реферат
Главная

Рефераты по биологии

Рефераты по экономике

Рефераты по москвоведению

Рефераты по экологии

Краткое содержание произведений

Рефераты по физкультуре и спорту

Топики по английскому языку

Рефераты по математике

Рефераты по музыке

Остальные рефераты

Рефераты по авиации и космонавтике

Рефераты по административному праву

Рефераты по безопасности жизнедеятельности

Рефераты по арбитражному процессу

Рефераты по архитектуре

Рефераты по астрономии

Рефераты по банковскому делу

Рефераты по биржевому делу

Рефераты по ботанике и сельскому хозяйству

Рефераты по бухгалтерскому учету и аудиту

Рефераты по валютным отношениям

Рефераты по ветеринарии

Рефераты для военной кафедры

Рефераты по географии

Рефераты по геодезии

Рефераты по геологии

Реферат: Анализ издержек производства в коротком и длительном периоде

Реферат: Анализ издержек производства в коротком и длительном периоде

Содержание


Введение …………………………………………………………………5


1. Экономическое содержание и классификация издержек

производства………………………………………………………7

    1. Понятие издержек – виды и классификация…………………..7

    2. Издержки производства в краткосрочном периоде…………..12

    3. Издержки производства в долговременном периоде………...17


  1. Анализ эффективности издержек производства на примере

АООТ «Биохимик»……………………………………………….22

    1. Анализ издержек в краткосрочном периоде………………….22

    2. Динамика издержек на АООТ «Биохимик» в длительном

периоде ………………….……..………...………………….....35


  1. Совершенствование системы снижения издержек производства..43

    1. Факторы, влияющие на снижение издержек ………………....43

    2. Пути снижения издержек на АООТ «Биохимик»...…………..45


Заключение………………………………………………………………49

Список использованной литературы…………………………………..53

Приложения


Введение


Производство любого товара требует затрат экономи­ческих ресурсов, которые, в силу своей относительной редкости, имеют определенные цены. Количество ка­кого-либо товара, которое фирма стремится пред­ложить на рынке, зависит от цен (издержек) и эффективности использования ресурсов, необходимых для его производства, с одной стороны, и от цены, по которой товар будет продаваться на рынке, — с другой.

Затраты, издержки, себестоимость, являются важнейшими экономическими категориями. Их уровень во многом определяет величину прибыли и рентабельности предприятия, эффективность его хозяйственной деятельности. Снижение и оптимизация затрат являются одними из основных направлений совершенствования экономической деятельности каждого предприятия.

Издержки, которые фирма или отрасль несет при производстве заданного объема продукции, зависят от возможности изменения количества всех занятых ресурсов. Количество многих используемых ресурсов – большей части видов живого труда, сырья, топлива, энергии и т.д. – может быть изменено легко и быстро. Другие ресурсы требуют большего времени для освоения. Например, мощность обрабатывающего предприятия, т.е. площадь его производственных помещений и количество машин и оборудования в нем, может быть изменена лишь в течение значительного периода времени. В некоторых отраслях тяжелой промышленности изменение производственных мощностей может занять несколько лет. Поэтому, прежде чем сделать какие-либо шаги, любая фирма перед началом производства должна четко представлять на какую прибыль она может рассчитывать. Для этого она изучит спрос и определит, по какой цене будет продаваться продукция и сравнит предполагаемые доходы с издержками, которые предстоит понести.

Сущность затрат на производство и издержек производства не тождественны между собой в теоретическом и практическом планах, как на уровне общественного производства, так и в микроэкономике в отечественной и зарубежной практике. С позиций общества издержки на производство включают полный объем затрат живого и овеществленного труда и равны стоимости продукта. Затраты на производство отечественных предприятий состоят из их собственных расходов, а издержки зарубежных фирм включают нормативную прибыль.

Целью курсовой работы является исследование вопроса издержек производства, как в краткосрочном периоде, так и в долговременном периоде, а также проведение оценки эффективности затрат на производство на примере АООТ « Биохимик».

Данная тема при переходной рыночной экономике в России и Республике Мордовия еще долго будет оставаться актуальной. Это вытекает из того, что прибыль является основополагающим стимулом деятельности любого предприятия, а также повышает покупательский спрос населения на продукцию предприятия. В заключении работы мы попытаемся произвести анализ совершенствования системы снижения издержек производства.


  1. Экономическое содержание и классификация издержек производства

    1. Понятие издержек , виды и классификация

Понятие затрат предприятия существенно различается в за­висимости от их экономического назначения. Четкое разграни­чение затрат по их роли в процессе воспроизводства является оп­ределяющим моментом в теории и практической деятельности, о соответствии с ним на всех уровнях управления осуществляется группировка затрат, формируется себестоимость продукции, оп­ределяются источники финансирования. По воспроизведенному признаку затраты предприятия подразделяются на три вида:

• затраты на производство и реализацию продукции, обра­зующие ее себестоимость. Это текущие затраты, покрываемые из выручки от реализации продукции при посредстве кругооборота оборотного капитала;

• затраты на расширение и обновление производства. Как правило, это крупные единовременные вложения средств капи­тального характера под новую или модернизированную продук­цию. Они расширяют применяемые факторы производства, уве­личивают уставный капитал. Затраты состоят из капитальных вло­жений в основные фонды, прироста норматива оборотных средств, затрат на формирование дополнительной рабочей силы для но­вого производства. Эти затраты имеют особые источники финан­сирования: амортизационный фонд, прибыль, эмиссия ценных бумаг, кредит и проч.;

• затраты на социально-культурные, жилищно-бытовые и иные аналогичные нужды предприятия. Они прямо не связаны с производством и финансируются из специальных фондов, фор­мируемых в основном из распределяемой прибыли [ 20, т.2, с.45].

Затраты на производство и реализацию продукции (работ, услуг) представляют собой расходы предприятия, выраженные в денежной форме и связанные с использованием в процессе про­изводства сырья и материалов, комплектующих изделий, топлива, энергии, труда, основных фондов, нематериальных активов и дру­гих затрат некапитального характера. Они включаются в себесто­имость выпускаемой продукции, уровень которой определяет объем прибыли, рентабельность продукции и капитала, а также другие конечные показатели финансово-экономической деятель­ности предприятия.

Наиболее общее понятие издержек производства фирм у зарубежных авторов определяется как затраты на вво­димые факторы или экономические ресурсы. Все издержки при­нимаются как альтернативные (или вмененные), что означает, что стоимость любого ресурса, выбранного для производства, равна его ценности при наилучшем варианте использования. Это один из важнейших принципов рыночной экономики [ 35, c. 84].

Различают издержки экономические и бухгалтерские. Под эко­номическими издержками понимаются все виды выплат фирмы по­ставщикам за используемые ресурсы. Они состоят из двух видов: внешних (явных, или денежных) и внутренних (неявных, или имплицитных).

Внешние издержки представляют собой денежные платежи поставщикам ресурсов: оплату сырья, материалов, топ­лива, заработную плату, начисление износа и т.д. Эта группа из­держек и составляет бухгалтерские издержки, соответствующие за­тратам наших отечественных предприятий. Внутренние издержки фирм имеют неявный, имплицитный характер. Они отражают использование в производстве ресурсов, принадлежащих владель­цам фирмы: земли, помещений, их личного труда, нематериаль­ных активов и т.д., за которые фирма формально не платит. В обобщенном понимании внутренние издержки представляют собой доход на собственный, дополнительно используемый ресурс (капитал, землю, труд в пределах нормального процента или ренты, как если бы денежные средства были положены в банк, земля сдана в аренду и т.д.) и нормальную прибыль (она включает заработную плату и вознаграждение предпринимателя, как если бы он работал по найму). Предприниматели в действительности несут эти затраты, но не в явной, не в денежной форме, что по­зволяет включать их в экономические издержки. Отсюда:

(1.1.)

Понятие «экономические» издержки является общепринятым; бухгалтерские — исчисляются на практике: при подсчете реаль­ной суммы затрат, налогооблагаемой прибыли и т.п. [ 29, c. 182].

Затраты на производство и реализацию продукции (работ, услуг) классифицируются по ряду признаков:

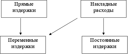
• по роли в процессе производства они подразделяются на основные и накладные. Основные затраты непосредственно фор­мируют создаваемый продукт, составляют его физическую основу: сырье, материалы, полуфабрикаты, заработная плата и т.п. На­кладные затраты связаны с обслуживанием процесса производ­ства: содержание оборудования, цехового и общезаводского пер­сонала и т.п.;

Существуют и другие виды издержек производства, которые делятся на прямые и косвен­ные (накладные), постоянные и переменные.

Прямые издержки АООТ “Биохимик”— это такие издержки, которые можно полностью отнести к товару или услуге. К ним относятся:

• стоимость сырья и материалов, используемых при производстве и реализации товаров и услуг;

• заработная плата рабочих (сдельная), непосредственно занятых производством товаров;

• иные прямые затраты (все расходы, которые так или иначе непосредственно связаны с товаром).

Косвенные (накладные) издержки завода — это издержки, не связанные напрямую с тем или иным товаром, а относятся к предприятию в целом, они включают:

• расходы на содержание административного аппарата;

• арендную плату;

• амортизацию;

• проценты за кредит и т.п.

Критерием разделения издержек на постоянные и переменные является их зависимость от объема производства.

Постоянные издержки - это издержки, которые не зависят от объема производства, их величина остается постоянной при изменении объема производства (арендная плата, амортизация, содержание зданий и др.).

Переменные издержки — это издержки, зависящие от объема производства. Прямые затраты на сырье материалы, рабочую силу и т.п. изменяются в зависимости от масштабов деятельности. Такие накладные расходы, как комиссионные торговым посредникам, плата за телефонные разговоры, траты на канцелярские товары, увеличиваются с расширением бизнеса, а поэтому в данном случае относятся к категории переменных издержек. Однако, в большинстве своем прямые издержки фирмы всегда относятся к категории переменных, а накладные расходы относятся к постоянным, переменные издержки увеличиваются или уменьшаются под влиянием динамики выпуска продукции.



Схема 1. Взаимосвязь между двумя видами классификации издержек


Деление издержек на постоянные и переменные подразуме­вает условное выделение краткосрочного и долгосрочного пери­одов в деятельности завода. Под краткосрочным понимают такой период в работе предприятия, когда часть ее издержек являются постоянными. Иными словами, долгосрочном периоде она может расширять свои масштабы, поэтому в данном АООТ «Биохимик» не покупает нового оборудования, не строит новых зданий и т.д. В периоде все ее издержки являются перемен­ными.

Под средними понимаются издержки завода на производство и реализацию единицы товара. Выделяют:

• средние постоянные издержки AFC, которые рассчитывают путем деления постоянных издер­жек фирмы на объем производства;

• средние переменные издержки AVC, исчисляемые путем деления переменных издержек на объем производства;

• средние валовые издержки или полная себестоимость единицы изделия АТС, которые опреде­ляют как сумму средних переменных и средних постоянных из­держек или как частное от деления валовых издержек на объем выпуска (их графическое выражение в приложении 3).

• по способам учета и группировки затрат они подразделя­ются на простые (сырье, материалы, зарплата, износ, энергия и т.п.) и комплексные, т.е. собираемые в группы либо по функцио­нальной роли в процессе производства (малоценные и быстроизнашиваемые предметы), либо по месту осуществления затрат (це­ховые расходы, общезаводские расходы и т.п.);

• по срокам использования в производстве различаются каж­додневные, или текущие, затраты и единовременные, разовые за­траты, осуществляемые реже чем один раз в месяц а для экономического анализа затрат используются предельные издержки.

Прирост издержек, связанный с выпуском дополнительной единицы продукции, т.е. отношение прироста переменных издер­жек к вызванному ими приросту продукции, называется предельными издержками предприятия МС[47, с.235].

(1.2.)

где VС — прирост переменных издержек;

Q вызванный ими прирост объема производства.

    1. Издержки производства в краткосрочном периоде

Издержки производства какого-либо продукта дан­ной фирмой зависят не только от цен необходимых ресурсов, но и от технологии — от количества ресу­рсов, которое необходимо для производства. Имен­но это, то есть технологический аспект формирова­ния издержек, и интересует нас в данный момент. В течение краткосрочного периода фирма может изменить объем производства путем соединения из­меняющегося количества ресурсов с фиксированны­ми мощностями. Вопрос: каким образом будет из­меняться объем производства, по мере того как все большее и большее количество переменных ресур­сов будет присоединяться к фиксированным ресур­сам фирмы? [ 9, c. 321].

В самой общей форме ответ на этот вопрос дает закон убывающей отдачи, который также на­зывается "законом убывающего предельного проду­кта", или "законом изменяющихся пропорций". Этот закон утверждает, что, начинам с определенного момента, последовательное присоединение единиц пе­ременного ресурса (например, труда) к неизменному, фиксированному ресурсу (например, капиталу или зе­мле) дает уменьшающийся добавочный, или предель­ный, продукт в расчете на каждую последующую единицу переменного ресурса.

Иначе говоря, если количество рабочих, обслу­живающих данное машинное оборудование, будет увеличиваться, то рост объема производства будет происходить все медленнее, по мере того, как боль­ше рабочих будет привлекаться к производству [ 19, c. 383].

Для иллюстрации этого закона приведем логическое объяснение. Представьте, что фермер имеет фиксированное количество земли — скажем, 80 га, — на которой выращиваются зерновые. При предположении, что фермер вовсе не занимает­ся культивацией почвы, урожай с его полей соста­вит, например, 40 ц с одного га. Если почва будет обработана один раз, урожай может подняться до 50 бушелей с акра. Вторая обработка может увеличить урожай до 57 ц. с га, третья — до 61, а четвертая, скажем, до 63. Даль­нейшая же обработка почвы принесет лишь очень малую или даже нулевую прибавку к урожаю. По­следующая обработка вносит все меньший и мень­ший вклад в продуктивность земли. Если бы дело обстояло иначе, мировые потребности в зерне мог­ли бы быть удовлетворены путем исключительно интенсивной обработки одного только этого, восьмидесятигектарного участка земли. Действительно, если бы не происходило убывающей отдачи, весь свет можно было бы накормить урожаем из одного цветочного горшка .

Закон убывающей отдачи применим также и к несельскохозяйственным отраслям. Например, АООТ «Биохимик» цех №3 изготавливает препарат ампициллина натриевая соль. В цехе имеется определенное количество оборудования — токарных и строгальных станков, пил и т.п. Если бы эта фирма наняла всего одного или двух рабочих, общий объем производства и уровень производительности (в рас­чете на одного работника) оказались бы очень низ­кими. Этим рабочим пришлось бы выполнять целый ряд различных трудовых операций, а преимущества специализации не смогли бы быть реализованы. Кроме того, рабочее время терялось бы всякий раз при переходе рабочего от одной операции к другой, а машины значительную часть времени стояли бы без дела. Короче, цех оказался бы недоуко­мплектованным рабочими, а производство, следова­тельно, было бы неэффективным. Производство бы­ло бы неэффективным по причине избытка капитала по сравнению с трудом. Эти затруднения исчезли бы по мере увеличения количества работников. Обору­дование при этом использовалось бы более полно, а рабочие могли бы специализироваться на выпол­нении отдельных операций. В результате были бы исключены потери времени при переходе от одной операции к другой. Таким образом, по мере увеличе­ния количества рабочих на недоукомплектованном предприятии, добавочный, или предельный, про­дукт, производимый каждым следующим рабочим, будет иметь тенденцию к росту вследствие увеличе­ния эффективности производства. Однако это не может продолжаться до бесконечности .

Дальнейшее увеличение количества рабочих со­здаст проблему их избытка. Теперь рабочим придется стоять в очереди, чтобы воспользоваться станком, то есть рабочие будут недоиспользоваться. Общий объ­ем производства начнет расти замедляющимися тем­пами, так как при фиксированных производственных мощностях на каждого рабочего будет приходиться тем меньшее количество оборудования, чем больше будет нанято рабочих. Добавочный, или предельный, продукт дополнительных рабочих будет сокращаться по мере все более интенсивного укомплектования цеха персоналом. Теперь на нем будет боль­ше труда в пропорции к неизменной величине капи­тальных фондов. В конечном счете, продолжающееся увеличение количества рабочих в цехе при­вело бы к заполнению ими всего свободного простра­нства и к остановке процесса производства [13, c. 14].

Следует подчеркнуть, что закон убывающей от­дачи основан на предположении, согласно которому все единицы переменных ресурсов — все рабочие в нашем примере — качественно однородны. То есть предполагается, что каждый добавочный рабо­чий обладает такими же умственными способностями, координацией движений, образованием, квалификацией, трудовыми навыками и т.д. Предельный продукт начинает убывать не потому, что нанятые позднее рабочие оказались менее квалифицированными, а потому, что относительно большее количество занято при той же величине имеющихся капитальных фондов. ( Приложение 1).

Числовой пример. Приложение 1 представляет со­бой более наглядную числовую иллюстрацию зако­на убывающей отдачи. В колонке 2 показано общее количество продукции, которая может быть получе­на в результате комбинации каждого количества трудовых ресурсов, взятого из колонки 1, с капи­тальными фондами, величина которых предполага­ется неизменной. В колонке 3 (предельная производительность) показано изменение об­щего объема производства, связанное с каждым до­полнительным вложением труда. Обратите внима­ние, что при отсутствии трудовых затрат объем производства равен нулю; предприятие без людей не сможет давать продукции. Появление первых двух рабочих сопровождается растущей отдачей, по­скольку их предельные продукты составляют 5 и 7,5 единиц соответственно. Но затем, начиная с третье­го рабочего, предельный продукт — прирост обще­го объема производства — последовательно убыва­ет, так что для восьмого рабочего он сводится к ну­лю, а для девятого приобретает отрицательное зна­чение. Средняя производительность, или объем производства в расчете на одного рабочего (называемый также производительностью труда), показана в колонке 4. Она вычислена путем деления объема производства (колонка 2) на соответству­ющее количество рабочих (колонка 1).

Графическое изображение. На рисунках 2а и 2б (Приложение 2) закон убывающей отдачи изображен графически, что весьма полезно для получения более полного представ­ления о соотношении между общим объемом произво­дства, предельной и средней производительностью. Прежде всего, заметьте, что кривая общего объема производства проходит три фазы: сначала она подни­мается вверх ускоряющимся темпом; затем темп ее возвышения замедляется; наконец он достигает макси­мальной точки и начинает снижаться. Предельная производительность на графике — это угол наклона кривой общего объема производства. Иначе говоря, предельная производительность измеряет темп изменения общего объема производства, связанного с каждым присоединяющимся рабочим. Поэтому три фазы, через которые проходит общий объем производства, отражаются и в динамике предельной производительности. Если общий объем производства возрастает с увеличивающейся скоростью, предельная производительность неизбежно растет. На этом этапе добавочные рабочие вносят все больший и больший вклад в общий объем производства. Далее, если объем производства растет, но с убывающей скоростью, предельная npoизводительность имеет положительное значение, но падает. Каждый добавочный рабочий вносит меньший вклад в общий объем производства по сравнению со своим предшественником. Когда общий объем производства достигает максимальной точки, предельная производительность равна нулю. А когда общий объем производства начинает отражаться, предельная производительность приобретает отрицательное значение.

Динамика средней производительности отражает ту "дугообразную" зависимость между переменными вложениями труда и объемом произ­водства, которая характерна для предельной про­изводительности. Однако следует обратить внима­ние на одно обстоятельство, касающееся соотноше­ния предельной и средней производительности: там, где предельная производительность превыша­ет среднюю, последняя возрастает. А везде, где предельная производительность меньше средней, средняя производительность снижается. Отсюда следует, что кривая предельной производительно­сти пересекает кривую средней производительности как раз в той точке, в которой последняя достигает своего максимума. Такое соотношение математи­чески неизбежно. Если к сумме прибавить число, превышающее среднюю из составляющих ее вели­чин, то эта средняя должна увеличиться. А если число, прибавленное к сумме величин, меньше их средней величины, то эта средняя с необходимо­стью падает. Средний уровень ряда величин растет лишь при условии, что выигрыш от применения добавочной (предельной) единицы ресурса оказыва­ется больше среднего из всех предыдущих выигры­шей. Если же добавленная величина окажется ме­ньше "текущей" средней, то среднюю в результате потянет вниз. В нашем примере средняя произ­водительность будет расти до тех пор, пока вели­чина продукта, добавленного добавочным рабочим к общему объему производства, превышает вели­чину "среднего продукта", или среднюю произ­водительность ранее занятых рабочих. И наоборот, добавочный рабочий будет способствовать пониже­нию "среднего продукта", или производительно­сти, если величина, добавленная им к общему объему производства, меньше величины "среднего продукта".

Закон убывающей отдачи находит свое вопло­щение в форме всех трех кривых. Однако, как следу­ет из приведенной выше формулировки закона, эко­номистов интересует, прежде всего, предельная про­изводительность. Соответственно мы различаем стадии роста, убывания и отрицательного значения предельной производительности (см. рис. 2а 2б в приложении 2). Еще раз взглянув на колонки 1 и 3 , мы заметим рост отдачи от привлечения к производству первых двух рабочих, убывание отдачи, связанное с использованием труда третьего, четвертого и так далее до восьмого рабочего, и "отрицательную от­дачу" (абсолютное уменьшение объема производст­ва), начиная с девятого рабочего [ 18, c. 54].


    1. Издержки производства в долговременном периоде

В течение длительного периода времени все же­лательные изменения в структуре ресурсов могут быть предприняты как отраслью, так и отдельными составляющими ее фирмами. Фирма может изме­нить масштабы своих производственных мощно­стей; она может установить дополнительное обо­рудование или оставить в своем владении меньшее количество оборудования. Отрасль в целом также может изменить свои масштабы; долговременный период достаточен для того, чтобы новые фирмы могли вступить в отрасль, а уже существующие — по­кинуть ее. Последствия вступления фирм в отрасль или оттока из нее будут рассмотрены в следующей главе; здесь же нас будут интересовать лишь те изменения производственных мощностей, которые предпринимаются отдельными фирмами. Обсуждая эти приспособительные изменения, мы будем опи­раться в своем анализе на понятие АТС, не проводя никакого различия между постоянными и перемен­ными издержками, поскольку все ресурсы и, сле­довательно, все издержки являются переменными в долговременном периоде.

Представьте себе, что небольшое предприятие обрабатывающей промышленности сначала развер­нуло минимальные производственные мощности, а затем, благодаря успешной экономической деятельности, все

График 1.1. Кривая долгосрочных средних издержек: пять возможных размеров предприятия

больше и больше расширялось. Что будет происходить со средними общими издержками в процессе этого роста предприятия? Ответ таков. Сначала какое-то время расширение производственных мощностей будет сопровождаться снижением средних общих издержек. Однако, в конце концов ввод все больших и больших мощностей приведет к росту АТС.

На графике эта закономерность проиллюстрирована применительно к пяти различным размерам предприятия. Кривая АТС-1 показывает динамику средних общих издержек для самого маленького из пяти предприятий, кривая АТС-5 — для самого большого. Соотношение между этими пятью кривыми в точности соответствует изложенному выше правилу. Строительство все более крупных предприятий будет приводить к снижению минимальных издержек на производство единицы продукции вплоть до достижения размеров третье предприятия. Однако за этим пределом расширен производственных мощностей будет означать повышение минимального уровня средних общих издержек.

Принципиальное значение имеют тонкие лини перпендикулярные горизонтальной оси. Они показывают те объемы производства, при которых фирме следует изменить размер предприятия, чтобы обеспечить себе возможно более низкие издержки производства единицы продукции. Посмотрим на рисунок. При любом объеме производства меньше 20 единиц минимальные издержки производства единицы продукции достигаются на предприятии. Однако если объем продаж фирмы превышает 20 единиц, но меньше 30 единиц, она сможет добиться более низких издержек производства, построив более крупное предприятие — предприятие 2. Несмотря на то что сумма общих издержек при больших масштабах производства будет большей, издержки производства единицы продукции окажутся ниже, чем прежде. При любых объемах производства в промежутке от 30 до 50 единиц наименьшие издержки производства единицы продукции обеспечит предприятие 3. При объеме производства от 50 до 60 единиц для достижения наименьших издержек следует строить предприятие 4. А при объеме производства, превышающем 60 единиц, достижение той же цели требует строительства предприятия 5.

Наблюдая за этими приспособительными изменениями, можно заключить, что кривая долгосрочных АТС для отдельной фирмы состоит из участка кривых краткосрочных АТС применительно к различным размерам тех предприятий, которые могут быть построены. Кривая долгосрочных средних общих издержек (АТС) показывает наименьшие издержки производства единицы продукции, с которыми может быть обеспечен любой объем производства при условии, что фирма имела в свое распоряжении достаточно времени для проведения всех необходимых изменений в размерах предприятия. На графике жирной линией показана кривая долгосрочных АТС фирмы или как ее часто называют, кривая выбора (или плановая кривая) фирмы.

Для большинства видов производства возможности выбора размеров предприятия куда шире, чем мы предположили в нашем примере. Фактически во многих отраслях количество возможных paзмеров предприятия совершенно не ограничено. А это значит, что самые малые изменения в объеме выпускаемой продукции (в объеме продаж) со временем подталкивают к соотве­тствующим изменениям в размерах предприятия.

В следующей главе мы рассмотрим подробнее издержки в краткосрочном и долгосрочном периоде на примере АООТ «Биохимик». Анализ издержек проведем на примере препарата пенициллина натриевая соль.


  1. Анализ эффективности издержек производства

на примере АООТ «Биохимик»


    1. Анализ издержек в краткосрочном периоде

Рассмотрим издержки в процессе производства и сбыта товаров и услуг на АООТ «Биохимик». В теории издержек важное значение имеет их классификация на постоянные, переменные, валовые, средние и предельные. Постоянные издержки не зависят от объема производства и реализации продукции. Они включают, плату за аренду и содержание помещений, амортизацию, проценты за кредит, накладные расходы и т.д. Постоянные расходы обозначаются «FC». К переменным издержкам относятся те, которые увеличиваются или уменьшаются вместе с объемом выпуска продукции, а именно: расходы на сырье, материалы, оплату труда про­изводственных рабочих и другие изменяющиеся затраты. В теории издержек они имеют символ «VC». Сумма постоянных и переменных расходов составляет валовые, или общие, издержки, обозначаемые как «ТС». Средние из­держки представляют собой затраты, приходящиеся на единицу изготовляемой продукции, — «АС». Под пре­дельными издержками «МС» понимается сумма увеличения расходов, связанная с выпуском дополнитель­ной единицы продукции по сравнению с данным объемом выпуска. При увеличении или сокращении объема производства важно знать средние затраты, приходящиеся на дополнительный выпуск продукции, и сравнить их с фактически сложившимися средними величинами. Это позволяет определить оптимальный объем продукции с точки зрения минимизации затрат. Предельные издержки рассчитываются на каждую последующую единицу изделий по­средством вычитания из суммы валовых издержек их предшествующего значения.

Взаимосвязь валовых, средних и предельных расходов является ключевым моментом в теории издержек, лежащим в основе расчетов оптимального объема производства, минимизации затрат и максимизации прибыли. Например, на АООТ «Биохимик» внутренние и внеш­ние факторы производства остаются неизменными, в том числе и цены на ресурсы и продукцию. Используются только два ресурса: постоянный — капитал в сумме 4385541 (FC) и переменный .

Представим динамику общих и средних издержек АООТ «Биохимик» в краткосрочном периоде ( таблица 2.1.) по препарату пенициллина натриевая соль за 1997 год.

Таблица 2.1.

количество произведенной продукции, млн. флаконов

сумма постоянных издержек

сумма переменных издержек

сумма общих издержек

средние постоянные издержки средние переменные издержки

средние общие издержки

предельные издержки
0 4385541 0 4385541 - - - -
10 4385541 6276367 10661908 438554,1 627636,7 1066190,8 627636,7
20

4385541

12443147 16828688 219277,05 622157,35 841434,4 616678,0
30 4385541 18575205 22960746 146184,7 619173,5 765358,2 613205,8
40 4385541 23994232 28379773 109638,52 539855,8 709494,32 541902,7
50 4385541 29158260 33543801 87710,82 583165,2 670876,02 516402,8
60 4385541 34820877 39206418 73092,35 580347,95 653440,3 556261,7
70 4385541 40584133 44969674 62650,585 579773,33 642423,92 576325,6
80 4385541 46546160 50931701 54819,262 581827 636646,26 596202,7
90 4385541 52709797 57095338 48728,233 585664,41 634392,64 616363,7
100 4385541 59273927 63659468 43855,41 592739,27 636594,68 656413,0
110 4385541 66275375 70660916 39868,554 602503,4 642371,95 700144,8
120 4385541 73397428 77782969 36546,175 611645,23 648191,4 712205,3

  1. Сумма постоянных издержек при любом уровне производства ( от 10 млн. Флаконов) остается неизменной 4385501, включая нулевой показатель, т.к. величина постоянных издержек не зависит от количества произведенной продукции.

  2. Сумма переменных издержек изменяется в зависимости от изменения объема производства, поэтому переменные издержки возрастают ( с 0 до 7839428) при повышении объема производства с 10 до 120 млн флаконов. Однако следует отметить, что прирост суммы переменных издержек, связанный с увеличением объема производства на 10 млн флаконов, не является постоянным. В начале процесса увеличения производства переменные издержки будут какое-то время возрастать уменьшающимися темпами; и так будет продолжаться до 40 млн. Флаконов. Затем переменные издержки начнут увеличиваться нарастающими темпами. Такое поведение переменных издержек обусловливается законом убывающей отдачи ( рассмотренном в первом разделе).

  3. Общие издержки = постоянные издержки + переменные издержки (2.1.)

Например, 4385541 +6276367 = 10661908

4385541+12443147=16828688

такие же расчеты производятся дальше по таблице

Из таблицы видно, что при нулевом объеме производства общая сумма издержек равна сумме постоянных издержек. Затем, при производстве каждого дополнительного количества продукции ( с 10 до 120 млн. флаконов) общая сумма издержек изменяется на туже величину, что и сумма переменных издержек. Максимальное значение общих издержек 77782969 снижается при максимальном объеме производства 120 млн. флаконов.

Постоянные издержки

4. Средние постоянные издержки = ------------------------------------ (2.2.)

количество произведенной продукции


Например,

Как видно из таблицы средние постоянные издержки снижаются с 438554,1 до 36546, 195 по мере увеличения объема производства с 10 до 120 млн флаконов. Это связано с тем, что средние постоянные издержки не зависят от объема производства. С ростом объема производства сумма постоянных издержек распределяется на все большее и большее количество флаконов пенициллина натриевой соли. Значит, средне постоянные издержки будут тем меньше, чем больше продукции производит АООТ «Биохимик».

Переменные издержки

5. Средние переменные издержки = ------------------------------- (2.3.)

Количество произведенной продукции


Например,

Как можно заметить, средние переменные издержки сначала снижаются, достигая своего минимального значения 579773, 33 при объеме производства 70 млн. флаконов, а затем начинают расти до 611645, 23 при производстве 120 млн. флаконов, т.к. суммы постоянных издержек подчиняются закону убывающей отдачи, то это должно отразиться на средних переменных издержках, рассчитываемых на их основе. На стадии возрастающей отдачи все меньше и меньше дополнительных переменных ресурсов требуется для производства каждого из 70 первых миллионов флаконов. В результате происходит снижение переменных издержек в расчете на единицу продукции. При производстве 80 других миллионов флаконов средние переменные издержки начнут возрастать, поскольку убывание отдачи обусловит необходимость использования большего и большего количества переменных ресурсов.


6. Средние общие издержки = средние постоянные издержки +средние

общие издержки

переменные издержки = ---------------------- (2.4.)

количество производимой продукции

Например,

Анализируя таблицу 2.1. также можно сделать вывод, что средние общие издержки имеют максимальную величину 1066190,8 при минимальном объеме производства 10 млн. флаконов, затем они начинают постепенно снижаться до объема производства 90 млн. флаконов, а затем они незначительно возрастают.

Изменение общих издержек

7. Предельные издержки = -------------------------------------- (2.5.)

изменение объема производства

Например,

Можно сделать вывод, что предельные издержки сначала снижаются, достигая своего минимума 516402,8 при объеме производства 50 млн. флаконов, а затем возрастают. Это отражает тот факт, что переменные издержки сначала растут убывающими, а затем нарастающими темпами.

Далее рассмотрим производство пенициллина натриевой соли в 1998 и 1999 годах.

Представим динамику общих и средних издержек АООТ «Биохимик» в краткосрочном периоде ( Таблица 2.2. ) по препарату пенициллина натриевая соль за 1998 год

Таблица 2.2.

количество произведенной продукции, млн. флаконов

сумма постоянных издержек

сумма переменных издержек

сумма общих издержек

средние постоянные издержки средние переменные издержки

средние общие издержки

предельные издержки
0 2509255 0 2509255 - - - -
10 2509255 3223183 5732438 250925,5 322318,3 573243,8 322318,3
20 2509255 6247298 8756553 125462,75 312364,9 437827,65 302411,5
30 2509255 9234510 11743765 83641,833 307817 391458,83 298721,2
40 2509255 11986653 14495908 62731,375 299666,32 362397,7 275214,3
50 2509255 14824194 17333449 50185,1 296483,88 346668,98 283754,1
60 2509255 17751446 20260701 41820,916 295857,43 337678,35 292725,2
70 2509255 20778787 23288042 35846,5 296839,81 332686,31 302734,1
80 2509255 23906002 26415257 31365,687 298825,02 330190,7 312721,5
90 2509255 27113220

29622475

27880,611 301258 329138,61 320720,0
100 2509255 30368361 32877616 25092,55 303683,61 328776,16 325514,1
110 2509255 33673923 36183178 22811,409 306126,57 328937,98 330556,2
120 2509255 38678196 41187451 20910,46 322318,3 343228,76 500427,3

Из таблицы 2.2. видно:

  1. постоянные издержки по препарату пенициллина натриевая соль постоянны, т.к. они не зависят от объема производства.

  2. постоянные издержки возрастают при увеличении количества произведенной продукции.

  3. Общие издержки = постоянные издержки + переменные издержки (2.6.)

Например, 2509255+3223183 = 5732438

2509255+6247298 = 8756553

Также нужно отметить, что сумма общих издержек повышается при увеличении объема производимой продукции.

Постоянные издержки

4. Средние постоянные издержки = --------------------------------------------- (2.7.)

Количество произведенной продукции

Например,

Поскольку сумма постоянных издержек не зависит от объема производства, то следовательно средние постоянные издержки будут падать по мере увеличения объема.

Переменные издержки

5. Средние переменные издержки = --------------------------------------- (2.8.)

Количество произведенной продукции

Например,

Можно заметить, что средние переменные издержки с увеличением объема производства снижаются до уровня 295857,43, а затем возрастают при дальнейшем увеличении объема производства.

6. Средние общие издержки = средние постоянные издержки + средние переменные издержки (2.9.)

Например, 250925,5+322318,3 = 573243,8

125462,75+312364,9 = 437827,65 и т.д.

Из таблицы 2.2. видно, что средние переменные издержки имеют максимальное значение при минимальном объеме производства 10 млн флаконов, затем по мере увеличения объема производства они редко падают до уровня 328776,16 но при увеличении объема производства до 120 млн флаконов незначительно возрастают.

Изменения общих издержек

7. Предельные издержки = ---------------------------------------- (2.10.)

Изменение объема производства

Например,

Можно сказать о снижении предельных издержек при увеличении объема производства, достигая минимального значения 275214,3 при производстве 40 млн. флаконов, затем значительно возрастают и достигают максимального значения 500427,3 при производстве 120 млн. флаконов.

Представим динамику общих и средних издержек АООТ «Биохимик» в краткосрочном периоде ( Таблица 2.3.) по препарату пенициллина натриевая соль за 1999 год.

Таблица 2.3.

количество произведенной продукции, млн. флаконов

сумма постоянных издержек

сумма переменных издержек

сумма общих издержек

средние постоянные издержки средние переменные издержки

средние общие издержки

предельные издержки
0 2211056 0 2211056 - - - -
10 2211056 1812781 4023837 221105,6 181278,1 402383,7 181278,1
20 2211056 3416296 5627352 110552,8 170814,8 281367,6 160351,5
30 2211056 4919041 7130097 73701,866 163968,03

237669,9

150274,5
40 2211056 6332298 8543354 55276,4 158307,45 213583,85 141325,7
50 2211056 7829017 10040073 44221,12 156580,34 200801,46 149671,9
60 2211056 9431017 11642073 36850,933 157183,61 194034,55 160200,0
70 2211056 1123539 13444595 31586,514 16050,557 192065,64 180252,2
80 2211056 13136793 15347849 27638,2 164209,91 191848,11 190325,4
90 2211056 15139334 17350390 24567,288 168214,82 192782,11 200254,1
100 2211056 17193689 19404745 22110,56 171936,89 194047,45 205435,5
110 2211056 19299969

21511025

20100,509 175454,26 195554,77 210628,0
120 2211056 21745344 23956400 18425,466 181211,2 199636,66 244537,5

Из таблицы видно:

Постоянные издержки, не зависимо от объема производства, остаются постоянными.

Как и в 2-х предыдущих случаях сумма переменных издержек увеличивается с повышением объема производимой продукции.

ТС=FC+VC (2.11.)

Например, 2211056+1812781 = 4023837

2211056+3416296 = 5627352 и т.д.

Общие издержки также возрастают при увеличении объема производства

4. (2.12.)

Например,

Следует отметить, что средние постоянные издержки сначала падают, достигая своего минимального значения 50022,95 при объеме производства 20 млн. флаконов, а затем начинают расти, достигая максимального значения 181211,2 при объеме производства 120 млн. флаконов.

5. (2.13.)

Например,

Следует отметить, что средние переменные издержки сначала падают, достигая своего минимального значения 156580,34 при объеме производства 50 млн. флаконов, а затем начинают расти, достигая максимального значения 181211,2 при объеме производства 120 млн. флаконов.

6. АТС = АFC+АVС (2.14.)

Например, 221105,6+181278,1=402383,7

110552,8+170814,8=281367,6 и т.д.

или (2.15.)

Например,

Из таблицы видно, что средние общие издержки максимальны (321105,6) при минимальном объеме производства ( 10 млн. флаконов) с увеличением производства до 8 млн. флаконов они резко падают и остаются приблизительно на одинаковом уровне, а при достижении максимального объема производства они постепенно возрастают.

7. (2.16.)

Например,

и т.д.

Можно заметить, что предельные издержки сначала резко снизились, а потом постепенно стали возрастать, достигая максимального значения 244537,5 при объеме производства 120 млн. флаконов.

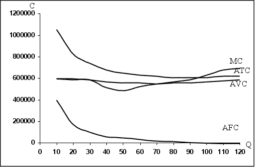
Теперь изобразим графически взаимосвязь общих, средних и предельных издержек с объемом производства (график 2.1.) на 1999 год.

График 2.1.




Построим также график общих, средних и предельных издержек по препарату пенициллина натриевая соль за 1998 год (график 2.2)

График 2.2.


Q

C

ATC

MC

AVC

AFC



Теперь построим также график общих, средних и предельных издержек по препарату пенициллина натриевая соль за 1997 год (график 2.3)

Г

TC

VC

FC

C

Q

рафик 2.3.




Графическое изображение динамики этих издержек состоит из двух уровней: верхний график отражает движение кривых общих издержек, а нижний — средних и предельных величин. По оси х отложен общий объем продукции, по оси у на верхнем гра­фике — валовые издержки, на нижнем графике — средние.

Кривая общих постоянных издержек (TFC) представляет собой линию, параллельную оси х. Кривые валовых и общих пере­менных издержек имеют общую направленность, с той лишь раз­ницей, что кривая переменных затрат изменяется более круто, а кривая валовых издержек — более полого. На нижнем графике кривая средних постоянных издержек представлена ниспадающей линией, вначале с крутым уклоном, а затем со все более замед­ленным. Графики средних общих и средних переменных издержек во многом схожи в своих очертаниях, но общие затраты вначале быстрее снижаются, а переменные, напротив, круче возрастают.

Отличительной чертой динамики предельных издержек является как более глубокий спад, так и значительно более высокий угол возрастания.

Правила, или закономерности, движения кривых средних и общих издержек можно сформулировать в следующих положениях:

1. В точке А, где кривая предельных издержек достигает ми­нимального значения, линия ТС—общих издержек—делает прогиб и из выпуклой становится вогнутой. Это означает, что приросты затрат теперь будут нарастать быстрее, чем темп выпуска продукции. Если вспомнить динамику кривой общего продукта ТР, то в точке максимума предельного продукта МР кривая общего продукта ТР делает тоже перегиб, но она из вогнутой переходит в выпуклую, т.е. приросты продукта начинают снижаться. Здесь же наоборот: после точки минимума предельных издержек А темп прироста валовых издержек начинает обгонять темп увеличения продукции. Для деятельности фирмы этот момент имеет важное значение, хотя он не свидетельствует о необходимости прекраще­ния развития производства.

2. Кривая предельных издержек МС пересекает линии средних переменных затрат A VC (точка В) и средних общих затрат АТС (точка С) в точках их наименьших значений. После этих пересе­чений каждая последующая единица продукта будет содержать все большую величину переменных и общих средних затрат. Кривые AVC и АТС перемещаются на графике вверх и вправо, а до пере­сечения с МС они снижались.

В точке, где кривая средних издержек АТС достигает миниму­ма, фирма оптимизирует объем производства с точки зрения ми­нимизации затрат. В нашем примере это точка С. С этого момента предельные издержки резко возрастают и увеличивают средние затраты. Оптимальный объем выпуска продукции будет состав­лять 97 ед в 1997 г, 105 ед. в 1998 г. и 67 ед. в 1999 г . Дальнейшее расширение производства (при прочих не­изменных условиях) будет неэффективно. Незагруженный капи­тал должен найти другое, более выгодное применение.

3. Производительность труда и издержки на производство нахо­дятся в обратно пропорциональной зависимости: пока предельная производительность растет, предельные издержки падают; сни­жение предельной выработки ведет к росту издержек.

4. При принятых условиях кривая предельного продукта МР и кривая предельных издержек МС имеют зеркальное отражение между собой. [Приложение 4].

Постоянные и переменные расходы связаны с объемом про­изводства и себестоимостью продукции по-разному. При незна­чительном объеме производства средние показатели себестоимос­ти отдельных видов продукции формируются в основном за счет постоянных расходов, т.е. они имеют наибольший удельный вес в общих затратах. С ростом объема производства средние издерж­ки снижаются за счет распределения постоянных расходов между большим количеством произведенной продукции.

Переменные расходы, наоборот, с увеличением объема растут, но затем наступает момент, когда реализуется эффект экономии на масштабе производства. Рост переменных издержек замедля­ется по сравнению с ростом производства. При значительном уве­личении производства вступает в силу закон убывающей доход­ности (отдачи), тогда темпы роста переменных расходов опере­жают аналогичные показатели производства продукции. Поэтому важно выбрать «золотую середину» при определении объема про­изводства и цен на продукцию.

Теперь перейдем к рассмотрению издержек на АООТ «Биохимик» в длительном периоде на примере пенициллина натриевой соли.

    1. Динамика издержек на АООТ «Биохимик»

в длительном периоде.

Особенностью длительного периода является то, что в нем все издержки переменные. На АООТ «Биохимик» долговременный период занимает 3 года. Это означает, что за это время предприятие может изменить свои мощности, может установить дополнительное оборудование или оставить в своем владении меньшее количество оборудования.

Представим динамику издержек АООТ «Биохимик» в долгосрочном периоде (таблица 2.4.) по препарату пенициллина натриевая соль.

Таблица 2.4.

издержки годы
1997 1998 янв.- сент. 1999
постоянные 4385541 2509255 2211056
переменные 73397428 38678206 21745344
общие 77782969 41187461 23956400
средние общие (на тыс. флаконов) 664 694 969
средние постоянные (на тыс. флаконов) 37 42 89
средние переменные (на тыс. флаконов) 627 652 880

На основе данных таблицы 2.4.произведем динамику затрат за 1997-1999 года.

1997-1998 г.г.

Постоянные:

Другими словами, в 1998 году по сравнению с 1997 г. постоянные издержки снизились на 42,8%.

Переменные:

Следовательно, в 1998 году по сравнению с 1997 годом переменные издержки снизились на 47,3% вследствие снижения объема производства в 1998 г.

Общие:

из этого следует, что общие издержки снизились на 49,7% в 1998 г. по сравнению с 1999 г., т.к. переменные издержки снизились.

Средние общие:

Значит, средние общие издержки возросли на 4,5 % в 1998 г. вследствие повышения цен на потребляемое сырье и материалы и изменения 3цен на продукцию.

Средние постоянные:

Следует из этого, что средние постоянные издержки возросли на 113,5%.

Средние переменные

Другими словами, средние переменные издержки возросли в 1998 г. на 4%.

1998-1999:

Постоянные

Следовательно, в 1999 г. снизились на 11,9%.

Переменные

Следовательно, переменные издержки в 1999 г. снизились на 41,9% т.к. снизились переменные издержки.

Общие:

Значит, в 1999 году общие издержки снизились на 41,9%, т.к. снизились переменные издержки.

Средние общие:

Этот говорит о повышении средних общих издержек на 39,6% из-за увеличения цены на сырье и материалы, изменения цен на продукцию, повышения курса доллара.

Средние постоянные:

Видно повышение средних постоянных издержек на 119% вследствие инфляции.

Средние переменные:

Следовательно, в 1999 г. средние переменные издержки возросли на 35,0% из-за повышения цен. Из вышеприведенного можно сделать вывод, что минимальные общие издержки были в прошедшем периоде 1999 г. Это связано с тем, что объем произведенной продукции снизился. Это видно из таблицы об объеме произведенной продукции ( Приложение 5).

А средние издержки, т.е. затраты на единицу продукции, наоборот, в 1999 г. максимальны.

Это связано с повышением себестоимости единицы продукции.

На основе имеющихся данных определим экономию (перерасход) в результате изменения:

А) себестоимости единицы продукции;

Б) объема продукции;

В) Издержек производства.

Сначала произведем сравнение 1998 с 1997 г.:

А) Эz = z1 x g1 - z0 x g1 =694 х 59348 – 664 х 59348 = 1780440 (2.17.)

Где - Z-средние общие издержки;

g-объем производства ( Приложение 5 )

Это говорит о том, что в 1998 г. был перерасход в результате увеличения себестоимости единицы продукции по сравнению с 1997 годом.

Б) Эq = z0 x q1 - z0 x q0 = 664 х 59348 – 664 х 117143 = -38375853. (2.18.)

Произошла экономия 1998 года в результате сокращения объема производства по сравнению с 1997 г.

В) Эzq = z1 x q1 - z0 x q0 =694 х 59348 – 664 х 117143 = -36595440.

(2.19.)

Это говорит об экономии, которая произошла в результате снижения издержек производства.

Произведем сравнение 1999 года с 1998 г.:

А) Эz = z1 x q1 - z0 x q1 = 969 х 24723 – 694 х 24723 = 6798825. (2.20.)

Это говорит о перерасходе в 1999 году в результате увеличения себестоимости единицы продукции.

Б) Эq = z0 x q1 - 1z0 x q0 = 694 х 24723 – 694 х 59348 = -24029750

(2.21.)

Произошла экономия в 1999 году в результате сокращения объема произведенной продукции.

В) Эq = z1 x q1 - z0 x q0 = 969 х 24723 – 694 х 59348 = -17 230 925

(2.22.)

Можно говорить об экономии в 1999 году в следствии снижения издержек производства.

Анализируя полученные данные, сделаем следующие выводы:

  1. за 3 рассмотренных года себестоимость единицы продукции возросла в каждом последующем году по сравнению с предыдущим.

  2. так же за это время происходит снижение объема производства продукции.

  3. но вместе со снижением объема производства происходит снижение издержек производства

Анализ издержек фирмы в кратко- и долгосрочном периодах, приведенный выше, является необходимым, но не достаточным условием при планировании выпуска продукции на ближайшее время и перспективу. Минимизация издержек — это не самоцель, а лишь средство повышения прибыли или сокращения убытков, а в конечном счете — обеспечения стабильности и устойчивости по­ложения фирмы в рыночной экономике.

На следующем этапе анализируются доходы фирмы, а также прибыли и убытки в различных временных интервалах. Доход яв­ляется функцией цены производимой продукции и объема произ­водства. В одних случаях цена продукции — это внешний по отно­шению к фирме фактор, в других — фирма, основываясь на анали­зе потребительских предпочтений, сама определяет цену продук­ции. Поэтому анализ выбора предприятием объема производства, обеспечивающего ему максимальную прибыль или минимальные убытки, начинается с рассмотрения условий, с которыми прихо­дится сталкиваться на рынке.

В следующем разделе будут предложены пути совершенствования снижения системы издержек производства на АООТ «Биохимик», а также будут предприняты попытки предположить дальнейшие перспективы развития данного предприятия.


  1. Совершенствование системы снижения

издержек производства


    1. Факторы, влияющие на снижение издержек производства

Совершенно очевидно, что каждая фирма должна стремиться к сокращению издержек производства и себестоимости продукции. При стабильных ценах и прочих равных условиях сокращение издержек приводит к росту прибыли, приходящейся на единицу продукции.

Себестоимость продукции отражает уровень использования потребляемых производственных факторов, который в свою очередь определяется технико-организационными (техника и технология, организация производства, труда и управления), социальными и природными факторами (условиями), или, как их принято называть в совокупности, технико-экономическими факторами.

Таким образом, основными направлениями снижения себестоимости являются:

  1. повышение технического уровня производства;

  2. улучшение организации производства, труда и управления;

  3. изменение объема, структуры и размещения производства.

Рассмотрим влияние перечисленных групп факторов более подробно. В первой группе факторов выделяются: внедрение новой, прогрессивной технологии, механизация и автоматизация производственных процессов; расширение масштабов и совершенствование применяемой технологии и техники; улучшение использования имеющихся и применение новых видов сырья и материалов; изменение конструкции и технологических характеристик изделий и другие факторы, повышающие технический уровень производства. Отдельно рассматривается внедрение вычислительной техники. По этому фактору учитывается влияние на себестоимость товарной продукции результатов от внедрения и дальнейшего развития автоматизированных систем управления технологическими процессами производства, а также от ввода в действие отдельных ЭВМ и других средств вычислительной техники.

Вторая группа факторов включает: развитие специализации производства; совершенствование организации, обслуживания и управления производством, сокращение затрат на управление; улучшение организации труда, материально-технического снабжения, использование основных фондов, материальных ресурсов; сокращение транспортных расходов; ликвидация излишних затрат и потерь и другие факторы, повышающие уровень организации.

К третьей группе относятся: снижение затрат в результате роста объема производства за счет уменьшения постоянных издержек (положительный эффект масштаба производства); изменение структуры (номенклатуры и ассортимента) продукции; повышение качества продукции; изменение размещения производства.

С ростом объема производства постоянные издержки, приходящиеся на единицу изделия, уменьшаются, в результате чего снижается полная себестоимость единицы и всей продукции фирмы. Известно, что производство продукции более высокого качества требует и высокого уровня издержек производства. Однако это утверждение было опровергнуто японскими предприятиями, использующими метод "точно вовремя". Главная цель их системы – сокращение издержек. Эта система способствует росту эффективности производства, увеличивает оборачиваемость капитала (отношение объема продаж к основному капиталу). Для снижения издержек необходимо приспособление системы к ежедневным колебаниям спроса путем непрерывного регулирования номенклатуры и объема выпускаемой продукции, обеспечение высококачественными комплектующими деталями [11, с.124].


3.2. Пути снижения издержек на АООТ «Биохимик» и

перспективы развития предприятия


В структуре затрат на производство энерго­затраты занимают по своей величине второе место после сырья и материалов. За последние 5 лет на­лицо тенденция к снижению удельного веса энерго­затрат в структуре выпускаемой продукции, что выз­вано переориентацией предприятия на производ­ство готовых лекарственных форм и снижением про­изводства пенициллина, являющегося самым энер­гоемким продуктом (удельный вес энергозатрат в его себестоимости составляет 25%, тогда как в про­изводстве готовых лекарственных форм энергозат­раты занимают всего 2%). Изменение номенклату­ры выпускаемой продукции, а также экономия по­зволили значительно снизить и потребление тепло­вой энергии. К примеру, потребление пара сократи­лось с 324 тыс. Гкал в 1994 году до 187 тыс. Гкал в 1999 году, то есть, почти в 2 раза. Однако цена за пар выросла за это время в 5 раз.

Начиная с 1995 года, ежегодно, отделом глав­ного энергетика разрабатываются, а затем утверж­даются мероприятия по экономии и рационально­му использованию энергоресурсов. Многие из них имеют глобальные масштабы. Например, внедре­ние таких мероприятий, как использование вторичных ресурсов (температуры отходящего конденса­та в ТВЦ), а также использование температуры гряз­ного конденсата в цехе №1, дали возможность пол­ностью перевести отопление предприятия на соб­ственные вторичные ресурсы и тем самым отка­заться от услуг «Мордовэнерго» на поставку пере­гретой воды [3,c. 2].

Чтобы исключить условное распределение и правильно относить затраты потребляемых энерго­ресурсов на отдельные виды лекарственных средств, руководство АООТ «Биохимик» старается по мере возможности (точ­нее, по мере финансирования) устанавливать счет­чики на некоторые виды потребляемых энергоре­сурсов. Так, уже установлены счетчики по учету воды в общежитиях, на некоторых артскважинах, установ­лены расходомеры воды в производстве готовых лекарственных форм, в ближайшее время плани­руется их установка в производстве пенициллина.

На стадии решения находится вопрос с уста­новкой системы коммерческого учета пара с исполь­зованием компьютерной техники.

Большая часть запланированных заводом мероп­риятий на 2000 год направлена именно на эконо­мию артезианской воды и установку приборов ее учета. Ведь внедрение этого учета даст возможность значительно сократить ее потребление, и соответ­ственно, значительно сократить сброс сточных вод.

И еще один, немаловажный вопрос. К нему наше Правительство относится в пос­леднее время со всей серьезностью. По мне­нию заместителя Председателя Правитель­ства министра экономики РМ В.И. Гришина, «за энергию нужно платить «живыми» день­гами! Много гово­рилось о том, что тарифы нужно сделать пониже. На этот счет теперь есть Указ Президента. Для тех, кто платит деньгами и в срок, есть возможность снижения тари­фов до 50%, а если не будут платить за энергию и газ, то в любой мо­мент завод смогут отключить».

В настоящее время за электроэнергию завод оплачивает около 40% платежей «живыми» деньгами, и порядка 10-15 процентов оплачивает деньгами за тепловую энергию. Остальное составляют взаимозачеты.

Таким образом, изучив мнение руководства АООТ «Биохимик» мы пришли к выводу, что на заводе принимаются меры к снижению себестоимости продукции (издержек производства), а именно, путем экономии материалов и энергоресурсов. На заводе также используется компьютерная техника и новые научные разработки в области производства продукции, что позволяет надеяться, что в наше непростое время предприятие сможет выстоять [ 3, c.2].


Перспективы развития промышленного предприятия

В это тяжелое для всей страны время комбинат продолжает работать, ставит перед собой новые задачи и решает их. Так как производство антибиотиков очень энергоемкое, комбинат осваивает выпуск новых видов продукции, требующих меньше затрат энергии (пар, вода, электроэнергия). Оборудование размещается на существующих площадях. На 2000 год предусмотрен выпуск таких препаратов:

  • таблетки: аскорбиновая кислота, сульгин, антипирин, фтивазид, дибазол, аспаркам, метилурацил и др.;

  • ампулы: раствор папаверина, раствор никотинамида, раствор никамилона, раствор лидокаина, раствор гентамицина сульфата, раствор дибазола и др.;

  • капсулы: пирацетам, оксациллина натриевая соль, левомицетин и др.;

  • мази: линимент Вишневского, бензилбензоат, линимент синтомицина, др.;

  • субстанции: оксациллин технический, ампициллина тригидрат, амоксициллин и др.;

  • инъекции: цефалотин, эритромицина фосфат, канамицина сульфат и др.

Планируется и увеличение выпуска по сравнению с 1999 годом на 15% за счет более полного использования существующих мощностей, ликвидации "узких мест", сокращение простоев, количества брака за счет более глубокого экономического анализа, улучшение учета и отчетности. В перспективе – выпуск стрептомицина, гентамицина.


Заключение


В данной курсовой работе мы рассмотрели издержки обращения, как главный фактор снижения себестоимости продукции и влияющий на увеличение прибыли на АООТ «Биохимик».

Данная теме при переходе к рыночной экономике России и Республики Мордовия еще долго будет оставаться актуальной. Это вытекает из того, что прибыль является основополагающим стимулом деятельности любого предприятия, а так же повышает покупательный спрос населения на продукцию предприятия.

Таким образом, изучив вышеизложенный материал, мы можем сделать выводы :

Затраты, издержки, себестоимость – важнейшие экономические категории. Их уровень в основном определяет величину прибыли и рентабельности, лежит в основе системы показателей эффективности производства.

Затраты на производство и реализацию продукции – текущие затраты некапитального характера, финансируемые из выручки от реализации продукции при посредстве оборота оборотных средств. Издержки на производстве зарубежных фирм состоят из бухгалтерских и экономических, в состав которых включается нормативная прибыль.

В состав затрат на производстве продукции входят : материальные затраты, оплата труда, отчисления на социальные нужды, амортизация и прочие расходы.

Группировка затрат по элементам сметы отражает общность их экономического содержания, определяет общий объем потребляемых предприятием различных видов ресурсов по их природному назначению.

Классификация затрат по статьям калькуляции объединяет их по направлениям использования, по месту возникновения. Она позволяет определить себестоимость единицы продукции, распределить затраты по ассортиментным группам, выявить резервы их снижения.

Различают плановую, нормативную, сметную и фактическую калькуляцию. При расчете себестоимости единицы продукции прямые затраты включают исходя из установленных норм, цен и тарифов, а косвенные распределяют в соответствии с избранной базой.

Издержки фирмы классифицируются на постоянные, переменные, валовые, средние и предельные. Кривая предельных издержек пересекает линии средних переменных затрат и средних общих затрат в точках их наименьших значений. В точке, где кривая средних издержек достигает минимума, фирма оптимизирует объем производства, с точки зрения минимизации затрат.

При рассмотрении издержек производства используются краткосрочный и долгосрочный период. Краткосрочный период – период времени слишком короткий, чтобы предприятие смогло изменить свои производственные мощности, но достаточно продолжительный для изменения степени интенсивности использования этих фиксированных мощностей. Долговременный период – период времени достаточно продолжительный, чтобы изменить количества всех занятых ресурсов, включая и производственные мощности.

По приведенному нами анализу можем сказать, что постоянные издержки являются одинаковыми в каждом из 3-х краткосрочных периодах: в 97 году – 4385541, в 98 г. – 2509255, в январе-сентябре 1999 года – 2211056 (так как они не зависят от V производства). Относительно долговременного периода можно заметить, что постоянные издержки постепенно снижаются в 1998 году по сравнению с 1997 годом на 42,8%, а в 99 г. по сравнению с 98 г. на 11,9%, значит в общем за 3 года они снизились на 54,7%.

Переменные издержки в каждом из 3-х рассмотренных краткосрочных периодах возрастают с увеличением объема производства: в 97 году до 73397428, в 98 г. до 38678196, в 1999 году до 21745344, но рассматривая их в долгосрочном периоде, видим что с каждым годом они снижаются: в 1998 году по сравнению с 1997 годом на 47,3%, в 99 г. по сравнению с 98 г. на 43,8%.

Валовые издержки, которые складываются из постоянных и переменных издержек, в следствии увеличения с объемом производства переменные издержки увеличиваются в каждом из краткосрочных периодов: в 97 году до 77782969, в 98 г. до 41187451, в 1999 году до 23956400, но рассматривая в долгосрочном периоде, видим уже снижение валовых издержек на 49,7% в 1998 году по сравнению с 1997 годом, на 41,9% в 99 г. по сравнению с 98 г.

Средние издержки, которые подразделяются на средние постоянные, средние переменные, средние общие ведут себя следующим образом: средние постоянные снижаются в каждом из 3-х периодов: в 97 году до 36546,175, в 98 г. до 20910,46, в 1999 году до 18425,466; средние переменные сначала снижаются, достигая своего минимального уровня: в 97 году до 579773,33, в 98 г. до 295857,43, в 1999 году до 1561580,34, а затем возрастают в 97 году до 611845,23, в 98 г. до 322318,3, в 1999 году до 181211,2; средние общие имеют максимальную величину в 97 году - 1066190,8, в 98 г. – 573243,8, в 1999 году – 402383,7 при минимальном объеме производства 10 млн. флаконов, затем снижаются, а в последствии незначительно возрастают. Относительно долгосрочного периода можем заметить, что но рассматривая их в долгосрочном периоде, видим что средние издержки возрастают: средние постоянные в 2,5 в 1999 году по сравнению с 1997 годом, средние переменные в 1,5 раза в 99 г. по сравнению с 97 г. Это связано с подорожанием единицы продукции.

Предельные издержки: в краткосрочных периодах сначала снижаются, достигая своего минимального уровня в 97 году – 516402,8, в 98 г. – 275214,3 в 1999 году – 141325,7, а потом стали значительно возрастать, достигая максимального значения в 97 году – 742205,3, в 98 г. – 500427,3 в 1999 году – 244537,5.

Очевидно, что и "Биохимик" на примере которого я провожу анализ издержек производства стремится к снижению издержек производства. Снижение издержек на АООТ "Биохимик" происходит главным образом за счет снижения энергозатрат, использования вторичных ресурсов, использование температуры грязного конденсата, а также установление счетчиков на некоторые виды потребляемых энергоресурсов. В то же время промышленное предприятие планирует производства новых видов продукции в 200 году: таблеток, ампул, капсул, мазей, инъекций. Что же касается моего личного мнения, то я считаю, что у АООТ "Биохимик" хорошее будущее. В условиях экономического кризиса оно нашло пути выхода из создавшейся ситуации и по сравнению с другими промышленными предприятиями Мордовии, значительную часть из которых ждет банкротство или убыточное производство, на АООТ "Биохимик" значительная часть планируемого претворяется в жизнь. И так как промышленное предприятие выпускает лекарственные препараты оно играет большую роль в жизнедеятельности людей. Промышленное предприятие смогло выстоять в это тяжелое время, значит его ждет привлекательная перспектива.


Список использованной литературы:


  1. Акулова Т. Основы экоразвития. М.:Росэко. – 1994. – 212 с.

  2. Анализ прибыльности продукции : Не все то золото , что блестит . - М. : Дело . - 168 с.

  3. Биохимик // 1999. - №43. – С. 2.

  4. Блауг М. Экономическая мысль в ретроспективе./ Пер с англ. М.: Дело ЛТД. – 1995. – 246 с.

  5. Быкова Е. В. Регулирование массы и динамики прибыли // Финансы. - N4. - с. 15 - 18 .

  6. Борисов Е.Ф. Основы экономической теории М.: Новая волна. – 1996. – 516 с.

  7. Вейс Г. Введение в общую экономику и организацию производства. Красноярск. – 1995. – 374 с.

  8. Ворст И. Экономика фирмы. М.: Высшая школа. – 1994. – 362 с.

  9. Гальперин В. М. Микроэкономика : СПб Экон. Школа. - 1997. - 512 с.

  10. Грузинов В. Экономика предприятия и предпринимательство. М.: Софит. – 1994. – 296 с.

  11. Гуськова Н.Д., Макаркин И.П., Шичкин П.В. Микроэкономика. С.: 1997 – 216 с.

  12. Долан Э. Дж. , Линдсей Д. Е. Микроэкономика / Под общей редакцией Лисовика Б. С. СПб ; Литера Плюс . - 1997. - - 446 с.

  13. Денисон Э. Исследования различий в темпах экономического роста. Пер

  14. Кадацкий В. П. Прогнозирование прибыли // Финансы N 2 . - 1995. - с. 19 - 21 .

  15. Кейнс Дж. М. Общая теория занятости/ Пер с англ. М.: Прогресс. – 1978. – 319 с.

  16. Коуз Р. Фирма, рынок и право. М.: Юристъ. – 1999.- 278 с.

  17. Корнаи Я. Дефицит. М.: Экономика. – 1990. – 187 с.

  18. Кудров В.М. Советская экономика в ретроспективе: опыт переосмысления. М.: Наука. – 1997. – 254 с.

  19. Литвин М. И. О факторном методе планирования прибыли и рентабельности // Финансы . - 1994. - с. 29.

  20. Макконелл К.Р. Экономика М.: Республика. – 1992. – 589 с.

  21. Макконел К.Р., Брю С.Л. Экономикс : Принципы, проблемы и политика . В двух томах / пер. с англ. М.: Республика.- 1992.

  22. Курс экономики. П/р Райзберга Б.А. М.: Инфра-М. – 1997. – 715 с.

  23. Лившиц А. Экономическая реформа в России и ее цена. М.: Культура. – 1994. – 112 с.

  24. Основы теории переходной экономики: вводный курс / П/р Е. Киселевой Киров:. – 1997. – 340 с.

  25. Первозванский А.А. Финансовый рынок: расчет и риск. М.: Инфра – М.- 1994.- 424 с.

  26. Программа содействия занятости населения Республики Мордовия на 1999-2000 г.г. Утверждена постановлением Правительства РМ от 26.03.1999 г. № 168.

  27. Рыночная трансформация в России: политический и экономический потенциал регионов. М.: ИМЭПИ РАН.- 1997.- 319 с.

Реформирование предприятий: концепция, модель, программа М.: КОНСЭКО

  1. Реформирование предприятий: концепция, модель, программа М.: КОНСЭКО. – 1998. – 764 с.

  2. Самуэльсон П. Экономика. М.: ПО «Алгон». – 1992. – 333 с.

  3. Сафронова Н.А. Экономика предприятий. М.: Юристъ. – 1998. – 583 с.

  4. Справочник финансиста предприятия . - М. : ИНФРА - М . - 1996 - 368 с.

  5. Социально - трудовая сфера России в переходный период: реалии и перспективы. М.: Молодая гвардия.- 1996.- 357 с.

  6. Смирнова А. Рыночная экономика. Учебник в 3-х т.т. М.: Сомитэк. – 1992.

  7. Сенина М.А. Учебное пособие для студентов не экономических вузов .- М.: Экономика.- 1995.- 294 с.

  8. Становление рыночной экономики в странах Восточной Европы.М.: РГГУ.- 1994.- 276 с.

  9. Самуэльсон П. Экономика. М.: ПО «Алгон». – 1992. – 333 с.

  10. Справочник финансиста предприятия . - М. : ИНФРА - М . - 1996 - 368 с.

  11. Палий В.Ф. Финансовый учет. М.: Экономика и финансы. – 1997. – 321 с.

  12. Финансы . Учебник . / Под редакцией Ковалевой . - М. : Финансы и статистика. - 1997. - 336 с.

  13. Финансовая отчетность : Реальная картина состояния бизнеса . - М. :Дело . - 1996. – 123 с.

  14. Финансовый менеджмент . Учебник / Под редакцией Поляка Б. - М.: Финансы, ЮНИТИ . - 1997. - С. 128 - 140 .


ПРИЛОЖЕНИЕ


Приложение 1


(1)

Вложение переменных ресурсов труда

(2)

Общий объем производства

(тыс. флаконов)

(3)

Предельная

производительность

Δ2/Δ1

(4)

Средняя

производительность

(2), (1)

Возрастающая предельная отдача

Убывающая предельная отдача

Отрицательная предельная отдача

0

1

2

3

4


5

6

7


8

9


0

5

12,5

18,5

23,5


27,5

30

31,5


31,5

31


5


7,5


6

5


4

2,5

1,5


0

0,5

--

5

6,25

6,17

5,875

5,5


5


4,5

3,94

3,44


Приложение 2


Закон убывающей отдачи




Рис. 2а




Рис.2б


Приложение 3

Кривые средних издержек.



Средние общие издержки (АТС) представляют собой "вертикальную сумму" средних переменных издержек (AVC) и средних постоянных издержек (AFC).


Приложение 4


Взаимосвязь между кривыми производительности и издержек






Кривые предельных издержек (МС) и средних переменных издержек (AVC), представляют собой зеркальное отражение кривых предельной производительности (МР) и средней производительности (АР) соответственно. Следовательно, когда МР растет МС оказываются минимальными, а когда МР уменьшается, МС растут. Аналогичная взаимосвязь существует между АР и AVC.


Приложение 5


Выпуск продукции

(тысяч флаконов)

Годы
1997 1998 Январь – сентябрь 1999
117 143 59348 24723

Из таблицы видно, что объем продукции в течении 1997 – 1999 годов уменьшается с 117143 до 24723 тыс. Флаконов. Это связанно со снижением рыночного спроса на продукцию АООТ «Биохимик».



МОРДОВСКИЙ ГОСУДАРСТВЕННЫЙ УНИВЕРСИТЕТ

ИМ. Н.П. ОГАРЕВА


Факультет экономический


Кафедра экономики и организации производства


Курсовая работа

Анализ издержек производства в коротком и длительном периоде


(На примере АООТ «Биохимик»)



Автор курсовой работы:______________________________________ Гусева Н.В.

Специальность: 060500 « Бухгалтерский учет и аудит»

Обозначение курсовой работы: КР – 2069965 – ЭОП – 06-99

Руководитель работы: ______________________________________ Аверкин А.В.


Оценка: _________________________


Саранск, 1999


ЗАДАНИЕ НА КУРСОВУЮ РАБОТУ:


студентки Гусевой Н.В., группа 303


1. Тема: Анализ издержек производства в коротком и длительном периоде (на примере АООТ «Биохимик»)

2. Срок представления работы к защите 01.11.99 г.

3. Исходные данные для научного исследования : нормативные акты, научная и учебная литература, периодические издания, статистическая отчетность предприятия.

4. Содержание пояснительной записки курсовой работы:

4.1. Экономическое содержание и классификация издержек

производства

4.1.1.Понятие издержек – виды и классификация

4.1.2.Издержки производства в краткосрочном периоде

4.1.3.Издержки производства в долговременном периоде


    1. Анализ эффективности издержек производства на примере АООТ

« Биохимик»

4.2.1.Анализ издержек в краткосрочном периоде

      1. Динамика издержек на АООТ «Биохимик» в длительном периоде.


    1. Совершенствование системы снижения издержек производства

4.3.1. Факторы, влияющие на снижение издержек производства

4.3.2. Пути снижения издержек на АООТ «Биохимик»


5. Перечень графического материала 6 таблиц, 12 графиков, 1 схема.

Руководитель работы: Аверкин А.В.


Задание принял к исполнению: Гусева Н.В.



РЕФЕРАТ


Анализ издержек производства в коротком и длительном периоде

(на примере АООТ «Биохимик»)


Курсовая работа содержит: 50 страниц, 6 таблиц; 41 источник, 12 графиков, 1 схема.

Перечень ключевых слов: издержки, короткий и длительный периоды, прибыль, затраты , калькулирование, себестоимость, цена, минимизация.


Цель работы: проанализировать издержки в коротком и длительном периоде как теоретически, так и на примере конкретного изделия.


Методы исследования: сравнения, группировка, обобщения, графические приемы, индексный метод, экономико-математические методы.


Полученные результаты: выявлены и исследованы издержки производства на АООТ «Биохимик». Определены пути их снижения.


Область применения: на АООТ «Биохимик» , в качестве теоретического материала.


 
© 2012 Рефераты, доклады, дипломные и курсовые работы.