 . -№1 .-С.15-21.

  5. Грузинов В., Грибов В. Предпринимательство формы и методы организации предпринимательской деятельности // Экономика предприятия . - М., 1996

  6. Иващенко А. А. Товарная биржа. - М., 1991.

  7. Карлоф Б. Деловая стратегия. -М., 1991, с. 121-125.

  8. Котлер Ф. Основы маркетинга. -М„ 1990, с. 339-405, 468-473, 477-479.

  9. Курс экономики : Учебник . Основы предпринимательства . - М.,1997

  10. Кадзума Татеис и. Вечный дух предпринимательства. Прак­тическая философия бизнесмена. -М., 1990.

  11. Маршалл А. Принципы политической экономии. - М., 1984, т. III, гл. Ш, с. 53—73.

  12. Паловкин П.,Савченко В. Проблемы определения экономической сущности и содержания предпринимательства . Вестник МГУ , сер.6, Экономика . 1996 . - №2. -С.3-15.

  13. Прохоров В. Развитие малого бизнеса // Экономика и жизнь . 1996 . -№34 . -С.1-3.

  14. Шулус А. Становление системы поддержки малого предпринимательства в России ( спецкурс ) // Российский экономический журнал . 1997 . - №5-6,7. -С.84-101,83-99 .

  15. Шумпетер И. Теория экономического развития. -М., 1982 с. 184-194,211-225.

  16. Хизрич Р., Питере М. Предпринимательство, или как заве­сти собственное дело и добиться успеха. вып. 1. М., гл. 1, с. 11-50.

  17. Хоскинг А. Среда предпринимательства . Курс предпринимательства . -М. , 1993 . - С.22-25


1 Хизрич Р, Питере М. Предпринимательство. Вып. 1. М., 1991, с. 20.


2 См. Там же

3 *Хоскинг А. Курс предпринимательства. М., 1993, с. 28. **См.: Предпринимательство в конце XX века. М., 1992, с. 20.


4 Виленский А. Малый бизнес : трудности роста .

5 Виленский А. Малый бизнес : трудности роста . (см.табл1)

17



 
© 2012 Рефераты, доклады, дипломные и курсовые работы.