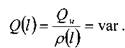
реферат
Главная

Рефераты по биологии

Рефераты по экономике

Рефераты по москвоведению

Рефераты по экологии

Краткое содержание произведений

Рефераты по физкультуре и спорту

Топики по английскому языку

Рефераты по математике

Рефераты по музыке

Остальные рефераты

Рефераты по авиации и космонавтике

Рефераты по административному праву

Рефераты по безопасности жизнедеятельности

Рефераты по арбитражному процессу

Рефераты по архитектуре

Рефераты по астрономии

Рефераты по банковскому делу

Рефераты по биржевому делу

Рефераты по ботанике и сельскому хозяйству

Рефераты по бухгалтерскому учету и аудиту

Рефераты по валютным отношениям

Рефераты по ветеринарии

Рефераты для военной кафедры

Рефераты по географии

Рефераты по геодезии

Рефераты по геологии

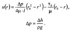
Реферат: Лекции по гидравлике

Реферат: Лекции по гидравлике

Введение

Гидравлика представляет собой теоретическую дисциплину, изучающую вопросы,

связанные с механическим движением жидкости в различных природных и техногенных условиях. Поскольку жидкость (и газ) рассматриваются как непрерывные и неделимые физические тела, то гидравлику часто рассматривают как один из разделов механики так называемых сплошных сред, к каковым принято относить и особое физическое тело -жидкость. По этой причине гидравлику часто называют механикой жидкости или гидро­механикой; предметом её исследований являются основные законы равновесия и движе­ния жидкостей и газов. Как в классической механике в гидравлике можно выделить обще­принятые составные части: гидростатику, изучающую законы равновесия жидкости; ки­нематику, описывающую основные элементы движущейся жидкости и гидродинамику, изучающую основные законы движения жидкости и раскрывающую причины её движе­ния.

Гидравлику можно назвать базовой теоретической дисциплиной для обширного кру­га прикладных наук, с помощью которых исследуются процессы, сопровождающие рабо­ту гидравлических машин, гидроприводов. С помощью основных уравнений гидравлики и разработанных ею методов исследования, решаются важные практические задачи, связан­ные с транспортом жидкостей и газов по трубопроводам, а также с транспортом твёрдых тел по трубам и другим руслам. Гидравлика также решает важнейшие практические зада­чи, связанные с равновесием твёрдых тел в жидкостях и газах, т.е. изучает вопросы плава­ния тел.

Широкое использование в практической деятельности человека различных гидрав­лических машин и механизмов ставят гидравлику в число важнейших дисциплин, обеспе­чивающих научно-технический прогресс.

Большой практический интерес к изучению механики жидкости вызван рядом объек­тивных факторов. В - первых, наличие в природе значительных запасов жидкостей, кото­рые легко доступны человеку. Во- вторых, жидкие тела обладают рядом полезных свойств, делающих их удобными рабочими агентами в практической деятельности чело­века. Немаловажным следует считать и тот фактор, что большинство жизненно важных химических реакций обмена протекают в жидкой фазе (чаще всего в водных растворах).

По этим причинам особый интерес человек проявил к жидкостям на самой ранней стадии своего развития. Вода и воздух (иначе жидкость и газ) были отнесены к числу ос­новных стихий природы уже первобытным человеком. История свидетельствует об ус­пешном решении ряда практических задач с использованием жидкостей уже на самих ранних стадиях развития человека. Первым же научным трудом по гидравлике следует

считать трактат Архимеда «О плавающих телах» (250 г. до н. э.)- Однако в дальнейшем на протяжении нескольких столетий в развитии человечества наступила эпоха всеобщего за­стоя, когда развитие знаний и практического опыта находились на весьма низком уровне. В последующую за этим эпоху возрождения началось бурное развитие человеческих зна­ний, науки, накопление практического опыта. Наравне с развитием других наук начала развиваться и наука об изучении взаимодействия жидких тел.

Первыми крупными работами в этой области следует считать работы Леонардо да Винчи (1548-1620) - в области плавания тел, движения жидкостей по трубам и каналам. В работах Галилео Галилея (1564 - 1642) были сформулированы основные принципы равно­весия и движения жидкости; работы Эванджелиста Торичелли (1604 - 1647) были посве-щены решению задач по истечению жидкости из отверстий, а Блез Паскаль (1623 - 1727) исследовал вопросы по передаче давления в жидкости. Основополагающие и обобщаю­щие работы в области механики физических тел, в том числе и жидких, принадлежат ге­ниальному английскому физику Исааку Ньютону (1643 - 1727), который впервые сфор­мулировал основные законы механики, закон всемирного тяготения и закон о внутреннем трении в жидкостях при их движении.

Развитию гидромеханики (гидравлики) как самостоятельной науки в значительной степени способствовали труды русских учёных Даниила Бернулли (1700 - 1782), Леонарда Эйлера (1707 - 1783), М.В. Ломоносова (1711 - 1765). Работы этих великих русских учё­ных обеспечили настоящий прорыв в области изучения жидких тел: ими впервые были опубликованы дифференциальные уравнения равновесия и движения жидкости Эйлера, закон сохранения энергии Ломоносова, уравнение запаса удельной энергии в идеальной жидкости Бернулли.

Развитию гидравлики как прикладной науки и сближению методов изучения теоре­тических и практических вопросов используемых гидравликой и гидромеханикой способ­ствовали работы французских учёных Дарси, Буссинэ и др., а также работы Н.Е. Жуков­ского. Благодаря трудам этих учёных, а также более поздним работам Шези, Вейсбаха, Прандля удалось объединить теоретические исследования гидромеханики с практически­ми и экспериментальными работами, выполненными в гидравлике. Работы Базена, Пуа-зейля, Рейнольдса, Фруда, Стокса и др. развили учение о динамике реальной (вязкой жид­кости). Дифференциальное уравнение Навье - Стокса позволило описать движение реаль­ной жидкости как функцию параметров этой жидкости в зависимости от внешних усло­вий. Дальнейшие работы в области теоретической и прикладной гидромеханики были на­правлены на развитие методов решения практических задач, развитие новых методов ис­следования, новых направлений: теория фильтрации, газо- и аэродинамика и др.

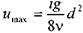
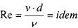
При решении практических вопросов гидравлика оперирует всеми известными мето­дами исследований: методом анализа бесконечно малых величин, методом средних вели­чин, методом анализа размерностей, методом аналогий, экспериментальным методом.

Метод анализа бесконечно малых величин - наиболее удобный из всех методов для количественного описания процессов равновесия и движения жидкостей и газов. Этот ме­тод наиболее эффективен в тех случаях, когда приходится рассматривать движение объек­тов на атомно-молекулярном уровне, т.е. в тех случаях, когда для вывода уравнений дви­жения приходится рассматривать жидкость (или газ) с молекулярно-кинетической теории строения вещества. Основной недостаток метода - довольно высокий уровень абстракции, что требует от читателя обширных знаний в области теоретической физики и умение пользоваться различными методами математического анализа, включая векторный анализ.

Метод средних величин - является более доступным методом, поскольку его основ­ные положения базируется на простых (близких к обыденным) представлениях о строении вещества. При этом выводы основных уравнений в большинстве случаев не требуют зна­ний молекулярно-кинетической теории, а результаты, полученные при исследованиях, этим методом не противоречат «здравому смыслу» и кажутся обоснованными. Недостаток этого метода исследований связан с необходимостью иметь некоторые априорные пред­ставления о предмете исследований.

Метод анализа размерностей может рассматриваться в качестве одного из дополни­тельных методов исследований и предполагает всестороннее знания изучаемых физиче­ских процессов.

Методом аналогий - используется в тех случаях, кода имеются в наличии детально изученные процессы, относящиеся к тому же типу взаимодействия вещества, что и изу­чаемый процесс.

Экспериментальный метод является основным методом изучения, если другие мето­ды по каким- либо причинам не могут быть применены. Этот метод также часто использу­ется как критерий для подтверждения правильности результатов полученных другими ме­тодами.

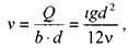
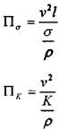
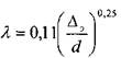
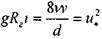
В конечном счёте, метод изучения движения жидкости, а также уровень изучения (макро или микро) выбирается из условий практической постановки задач и соотношения характерных размеров. Основным мерилом для этих характерных размеров может быть длина свободного пробега молекул. Так для изучения движения жидкости на макро уров­не необходимо, чтобы характерные размеры: L (некоторая длина) и d (ширина) по отно­шению к длине свободного пробега молекул А, находились в соответствии:

1. Общие сведения о жидкости 1.1. Жидкость как физическое тело

Чтобы представить и правильно понять характер поведения жидкости в различных условиях необходимо обратиться к некоторым представлениям классической физики о жидкости как физическом теле. Не ставя перед собой цель детального и всестороннего описания жидких тел, что подробно рассматривается в классическом курсе физики, на­помним лишь некоторые положения, которые могут пригодиться при изучении гидравли­ки как самостоятельной дисциплины.

Так, согласно молекулярно-кинетической теории строения вещества все физические тела в природе (независимо от их размеров) находятся в постоянном взаимодействии ме­жду собой. Степень (интенсивность) взаимодействия зависит от масс этих тел и от рас­стояния между телами. Количественной мерой взаимодействия тел является сила, которая пропорциональна массе тел и всегда будет убывать при увеличении расстояния между те­лами. В зависимости от размеров тел (элементарные частицы, атомы и молекулы, макро­тела) характер взаимодействия будет различным. Согласно классическим представлениям физики можно выделить четыре вида взаимодействия тел. Каждый вид взаимодействия обусловлен наличием своего переносчика взаимодействия. Два вида взаимодействия от­носятся к типу дальнодействующих и повседневно наблюдаются человеком: гравитацион­ное и электромагнитное. При электромагнитном взаимодействии происходит процесс из­лучения и поглощения фотонов. Именно этот процесс порождает электромагнитные силы, под действием которых протекают практически все процессы в природе, которые мы на­блюдаем. Характерной особенностью этого (электромагнитного) взаимодействия является то, что его проявление зависит от многих внешних условий, которые приводят к различ­ным наблюдаемым результатам. Так имея одну и туже природу взаимодействия (электро­магнитную) мы изучаем, на первый взгляд, совершенно разные физические процессы: движение жидкости, трение, упругость, передачу тепла, движение зарядов в электриче­ском поле и т.д. И, как следствие, дифференциальные уравнения, описывающие эти про­цессы, одинаковые.

Согласно молекулярно-кинетической теории строения вещества молекулы находятся в равновесии и, как материальные объекты постоянно взаимодействуют друг с другом. Такое равновесие нельзя считать абсолютным, т.к. молекулы находятся в состоянии хао­тического движения (колебания) вокруг центра своего равновесия. Расстояния между молекулами вещества будет зависеть от величин сил действующих на молекулы. Независимо от природы действующих сил их можно сгруппировать на силы притяжения и силы отталкивания.

Условие равновесия этих сил определяет оптимальные расстояния между молекула­ми. Однако, в связи с тем, что такое равновесие между действующими силами является динамическим равновесием, молекулы находятся в постоянном колебательном движении относительно друг друга, испытывая при этом действие некоторой равнодействующей си­лы порождаемой силами притяжения и отталкивания. Поэтому особенности состояния вещества будут зависеть от соотношения между кинетической энергией колебательного движения молекул вещества и энергией взаимодействия между молекулами вещества. Так при больших массах молекул энергия взаимодействия между молекулами многократно превышает кинетическую энергию колебательного движения вещества, вследствие чего молекулы вещества занимают устойчивое положение относительно друг друга, обеспечи­вая тем самым постоянство формы и размеров макротела. Такие вещества, как известно, относятся к категории твёрдых тел. Противоположными особенностями характеризуются вещества, состоящие из «лёгких» молекул (молекул обладающих малой массой). Такие вещества обладают кинетической энергией колебательного движения молекул вещества превышающей многократно энергию взаимодействия между молекулами, из которых ве­щество состоит. По этой причине молекулы такого вещества имеют очень слабую связь между собой и легко перемещаются в пространстве на любые расстояния. Такое свойство вещества носит название диффузии (летучести). Вещества, обладающие эти свойством, относятся к категории газов. В тех случаях, когда энергия взаимодействия имеет тот же порядок, что и величина кинетической энергии колебательного движения молекул, по­следние обладают свойством относительной подвижности, но, при этом, сохраняют цело­стность самого макротела. Такое тело обладает способностью легко деформироваться при минимальных касательных напряжениях, т. е. такое тело обладает текучестью. На самом деле колебательный процесс среди молекул жидких тел достаточно сложен, и с целью простого описания данного процесса можно нарисовать упрощенную картину взаимодей­ствия молекул жидкости. Так в отличие от молекул в твёрдых телах, при колебательном процессе в жидкости центры взаимодействия молекул могут смещаться в пространстве на

о

столько, на сколько это допускают расстояния между молекулами (до величины 1x10 " см). Смещение центра равновесия сил в пространстве называется релаксацией. Время, за которое происходит такое смещение, называется временем релаксации, t0. При этом сме­щение центра равновесия осуществляется не постепенно, а скачком. Таким образом, время релаксации характеризует продолжительность «оседлой жизни» молекул жидкости. Если на жидкость будет действовать некоторая сила F, то при совпадении линии действия этой силы с направлением скачка, жидкость начнёт перемещаться. При этом необходимо вы­полнение дополнительного условия: продолжительность действия силы должна быть

больше длительности времени релаксации t0, т.к. в противном случае жидкость не успеет

начать своё движение, и будет испытывать упругое сжатие подобно твёрдому телу. Тогда процесс движения жидкости будет характеризовать свойство текучести присущее практи­чески только жидким телам. Тела с такими свойствами относятся к категории жидких тел.

При этом следует отметить, что чётких и жёстких границ между твёрдыми, жидкими и газообразными телами нет. Имеется большая группа тел занимающих промежуточное положение между твёрдыми телами и жидкостями и между жидкостями и газами. Вообще говорить о состоянии вещества можно только при вполне определённых внешних услови­ях. В качестве стандартных условий приняты условия при температуре 20 °С и атмосфер­ном давлении. Стандартные (нормальные) условия вполне соотносятся с понятием благо­приятных внешних условий для существования человека. Понятие о состоянии вещества необходимо дополнить. Так при увеличении кинетической энергии молекул вещества (на­грев вещества) твёрдые тела могут перейти в жидкое состояние (плавление твёрдого тела) и твёрдые тела приобретут при этом некоторые свойства жидкостей. Подобно этому уве­личение кинетической энергии молекул жидкого вещества может привести жидкость в газообразное состояние (парообразование) и при этом жидкость будет иметь свойства со­ответствующие газам. Аналогичным способом можно превратить расплавленное твёрдое тело в пар, если в большей степени увеличить кинетическую энергию колебательного движения молекул первоначально твёрдого вещества. Уменьшение кинетической энергии молекул (охлаждение вещества) приведёт процесс в обратном направлении. Газ может быть превращён в жидкое, а, затем и в твёрдое состояние

Изучение реальных жидкостей и газов связано со значительными трудностями, т.к. физические свойства реальных жидкостей зависят от их состава, от различных компонен­тов, которые могут образовывать с жидкостью различные смеси как гомогенные (раство­ры) так и гетерогенные (эмульсии, суспензии и др.) По этой причине для вывода основ­ных уравнений движения жидкости приходится пользоваться некоторыми абстрактными моделями жидкостей и газов, которые наделяются свойствами неприсущими природным жидкостям и газам.

Идеальная жидкость - модель природной жидкости, характеризующаяся изотропно­стью всех физических свойств и, кроме того, характеризуется абсолютной несжимаемо­стью, абсолютной текучестью (отсутствие сил внутреннего трения), отсутствием процес­сов теплопроводности и теплопереноса.

Реальная жидкость - модель природной жидкости, характеризующаяся изотропно­стью всех физических свойств, но в отличие от идеальной модели, обладает внутренним трением при движении.

Идеальный газ - модель, характеризующаяся изотропностью всех физических свойств и абсолютной сжимаемостью.

Реальный газ - модель, при которой на сжимаемость газа при условиях близких к нормальным условиям существенно влияют силы взаимодействия между молекулами.

При изучении движения жидкостей и газов теоретическая гидравлика (гидромехани­ка) широко пользуется представлением о жидкости как о сплошной среде. Такое допуще­ние вполне оправдано, если учесть, что размеры пространства занимаемого жидкостью, во много раз превосходят межмолекулярные расстояния (исключением можно считать лишь разряженный газ). При изучении движения жидкостей и газов последние часто рассматри­ваются как жидкости с присущими им некоторыми особыми свойствами. Всвязи с этим принято различать две категории жидкостей: капельные жидкости (практически несжи­маемые тела, или собственно жидкости) и сжимаемые жидкости (газы).

1.2. Основные физические свойства жидкостей

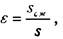
Плотность и удельный вес. К основным физическим свойствам жидкостей следует отнести те её свойства, которые определяют особенности поведения жидкости при её движении. Такими являются свойства, характеризующие концентрацию жидкости в про­странстве, свойства, определяющие процессы деформации жидкости, определяющие ве­личину внутреннего трения в жидкости при её движении, поверхностные эффекты.

Важнейшим физическим свойством жидкости, определяющим её концентрацию в пространстве, является плотность жидкости. Под плотностью жидкости понимается масса единицы объёма жидкости:

где:        М - масса жидкости,

W - объём, занимаемый жидкостью.

В международной системе единиц СИ масса вещества измеряется в кг, объём жидко­го тела в м 3 , тогда размерность плотности жидкости в системе единиц СИ - кг/м 3. В сис­теме единиц СГС плотность жидкости измеряется в г/см 3.

Величины плотности реальных капельных жидкостей в стандартных условиях изме­няются в системе единиц СИ в широких пределах от 700 кг/м 3 до 1800 кг/м 3, а плотность ртути достигает 13550 кг/м , плотность чистой воды составляет 998 кг/м 3. В системе единиц СГС пределы изменения плотности жидкости от 0,7 г/см до 1,8 г/см 3, плотность чистой воды 0,998 г/см . Величины плотности газов меньше плотности капельных жидко­стей приблизительно на три порядка, т.е. в системе единиц СИ плотности газов при атмо­сферном давлении и температуре О °С изменяются в пределах от 0,09 кг/м 3 до 3,74 кг/м , плотность воздуха составляет 1,293 кг/м 3.

Плотность капельных жидкостей при стандартных условиях, р кг/м 3

Плотность газов при атмосферном дав­лении и температуре 0 °С, р кг/м 3

Азотная кислота 1510 Азот 1,251
Анилин 1020 Аммиак 0,771
Ацетон 791 Аргон 1,783
Бензин 680-720 Ацетилен 1,173
Бензол 879 Водород 0,090
Бром 3120 Воздух 1,293

Вода, Н2О

998 Гелий 0,178
Вода тяжёлая, DaO 1109 Кислород 1,429
Глицерин 1260 Криптон 3,740
Морская вода 1010-1030 Неон 0,900
Нефть 760-995 Озон 2,139
Серная кислота 1830 Углекислота, СОа 1,977
Этиловый спирт 790 Хлор 3,220

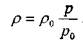
Плотность капельных жидкостей и газов зависит от температуры и давления. Зави­симость величины плотности жидкости и газа при температуре отличной от 20 °С опреде­ляется по формуле Д.И. Менделеева:

где: р и р20 - плотности жидкости (газа) при температурах соответственно

ГиГо=20°С,

βi      - коэффициент температурного расширения.

Исключительными особенностями обладает вода, максимальная плотность которой отмечается при 4 °С

Плотность воды при различных температурах и атмосферном давлении

Т,°С

р кг/м

Т,°С

р кг/м

Т, °С

р кг/м

-10 998,15 10 999,73 200 869,00
-5 999,30 20 998,23 250 794,00
0 999,87 50 988,07 300 710,00
2 999,97 100 958,38 350 574,00
4 1000,00 150 917,30 374,15 307,00

Плотность капельных жидкостей в зависимости от давления может быть определена в соответствии с уравнением состояния упругой жидкости:

 5

•   где:         - плотность капельной жидкости при атмосферном давлении рат ,

 - коэффициент объёмного сжатия капельной жидкости.

Плотность идеальных газов при давлениях отличных от атмосферного можно опре­делить по известному закону газового состояния Менделеева-Клайперона:

давление,

удельный объём газа

универсальная газовая постоянная

температура газа

при

Кроме абсолютной величины плотности капельной жидкости, на практике пользуют­ся и величиной её относительной плотности, которая представляет собой отношение ве-

личины абсолютной плотности жидкости к плотности чистой воды при температуре 4 °С:  . Относительная плотность жидкости - величина безразмерная.

Имеется аналогичная характеристика и для газов. Под относительной плотностью га­за (по воздуху) понимается отношение величины абсолютной плотности газа к плотности воздуха при стандартных условиях.

О плотности жидкости косвенно можно судить по весовому показателю, - удельному весу жидкости. Под удельным весом жидкости (газа) понимается вес единицы объёма жидкости (газа):

G     вес жидкости (газа),

где:                     ..                                              

W    объем, занимаемый жидкостью (газом).

Связь между плотностью и удельным весом жидкости такая же как и между массой тела и её весом:

Размерность удельного веса жидкости в системе единиц СИ н/м 3 , удельный вес чис­той воды составляет 9810 н/м3. Аналогично вводится понятие об относительном удельном весе жидкости,

На практике величина плотности жидкости определяется с помощью простейшего прибора - ареометра. По глубине погружения прибора в жидкость судят о её плотности.

Упругость. Капельные жидкости относятся к категории плохо сжимаемых тел. При­чины незначительных изменений объёма жидкости при увеличении давления очевидны, т.к. межмолекулярные расстояния в капельной жидкости малы и при деформации жидко­сти приходится преодолевать значительные силы отталкивания, действующие между мо­лекулами, и даже испытывать влияние сил, действующих внутри атома. Тем не менее, сжимаемость жидкостей в 5 - 10 раз выше, чем сжимаемость твёрдых тел, т.е. можно счи­тать, что все капельные жидкости обладают упругими свойствами.

Оценка упругих свойств жидкостей может осуществляться по ряду специальных па­раметров.

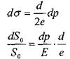
коэффициент объёмного сжатия жидкости представляет собой относительное изменение объёма жидкости при изменении давления на единицу. По суще­ству это известный закон Гука для модели объёмного сжатия:

начальный объём жидкости, (при начальном давлении),

 коэффициент объёмного (упругого) сжатия жидкости.

Считается,  что коэффициент объёмного  сжатия жидкости  зависит с достаточно большой точностью только от свойств самой жидкости и не зависит от внешних условий. Коэффициент объёмного сжатия жидкости имеет размерность обратную размерности дав­ления, т.е. м/н.

адиабатический модуль упругости жидкости К, зависящий от термодинами­ческого состояния жидкости (величина обратная коэффициенту объёмного сжатия жидкости):                                                                                       ,

Величина модуля упругости жидкости имеет размерность напряжения, т.е. н/м .

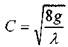
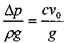
об упругих свойствах капельной жидкости можно судить по скорости рас­пространения продольных волн в жидкой среде, которая равна скорости зву­ка в покоящейся жидкости:

С упругими свойствами капельных жидкостей также связаны представления о со­противлении жидкостей растяжению. Теоретически в чистых жидкостях могут быть дос­тигнуты довольно значительные напряжения. Однако, в реальных жидкостях при наличии в них даже весьма незначительных примесей (твёрдые частицы, газ) уменьшает величину сопротивления жидкости растяжению практически до 0. По этой причине можно считать, что в капельных жидкостях напряжения растяжению невозможны.

Об упругих свойствах газов можно судить исходя из классического уравнения Пуас­сона:

 ;

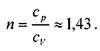
где:        п         - показатель адиабаты равный отношению теплоёмкости газа при по­стоянном давлении к величине теплоёмкости газа при постоянном объёме.

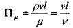
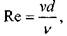
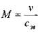
Для оценки упругих свойств движущегося газа пользуются не абсолютной величи­ной скорости звука сзв, а отношением скорости потока газа v к скорости звука в газе. Этот показатель носит название числа Маха;

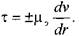
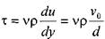
Вязкость. При движении реальных (вязких) жидкостей в них возникают внутренние напряжения, обусловленные силами внутреннего трения жидкости. Природа этих сил до­вольно сложна; возникающие в жидкости напряжения связаны с процессом переноса им­пульса(вектора массовой скорости движения жидкости). При этом возникающие в жидкости напряжения обусловлены двумя факторами: напряжениями, возникающими при деформации сдвига и напряжениями, возникающими при деформации объёмного сжатия.

Наличие сил вязкостного трения в движущейся жидкости подтверждается простым и наглядным опытом. Если в цилиндрическую ёмкость, заполненную жидкостью опустить вращающийся цилиндр, то вскоре придёт в движение (начнёт вращаться вокруг своей оси в том же направлении, что и вращающийся цилиндр) и сама ёмкость с жидкостью. Этот факт свидетельствует о том, что вращательный момент от вращающегося цилиндра был передан через вязкую жидкость самой ёмкости, заполненной жидкостью.

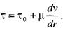
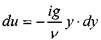
Напряжения, возникающие при деформации сдвига согласно гипотезе Ньютона про­порциональны градиенту скорости в движущихся слоях жидкости, а сила трения между слоями движущейся жидкости будет пропорциональна площади поверхности движущихся слоев жидкости:

где:сила трения между слоями движущейся жидкости,

- площадь поверхности слоев движущейся жидкости,

 - касательные напряжения, возникающие в жидкости при де­формации сдвига,

 коэффициент динамической вязкости жидкости.

Величина коэффициента динамической вязкости жидкости при постоянной темпера­туре и постоянном давлении зависит от внутренних (химических) свойств самой жидко­сти. Размерность коэффициента динамической вязкости в системе единиц СИ: н с/м 2, в системе СГС - д-с/см . Последняя размерность носит название пуаза (пз). Таким образом, \пз =1 д-с/см , а соотношение между единицами вязкости. 1да=0,1 н с/м 2.

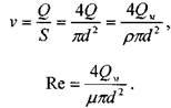
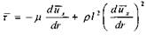
Помимо коэффициента динамической вязкости жидкости широко используется ко­эффициент кинематической вязкости жидкости v, представляющий собой отношение ко­эффициента динамической вязкости к плотности жидкости:

В системе единиц СИ коэффициент кинематической вязкости измеряется в м /с, в системе единиц СГС единицей измерения коэффициента кинематической вязкости жидко­сти является стоке (cm), т.е. 1 cm = 1 см /с.

Коэффициент динамической вязкости чистой воды составляет 1-10~3 н-с/м (или 0,01 пз), коэффициент кинематической вязкости чистой воды составляет МО" м /с (или 0,01 cm).                    - -

Коэффициенты вязкости жидкостей варьируют в весьма широких пределах от 0,0003 доО,139н-с/л/2.

Вязкость жидкости в значительной степени зависит от температуры и давления. При увеличении температуры капельной жидкости коэффициенты её вязкости (как динамиче­ский, так и кинематический) резко снижается в десятки и сотни раз, что обусловлено уве­личением внутренней энергии молекул жидкости по сравнению с энергией межмолеку­лярной связи в жидкости.

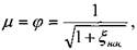
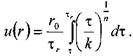
Зависимость вязкости капельной жидкости от температуры может быть выражена в виде экспоненциальной зависимости:

 ?

где:         - вязкость капельной жидкости при стандартной температуре TQ - 20 °С,

 - экспериментальный температурный коэффициент. Зависимость вязкости жидкости от давления в широком диапазоне давлений остаётся практически линейной:

где: - вязкость жидкости при атмосферном давлении, ар - экспериментальный

коэффициент пропорциональности.

Газы обладают несравнимо более низкими коэффициентами вязкости от 0,0000084 до 0,0000192 н-с/м 2, и в отличие от капельных жидкостей вязкость газов увеличивается при увеличении температуры, т.к. с увеличением температуры газа возрастают скорости теплового движения молекул и, соответственно, увеличивается число соударений молекул газа, что делает газ более вязким. Зависимость вязкости газа от давления ничем не отлича­ется от аналогичной зависимости для капельных жидкостей.

Коэффициент динамической вязкости жидкостей и газов

 

Капельные жидкости приГ=18°С

 

Газы при Т= 0 °С

 

 

Анилин 0,00460 Азот 0,0000167

 

Ацетон ,      0,00034 Аммиак 0,0000093
Бром         -.-.   • 0,00102 Водород 0,0000084
Вода .*   0,00105 Воздух 0,0000172
Глицерин 1,39300 Кислород 0,0000192
Масло машинное 0,11300 Метан 0,0000104
Нефть 0,0080-0,1000 Углекислота COi 0,0000140
Спирт этиловый 0,00122 Хлор 0,0000129

Измерение вязкости жидкостей осуществляется с помощью вискозиметров, рабо­тающих на принципе истечения жидкости через малое калиброванное отверстие; вязкость вычисляется по скорости истечения.

Кроме деформации сдвига внутреннее сопротивление в жидкости возникает и при объёмном сжатии жидкости, т.е. сжимаемая жидкость стремится восстановить состояние первоначального равновесия. Этот процесс, в некоторой степени, аналогичен проявлению сил сопротивления при деформации сдвига, хотя сам процесс и отличается по своей сути. По этой причине говорят, что в жидкости проявляется так называемая вторая вязкость £,

обусловленная деформацией объёмного сжатия жидкости.

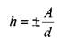
Поверхностное натяжение. Когда мы говорим о жидкости как о сплошной среде, это вовсе не означает, что эта среда бесконечна и безгранична. Жидкое тело всегда имеет границы, это либо твёрдые стенки каналов, либо границы раздела с газообразной средой, либо это граница раздела между различными несмешивающимися жидкостями. Такие гра­ницы можно с полным правом называть естественными границами.

В некоторых случаях границы могут выделяться условно внутри самой движущейся жидкости. На естественных границах в пограничном слое жидкости между молекулами самой жидкости и молекулами окружающей жидкость среды существуют силы притяже­ния, которые, в общем случае, могут оказаться не равными. В то же время силы взаимо­действия между остальными молекулами жидкости, находящимися внутри объёма, огра­ниченного пограничным слоем эти силы взаимно уравновешены. Таким образом, остают­ся не уравновешеными силы взаимодействия между молекулами, находящимися лишь во внешнем (пограничном слое). Тогда в пограничном слое возникают напряжения, которые автоматически балансируют не сбалансированные силы притяжения. Такие напряжения называются поверхностным натяжением жидкости. Этому напряжению будут соответст­вовать силы поверхностного натяжения. Под действием этих сил малые объёмы жидкости принимают сферическую форму (форму капли), соответствующей минимуму внутренней энергии; в трубках малого диаметра жидкость поднимается (или опускается) на некото­рую высоту по отношению к уровню покоящейся жидкости. Последнее явление носит на-

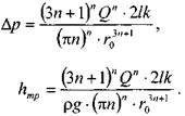
звание капиллярности. Жидкость в трубке малого диаметра (капилляре) будет поднимать­ся, если жидкость по отношению к стенке капилляра будет смачивающей жидкостью, и наоборот, будет опускаться, если жидкость для стенки капилляра окажется не смачиваю­щей. Высоту h подъёма (опускания) жидкости в капилляре с диаметром d можно опре­делить из соотношения:

 ? где: А - постоянная зависящая от свойств жидкости.

Для водымм,

Для ртути     , мм.

Силы поверхностного натяжения малы и проявляются при малых объёмах жидкости. Величина напряжений на границе раздела зависит от температуры жидкости; при увели­чении температуры внутренняя энергия молекул возрастает и, естественно, уменьшается напряжение в пограничном слое жидкости и, следовательно, уменьшаются силы поверх­ностного натяжения.

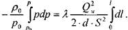
Растворимость газов в капельных жидкостях. В реальных жидкостях всегда нахо­дится в растворённом состоянии газ. Это может быть воздух, азот, углеводородный газ, углекислотасероводороди др. Наличие газа растворённого в жидкости может

оказывать как благоприятное воздействие (снижается вязкость жидкости, плотность и т.д.), так и неблагоприятные факторы. Так при снижении давления из жидкости выделяет­ся свободный газ, который может стать источником такого нежелательного явления как кавитация; выделяющийся газ может оказаться не безопасным для окружающей среды (HiS), огнеопасным и взрывоопасным (углеводородный газ). Газ, растворённый в жидко­сти, как и газ в свободном состоянии может также способствовать коррозии стенок труб и оборудования, вызывать химические реакции, ведущие к образованию отложений твёрдых солей на стенках труб, накипей и др. По этой причине знание особенностей и законов рас­творения газа в жидкости крайне желательно.

Количество газа, которое может раствориться в капельной жидкости, зависит от фи­зико-химических свойств самой жидкости и растворяемого в ней газа, а также от темпера­туры и давления. Максимальное количество газа, которое может быть растворено в дан­ной жидкости носит название предельной газонасыщенности для данного газа s0. Естест­венно, что величины предельной газонасыщенности для разных газов будут разными. Другой характеристикой процесса растворения газа в жидкости является давление насы-

чении температуры внутренняя энергия молекул возрастает и, естественно, уменьшается напряжение в пограничном слое жидкости и, следовательно, уменьшаются силы поверх­ностного натяжения.

Растворимость газов в капельных жидкостях. В реальных жидкостях всегда нахо­дится в растворённом состоянии газ. Это может быть воздух, азот, углеводородный газ, углекислота, сероводород HiS и др. Наличие газа растворённого в жидкости может оказывать как благоприятное воздействие (снижается вязкость жидкости, плотность и т.д.), так и неблагоприятные факторы. Так при снижении давления из жидкости выделяет­ся свободный газ, который может стать источником такого нежелательного явления как кавитация; выделяющийся газ может оказаться не безопасным для окружающей среды  , огнеопасным и взрывоопасным (углеводородный газ). Газ, растворённый в жидко­сти, как и газ в свободном состоянии может также способствовать коррозии стенок труб и оборудования, вызывать химические реакции, ведущие к образованию отложений твёрдых солей на стенках труб, накипей и др. По этой причине знание особенностей и законов рас­творения газа в жидкости крайне желательно.

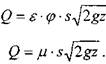
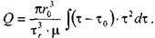
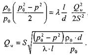
Количество газа, которое может раствориться в капельной жидкости, зависит от фи­зико-химических свойств самой жидкости и растворяемого в ней газа, а также от темпера­туры и давления. Максимальное количество газа, которое может быть растворено в дан­ной жидкости носит название предельной газонасыщенности для данного газа s0. Естест­венно, что величины предельной газонасыщенности для разных газов будут разными. Другой характеристикой процесса растворения газа в жидкости является давление насы­щения , это такое минимальное давление в жидкости, при котором достигается насы­щение капельной жидкости газом. При невысоких давлениях значительно усту­пающих величине давления насыщения справедлив закон растворимости Генри:

Количество газа растворимого в единице объёма жидкости пропорцио­нально давлению. При увеличении дав­ ления до давления насыщения величина

Кривая растворимости газа в жидкости s(p).      коэффициента   растворимости   газа

— давление насыщения, sn величина

 снижается, ппегтеттьнои гязонясьттттенноети

В  жидкости  может  одновременно

растворяться целая группа различных газов; нередки случаи, когда капельная жидкость и растворяемый в ней газ имеют одинаковую природу (нефть и углеводородные газы); в по­следнем случае между жидкостью и газом может существовать весьма условная граница, зависящая от температуры смеси и других прочих условий.

Испаряемость. При повышении температуры жидкости и, в некоторых случаях, при снижении давления часть массы капельной жидкости постепенно переходит в газообраз­ное состояние (пар). Интенсивность процесса парообразования зависит от температуры кипения жидкости при нормальном атмосферном давлении: чем выше температура кипе­ния жидкости, тем меньше её испаряемость. Однако, более полной характеристикой испа­ряемости следует считать давление (упругость) насыщенных паров, данное в функции температуры. Чем больше насыщенность паров при данной температуре, тем больше ис­паряемость жидкости.                с_

Адсорбция Адсорбцией принято называть концентрацию одного из веществ, проис­ходящую в его поверхностном слое, т.е. на границе раздела двух фаз (например, жидкость и поверхность твёрдого тела). Такая концентрация молекул жидкости на поверхности твёрдого тела обуславливается силами межмолекулярного взаимодействия. Так сила при­тяжения молекул жидкости со стороны молекул твёрдого тела неизмеримо выше, силы притяжения оказываемой со стороны молекул самой жидкости. По этой причине на по­верхности твёрдого тела образуется устойчивая пленка, состоящая из молекул жидкости, которая способна удерживаться на поверхности твёрдого тела даже в том случае, когда вдоль поверхности твёрдого тала перемещается поток жидкости. Сильное притяжение со стороны молекул твёрдого тела могут испытывать также и молекулы второго и третьего слоев молекул жидкости, т.е. образующаяся на поверхности твердого тела плёнка из час­тиц жидкости может быть многослойной. Поскольку сила взаимодействия между молеку­лами убывает с увеличением расстояния между ними, то молекулы удалённых от поверх­ности твёрдого тела слоев легко разрушаются под действием различных сил, т.е. внешние слои молекул жидкости крайне неустойчивы. Процесс разрушения образованной плёнки из жидких молекул называется десорбцией. Как правило, эти два процесса идут одновре­менно, образуя состояние неустойчивого равновесия.

Адсорбируемое вещество (в нашем случае это жидкость) называется адсорбатом, а адсорбирующее вещество (в нашем случае это твёрдое тело) называется адсорбентом. Процесс собственно адсорбции происходит на поверхности твёрдого тела без внедрения молекул адсорбата в твёрдое тело.

В тех случаях, когда молекулы адсорбата проникают в поверхностный слой адсор­бента, то такой процесс приято называть абсорбцией. Если же при этом будет происхо-

дить химические реакции между веществами, то такой процесс носит название хемсорб-ции. Следует отметить, что скорость сорбционных процессов зависит от внешних условий (температура и давление) а также от свойств самих веществ. На практике с сорбционными процессами мы встречаемся при гидроизоляции зданий и сооружений, при уплотнении сальников в различных механизмах и машинах.

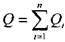
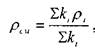
1.3. Многокомпонентные жидкости

В природе химически чистых жидкостей нет, технических рафинированных тоже немного. Обычно в основной жидкости всегда имеются незначительные или весьма суще­ственные добавки (примеси). Для капельной жидкости примесями могут быть другие жидкости, газы и твёрдые тела. В таких случаях жидкость с примесями может образовать гомогенную или гетерогенную смесь.

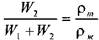
Гомогенные смеси образуются в тех случаях, когда в основной жидкости (в таких случаях эта жидкость называется растворителем) примеси распределяются по всему объё­му растворяющей жидкости равномерно на уровне молекул. В таких случаях смесь физи­чески представляет собой однородную среду, называемую раствором. Сами же примеси носят название компонент. Физические свойства такой гомогенной смеси (плотность и удельный вес) можно определить по компонентному составу:

где:- плотность смеси,

- плотность i - той компоненты,  количество / - той компоненты.

Величины других параметров смеси (вязкость и др.) зависят от многих физико-химических факторов, что является самостоятельным объектом изучения.

В тех случаях, когда примеси в основной жидкости находятся не на молекулярном уровне, а в виде частиц, представляющих собой многочисленные ассоциации молекул ве­щества примеси, то такие смеси не могут считаться однородными растворами. Физиче­ские свойства таких смесей (включая плотность и удельный вес) будут зависеть от того, какое вещество будет находиться в точке измерения. Такие смеси будут неоднородными (гетерогенными) смесями. В литературе такие смеси часто называют многофазными жид­костями. Отличительной особенностью многофазных жидкостей является наличие в них внутренних границ раздела между фазами, вдоль этих поверхностей раздела действуют силы поверхностного натяжения, которые могут оказаться значительными при большой площади поверхности границ между фазами. Силы поверхностного натяжения вкупе с

другими силами, действующими в многофазной жидкости, увеличивают силы сопротив­ления движению жидкости.

Примеров многофазных жидкостей в природе достаточно: эмульсии - смеси двух и более нерастворимых друг в друге жидкостей; газированные жидкости - смеси жидкости со свободным газом, окклюзии - смеси жидких и газообразных углеводородов; суспензии и пульпы - смеси жидкостей и твёрдых частиц, находящихся в жидкости во взвешенном состоянии и т.д.

1.4. Неньютоновские жидкости

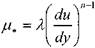
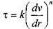
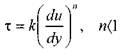
Многокомпонентные жидкости как гомогенные, так и гетерогенные, в большей сте­пени, могут содержать в своём составе компоненты, значительно изменяющие вязкость жидкости, и даже кардинально меняющие саму физическую основу и природу внутренне­го трения. В таких жидкостях гипотеза вязкостного трения Ньютона (пропорциональность напряжений градиенту скорости относительного движения жидкости) неприменима. Со­ответственно такие жидкости принято называть неньютоновскими жидкостями.

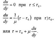
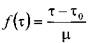
Среди неньютоновских жидкостей принято выделять вязкопластичные жидкости, псевдопластичные жидкости и дилатантные жидкости. Для вязкопластичных жидкостей характерной особенностью является то, что они до достижения некоторого критического внутреннего напряжения т0 ведут себя как твёрдые тела и лишь при превышении внут­реннего напряжения выше критической величины начинают двигаться как обычные жид­кости. Причиной такого явления является то, что вязкопластичные жидкости имеют про­странственную жёсткую внутреннюю структуру, сопротивляющуюся любым внутренним напряжениям меньшим критической величины, это критическое напряжение в литературе называют статическим напряжением сдвига. Для вязкопластичных жидкостей справедли­вы следующие соотношения Бингама:

Для псевдопластичных жидкостей зависимость между внутренним напряжением сдвига и градиентом скорости относительного движения слоев жидкости в логарифмиче­ских координатах оказывается на некотором участке линейной. Угловой коэффициент со­ответствующей прямой линии заключён между 0 и 1 Поэтому зависимость между напря­жением и градиентом скорости можно записать в следующем виде:

где:        k - мера консистенции жидкости,

п - показатель, характеризующий отличие свойств псевдопластичной    жидкости от ньютоновской.

Для псевдопластичных жидкостей полезно ввести понятие кажущейся вязкости жид­кости

тогда:  , т.е. величина кажущейся вязкости псевдопластичной жидко-

сти убывает с возрастанием градиента скорости.

Дилатантные жидкости описываются тем же самым уравнением, что и псевдопла­стичные жидкости, но при показателе п > 1 .У таких жидкостей кажущаяся вязкость уве­личивается при возрастании градиента скорости. Такая модель жидкости может быть применена при описании движения суспензий.

Неньютоновские жидкости обладают ещё одним свойством, их вязкость существен­ным образом зависит от времени. По этой причине (например, для вязкопластичных жид­костей) величина статического напряжения сдвига зависит от предыстории: чем более длительное время жидкость находилась в состоянии покоя, тем выше величина неё стати­ческого напряжения сдвига. Если прервать движение такой жидкости (остановить её), то для начала движения такой жидкости потребуется развить в жидкости меньшее напряже­ние, чем и том случае, когда она находилась в покое длительное время. Следовательно, необходимо различать величину начального статического напряжения сдвига и динамиче­скую величину этого показателя. Жидкости, которые обладают такими свойствами, назы­ваются тиксотропными. Жидкости, у которых наоборот динамические характеристики выше, чем начальные называются реопектическими неньютоновскими жидкостями. Такие явления объясняются тем, что внутренняя структура таких жидкостей способна упроч­няться с течением времени, или (в другом случае) для восстановления начальных свойств им требуется некоторое время.

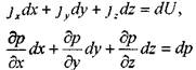
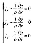
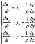
2 .Основы гидростатики 2.1. Силы, действующие в жидкости

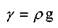
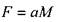
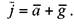
Поскольку жидкость обладает свойством текучести и легко деформируется под дей­ствием минимальных сил, то в жидкости не могут действовать сосредоточенные силы, а возможно существование лишь сил распределённых по объёму (массе) или по поверхно­сти. В связи с этим действующие на жидкости распределённые силы являются по отноше­нию к жидкости внешними. По характеру действия силы можно разделить на две катего­рии: массовые силы и поверхностные.

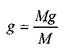
Массовые силы пропорциональны массе тела и действуют на каждую жидкую час­тицу этой жидкости. К категории массовых сил относятся силы тяжести и силы инерции переносного движения. Величина массовых сил, отнесённая к единице массы жидкости, носит название единичной массовой силы. Таким образом, в данном случае понятие о единичной массовой силе совпадает с определением ускорения. Если жидкость, находится под действием только сил тяжести, то единичной силой является ускорение свободного падения:

 

где М' - масса жидкости

Если жидкость находится в сосуде, движущимся с некоторым ускорением а, то жид­кость в сосуде будет обладать таким же ускорением (ускорением переносного движения):

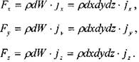
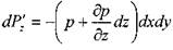
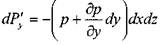
Поверхностные силы равномерно распределены по поверхности и пропорциональны площади этой поверхности. Эти силы, действуют со стороны соседних объёмов жидкой среды, твёрдых тел или газовой среды. В общем случае поверхностные силы имеют две составляющие нормальную и тангенциальную. Единичная поверхностная сила называется напряжением. Нормальная составляющая поверхностных сил называется силой давления Р, а напряжение (единичная сила) называется давлением:

 5

где:        S - площадь поверхности.

Напряжение тангенциальной составляющей поверхностной силы Т (касательное на­пряжение) определяется аналогичным образом (в покоящейся жидкости Т=0).

Величина давления (иногда в литературе называется гидростатическим давлением) в системе СИ измеряется в паскалях.

Поскольку эта величина очень мала, то величину давления принято измерять в мега-паскалях МПа

1МПа = \ 106 Па.

В употребляемой до сих пор технической системе единиц давление измеряется в технических атмосферах, am.                                                                                         С,

1 am = \кГ/см2 = 0,1 МПа,               1 МПа = 10 am.

В технической системе единиц давление кроме технической атмосферы измеряется также в физических атмосферах, А.

\А = 1,033 am.

Различают давление абсолютное, избыточное и давление вакуума. Абсолютным дав­лением называется давление в точке измерения, отсчитанное от нуля. Если за уровень от­счёта принята величина атмосферного давления, то разница между абсолютным давлени­ем и атмосферным называется избыточным давлением.

Если давление, измеряемое в точке ниже величины атмосферного давления, то раз­ница между замеренным давлением и атмосферным называется давлением вакуума

Избыточное давление в жидкостях измеряется манометрами. Это весьма обширный набор измерительных приборов различной конструкции и различного исполнения. 2.2. Свойства гидростатического давления

В неподвижной жидкости возможен лишь один вид напряжения - напряжение сжа­тия. Как отмечалось ранее, жидкость в общем случае может находиться под действием двух сил - силы давления равномерно распределённой по всей внешней поверхности вы­деленного жидкого тела и массовых сил, определяемых характером переносного движе­ния. Под внешней границей жидкого тела могут пониматься как соседние тела: твёрдые (стенки сосуда или трубы, в которые помещена жидкость), газообразные (поверхность раздела между жидкостью и газовой средой), так и условные поверхности, мысленно вы­деляемые внутри самой жидкости. Действующее на внешнюю поверхность жидкости дав­ление обладает двумя основными свойствами:         t

1. Давление всегда направлено по внутренней нормали к выделенной поверхности. Это свойство вытекает из самой сущности давления и доказательств не требует. Тем не менее, поясним этот постулат простым примером. Отсечём от жидкого тела часть его объ-

ёма и для сохранения равновесия оставшейся части жидкости приложим к образовав­шемуся сечению систему распределённых сил. По своей вели­чине и напрвлению действия эти силы должны обеспечить эк­ вивалентное влияние на оставшийся объём жидкости со сторо­ны отсечённой части жидкого тела. Поскольку в покоящейся

жидкости не могут существовать касательные напряжения, то приложенные к сечению силы могут быть направлены лишь по внутренней нормали к площади сечения.

2. В любой точке внутри жидкости давление по всем направлениям одинаково. Дру­гими словами величина давления в точке не зависит от ориентации площадки, на которую действует давление.

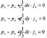
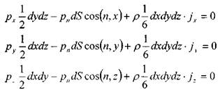
Для доказательства этого положения выде­лим в районе произвольно выбранной точки на­ходящейся внутри жидкости малый отсек жид­кости в виде тетраэдра. Три взаимно перпенди­кулярные грани отсека будут параллельны ко­ординатным плоскостям, четвёртая грань распо­ложена под произвольным углом (по отноше­нию к одной из координатных плоскостей). От­ бросим массу жидкости, находящуюся с внеш­ней стороны поверхности тетраэдра, а действие

отброшенной массы жидкости на выделенный отсек заменим силами, которые обеспечат равновесие в покоящейся жидкости. При такой замене мы сделали некоторое допущение, ввели сосредоточенные силы, действующие на грани отсека. Однако это допущение мож- . но считать справедливым ввиду малости отсека. Тогда для обеспечения равновесия на от­сек жидкости должны действовать силы давления нормальные к граням отсека  ; корме того, на этот же отсек жидкости будут действовать массовые силы

характер действия которых определяется переносным движением, т.е. движе­нием сосуда, относительно которого покоится жидкость. Величина массовых сил будет

пропорциональна массе жидкости в отсеке:

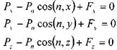
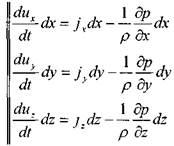
Запишем уравнение равновесия отсека жидкости в проекциях на оси координат.

Выразив силы через напряжения, уравнения равновесия будут иметь следующий вид:

где:    - площадь наклонной грани отсека,        - проекции ускоре-

ния переносного движения на оси координат.

учитывая, что:

Уравнения равновесия примут вид:

Пренебрегая малыми величинами, получим:

3. Для жидкости находящейся в состоянии равновесия справедлив так называемый закон Паскаля утверждающий, что всякое изменение давления в какой-либо точке жидкости передаётся мгновенно и без изменения во все остальные точки жидкости.

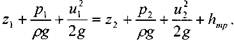
2.3. Основное уравнение гидростатики

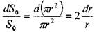
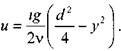
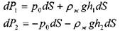
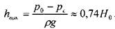
Рассмотрим случай равновесия жидкости в состоя­нии «абсолютного покоя», т.е. когда на жидкость дейст­вует только сила тяжести. Поскольку объём жидкости в сосуде мал по сравнению с объёмом Земли, то уровень свободной поверхности жидкости в сосуде можно счи­тать горизонтальной плоскостью. Давление на свобод­ную поверхность жидкости равно атмосферному давле­ нию р0. Определим давление р в произвольно выбран­ной точке М, расположенной на глубине h. Выделим

около точки М горизонтальную площадку площадью dS . Построим на данной площадке вертикальное тело, ограниченное снизу самой площадкой, а сверху (в плоскости свобод­ной поверхности жидкости) её проекцией. Рассмотрим равновесие полученного жидкого тела. Давление на основание выделенного объёма будет внешним по отношению к жид­кому телу и будет направлено вертикально вверх. Запишем уравнение равновесия в про­екции на вертикальную ось тела.

Сократив все члены уравнения на dS, получим:

Давление во всех точках свободной поверхности одинаково и равно р0, следова­тельно, давление во всех точках жидкости на глубине h также одинаково согласно основ­ному уравнения гидростатики. Поверхность, давление на которой одинаково, называется поверхностью уровня. В данном случае поверхности уровня являются горизонтальными плоскостями.

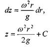
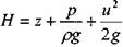
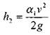
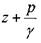
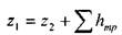
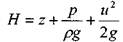
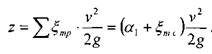
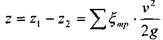
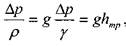
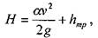
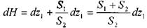
Выберем некоторую горизонтальную плоскость сравнения, проходящую на расстоя­нии z0 от свободной поверхности, тогда можно записать уравнение гидростатики в виде:

Все члены уравнения имеют линейную размерность и носят название:

-  геометричкская высота,

 -  пьезометрическая высота

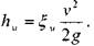
Величинаносит название гидростатического напора.

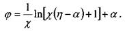
Основное уравнение гидростатики, доказанное на примере жидкости находящейся под действием только сил тяжести, будет справедливо и для жидкости, которое испытыва­ет на себе ускорение переносного движения. Под действием сил инерции переносного движения будет меняться положение свободной поверхности жидкости и поверхностей равного давления относительно стенок сосуда и относительно горизонтальной плоскости. Вид этих поверхностей целиком зависти от комбинации ускорений переносного движения и ускорения сил тяжести. В литературе состояние равновесия жидкости при наличии пе­реносного движения называется относительным покоем жидкости. Любые комбинации ускорений сводятся к двум возможным видам равновесия жидкости

Равновесие жидкости при равномерно ускоренном прямолинейном движении со­суда. Примером может быть равновесие жидкости в цистерне, движущейся с неко­торым ускорением а. В этом случае на жидкость будут действовать силы тяжести  и сила инерции равномерно укоренного движения цистерны. Тогда равно-

действующая единичная массовая сила определиться как сумма векторов ускорения пере­носного движения и ускорения свободного падения.

При данных условиях вектор единичной массовой силы переносного движения а бу­дет направлен в сторону противоположную движению цистерны, ускорение свободного падения g, как всегда ориентировано вертикально вниз, т.е. как показано на рисунке. При движении цистерны начальное положение свободной поверхности жидкости изменится. Новое положение свободной поверхности жидкости, согласно основному условию равно­весия жидкости будет направлена перпендикулярно вектору, т.к., равнодействующий вектор массовых сил должен быть направлен по внутренней нормали к свободной поверх­ности жидкости. Наклон свободной поверхности жидкости к горизонтальной плоскости определяется соотношением ускорений

Выберем некоторую точку М расположенную внутри жидкости на глубинепод уровнем свободной поверхности (расстояние до свободной поверхности жидкости изме­ряется по нормали к этой поверхности). В точке М выделим малую площадку парал­лельную свободной поверхности жидкости. Тогда уравнение равновесия жидкости запи­шется в следующем виде:

Величинузаменим эквивалентной величиной, где h -погружение точки М под уровень свободной поверхности жидкости (измеряется по вертикали). Эти две величины

одинаковы, т.к. . После этих преобразований уравнение равновесия

жидкости в цистерне примет привычный вид, соответствующий записи основного закона гидростатики:

Таким образом, давление в любой точке жидкости будет зависеть только от положе­ния этой точки относительно уровня свободной поверхности жидкости. Поверхности рав­ного давления будут параллельны свободной поверхности жидкости, и иметь такой же ук­лон

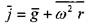
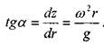
Равновесие жидкости в равномерно вращающемся сосуде. Свободная поверхность жидкости, залитой в цилиндрический сосуд и находящейся под действием сил тяжести примет форму горизонтальной плоскости на некотором уровнеотносительно дна сосу­да. После того как мы приведём сосуд во вращение вокруг его вертикальной оси с некоторой постоянной угловой скоростью со = const, начальный уровень свободной по­верхности жидкости изменится: в центре сосуда он пони­зится, а по краям сосуда повысится. При этом форма сво­бодной поверхности примет явно вид криволинейной по­верхности вращения. Это явление объясняется тем, что  при вращении сосуда вокруг своей оси жидкость в нём бу­дет испытывать ускорение переносного движения направленное в сторону стенок сосуда. Поскольку равнодействующая двух сил: силы тя­жести и центробежной силы должна быть направлена по нормали к свободной поверхно­сти жидкости в каждой точке поверхности, то эта равнодействующая будет иметь, как быль сказано выше, две составляющие соответственно силу тяжести, направленную вер­тикально вниз и центробежную, направленную в горизонтальной плоскости.

В каждой точке свободной поверхности жидкости АОВ вектор углового ускорения  будет направлен под некоторым углом а по отношению к касательной плоскости, проходящей через данную точку свободной поверхности.

Отсюда:

В центре на оси вращения, на расстоянии от дна сосуда будет расположена

самая низкая точка свободной поверхности жидкости, т.е.

Отсюда: свободная поверхность жидкости находящейся в равномерно вращающемся вокруг его вертикальной оси сосуде будет иметь вид параболоида вращения (кривая АОВ-парабола).

Выберем любую точку жидкости на глубине под свободной поверхностью h (в част­ности точка находится на дне сосуда), тогда давление в ней будет равно:

Этот вывод можно распространить и на более сложные случаи вращения сосуда, на­клоняя ось его вращения под углом к горизонту; результат получим тот же, что подтвер­ждает универсальность формулы основного урав­нения гидростатики.

2.4. Дифференциальное уравнение равнове­сия жидкости

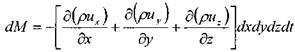
После рассмотрения некоторых частных слу­чаев равновесия жидкости рассмотрим общее диф­ ференциальное равновесия в самом общем виде. Для этой цели выделим отсек жидкости малых раз­меров в виде параллелепипеда. Масса жидкости в выделенном объёме:

На боковые грани параллелепипеда действуют силы давления: (на левую и правую грани соответственно):. На переднюю и заднюю грани: , на нижнюю

и верхнюю грани:

Поскольку давление на правую грань больше, то i

По аналогии можно записать силы давления на остальные пары граней.

на переднюю , на заднюю , на нижнюю

 , на верхнюю Проекции массовых сил на координатные оси:

на ось ОХ будет на ось ОУ будет

на ось OZ будет Тогда сумма сил действующих вдоль оси ОХ:

сумма сил действующих вдоль оси 07:

сумма сил действующих вдоль оси OZ:

где:,         проекции ускорения массовых сил на координатные оси.

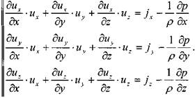
После преобразования получим систему дифференциальных уравнений равновесия жидкости:

 i i     >

2.5. Сообщающиеся сосуды

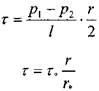
В своей практической деятельности человек часто сталкивается с вопросами равно­весия жидкости в сообщающихся сосудах, когда два сосуда А и В соединены между со­бой жёстко или гибким шлангом. Сами сосуды и В) обычно называются коленами. Такой гидравлический элемент часто используется в различных гидравличе­ских машинах (гидравлические прессы и др.), системах гидропривода и гидроавтоматики, различных измери­тельных приборах и в ряде других случаев. С природ­ ными сообщающимися сосудами человек встречается с давних пор: сообщающимися сосудами больших раз­меров являются водонасыщенные пласты горных пород с системой колодцев, играющих роль отдельных колен природной гидродинамической системы.

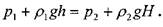
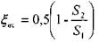
В открытых сообщающихся сосудах, заполненных однородной жидкостью свобод­ный уровень жидкости устанавливается на одном и том же уровне в обоих коленах. Если в коленах сосудов залиты две несмешивающиеся жидкости с различной плотностью, то свободные уровни жидкости в правом и левом коленах устанавливаются на разных высо­тах в зависимости от соотношения плотностей жидкостей.

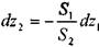
Для типичного случая, изображённого на рисунке, запишем уравнение равновесия жидкости относительно уровня раздела жидкостей.

или:

В закрытых сообщающихся сосудах давления на свободную поверхность могут быть шными, тогда уравнение равновесия будет иметь следующий вид:

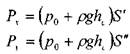
2.6.       Сила давления жидкости па плоскую поверхность, погружённую в жид­кость

Согласно основному закону гидростатики величина давления р определяется глу­биной погружения точки под уровень свободной поверхности h жидкости и величиной

плотности жидкости р.

Для горизонтальной поверхности величина давления одинакова во всех точках этой поверхно­сти, т.к.:

 Отсюда:

Таким образом, Сила давления жидкости на горизонтальную поверхность (дно сосу­да) равно произведению площади этой поверхности на величину давления на глубине по­гружения этой поверхности. На рисунке показан так называемый «гидравлический пара­докс», здесь величины силы давления на дно всех сосудов одинаковы, независимо от формы стенок сосудов и их физической высоты, т.к. площади доньев у всех сосудов оди­наковы, одинаковы и величины давлений.

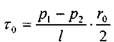
Сила давления на наклонную поверхность, погруженную в жидкость. Практическим примером такой поверхности может служить наклонная стенка сосуда. Для вывода урав-

нения и вычисления силы давления на стенку выберем следующую систему координат: ось ОХ направим вдоль пересечения плоскости свободной поверхности жидкости с на­клонной стенкой, а ось OZ направим вдоль этой стенки перпендикулярно оси ОХ. Тогда в качестве координатной плоскости XOZ будет выступать сама наклонная стенка. На плос­кости стенки выделим малую площадку, которую, в связи с малыми размерами можем считать горизонтальной. Величина давления на глубине площадки будет равна:

где: h - глубина погружения площадки относительно свободной поверхности жидкости (по вертика­ли).

 СиладавленияdP на площадку:

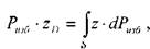
Для определения силы давления

на всю смоченную часть наклонной стенки (часть площади стенки сосуда, расположенная ниже уровня свободной поверхности жидкости) необходимо проинтегрировать это урав­нение по всей смоченной части площади стенки S .

Интеграл представляет собой статический момент площади S относительно

оси ОХ. Он, как известно, равен произведению этой площади на координату её центра тяжести zc. Тогда окончательно:

Таким образом, сила давления на наклонную плоскую поверхность, погружённую в жидкость равна смоченной площади этой поверхности на величину давления в центре тя­жести этой площади. Сила давления на плоскую стенку кроме величины и направления характеризуется также и точкой приложения этой силы, которая называется центром дав­ления.

Центр давления силы атмосферного давления p0S будет находиться в центре тяже­сти площадки, поскольку атмосферное давление передаётся на все точки жидкости одина­ково. Центр давления самой жидкости на площадку можно определить исходя из теоремы о моменте равнодействующей силы. Согласно этой теореме момент равнодействующей

силы относительно оси ОХ будет равен сумме моментов составляющих сил относительно этой же оси.

откуда:

где:- положение центра избыточного давления на вертикальной оси,

 - момент инерции площадки S относительно оси ОХ.

Отсюда центр давления (точка приложения равнодействующей силы избыточного давления) расположен всегда ниже центра тяжести площадки. В сучаях, когда внешнней действующей силой на свободную поверхность жидкости является сила атмосферного давления, то на стенку сосуда будут одновременно действовать две одинаковые по вели­чине и противоположные по направлению силы обусловленные атмосферным давлением (на внутреннюю и внешнюю стороны стенки). По этой причине реальной действующей несбалансированной силой остаётся сила избыточного давления.

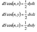
2.7. Сила давления на криволинейную поверхность, погружённую в жидкость Выберем внутри покоящейся жидкости криволинейную поверхность ABCD, которая может быть частью поверхности некоторого тела погруженного в жидкость. Построим проекции этой поверхности на координатные плоскости. Тогда в координатной плоскости XOZ проекцией этой поверхности будет плоская поверхность , в координатной

плоскости YOZ плоская поверхность и в плоскости свободной поверхности

жидкости (координатная плоскость ХОТ) - плоская поверхность . На криволи-

нейной поверхности выделим малую площадку dS, проекции которой на координатные

плоскости будут соответственно  . Сила давления на криво­линейную поверхность dP будет направ­лена по внутренней нормали к этой по­верхности и может быть представлена в виде:

Горизонтальные составляющие мо­гут быть определены, как силы давления

'' -                                                на проекциималой площадки dS на соот-

ветствующие координатные плоскости:

Интегрируя эти уравнения, получим (как в случае с давлением на наклонную по­верхность):

Вертикальная составляющая силы давления:

^

Второй интеграл в этом равенстве представляет собой объём образованный рассмат­риваемой криволинейной поверхностью ABCD и её проекцией на свободную поверхность жидкости. Этот объём принято называть телом давления

Таким образом, горизонтальные составляющие силы давления на криволинейную поверхность равны давлениям на вертикальные проекции этой поверхности, а вертикаль­ная составляющая равна весу тела давления, и силе внешнего давления на горизонтальную проекцию криволинейной поверхности.

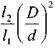
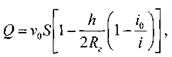
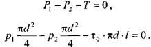
Основные уравнения гидростатики широко используются на практике. Примероми могут служить простейшие гидравлические машины - гидравлический пресс, построен­ный по принципу сообщающихся сосудов и гидравлический аккумулятор.

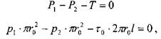
Гидравлический пресс состоит из двух цилиндров приводного (1) и рабочего (2) со-

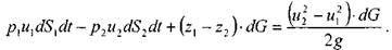
единеных между собой трубо­проводом и представляет систе­му сообщающихся сосудов. В приводном цилиндре перемеща­ется плунжер малого диаметра d, в рабочем цилиндре находит­ся поршень с большим диамет­ром D. Связь между плунжером и рабочим поршнем осуществ­ ляется через рабочую жидкость, заполняющую гидравлическую систему (сообщающиеся сосуды). Усилие F через рычаг передаются рабочей жидкости.

Сила давления на жидкость под плунжером Р] передаёт жидкости давление р, которое, в свою очередь, передаётся во все точки рабочего поршня.

Тогда сила давления на поверхность рабочего поршеня будет равна'

Таким образом, с помощью гидравлического пресса, приложенная к концу рычага

^ сила, увеличивается враз.

2.8. Равновесие твёрдого тела в жидкости

Определим силу давления на твёрдое тело, погружённое в жидкость. На замкнутую криволинейную поверхность, являющуюся поверхностью твердого тела погружённого в

жидкость будут действовать массо­вые силы (в данном случае силы тя­жести) и поверхностные, силы дав­ления на поверхность тела. Рассмот­рим действие сил давления. Как из­вестно, горизонтальные составляю­щие силы давления будут взаимно уравновешены. Так как проекции тела на координатную плоскость XOZ с его левой и правой сторон  совпадут; то совпадут и координаты центров тяжести этих проекций. То­гда проекции сил давления на ось

ОХ будут одинаковыми по величине, но противоположными по направлению Аналогично можно записать и для проекций сил давления на ось OY (давление на проек­ции поверхностей в координатной плоскости YOZ),. Неуравновешенными будут

лишь вертикальные составляющие силы давления, действующие на верхнюю и нижнюю стороны поверхности тела.

Вертикальными сечениями выделим на верхней и нижней половинах тела малые площадки. Тогда вертикальные составляющие на верхнюю и нижнюю площадки будут равны:

После интегрирования по объёму тела найдём равнодействующую сил давления. Она окажется равной разности весов двух тел давления, ограниченных свободной поверхно­стью жидкости и верхней и нижней поверхностями тела.

Равнодействующая сил давления носит название выталкивающей силы, эта сила на­правлена вертикально вверх и численно равна весу жидкости в объёме вытесненной те­лом. Последнее положение получило название закона Архимеда. Закон Архимеда часто формулируют несколько иначе: «тело, погружнное в жидкость теряет в своём весе столько сколько весит вытесненная им жидкость».

Таким образом, На погружённое в жидкость тело действуют две силы:

вес телаи выталкивающая сила

ЕслиТело будет тонуть.

ЕслиТело будет всплывать до тех пор пока вес тела и величина

выталкивающей силы, действующей на погруженную часть объёма тела не уравновесятся.

ЕслиТело будет находиться во взвешенном состоянии в жидкости,

т.е. плавать внутри жидкости на любой заданной глубине.

Для тела плавающего на поверхности жидкости должно, таким образом выполняться условие:

Другими словами, степень погружения плавающего на поверхности тела под уровень жидкости заваисит от со­ отношения плотности телаи жидкости:

Если тело однородное, то точка приложения силы тяжести тела и точка приложения выталкивающей силы совпадают. В тех случаях, когда плавающее на поверхности жидко­сти тело не однородно по своему составу (корабль с грузом) в условиях равновесия точки приложения действующих на тело сил располагаются в разных местах на прямой верти­кальной линии. В таких случаях на плавающее в жидкости тело действует пара сил, от

действия которой зависит положение тела относительно жидкости Такие плавающие тела могут находиться в ос­тойчивом и не остойчивом состоянии Так тело 1 под дей­ствием пары сил находится в состоянии равновесия На тело 2 действует пара сил, стремящаяся уменьшить угол крена (угол между осью плавания тела и плоскостью сво­ бодной поверхности жидкости) Такое положение пла­вающего тела называется остойчивым На тело 3 действует пара сил, стремящаяся увели­чить угол крена (перевернуть тело), такое положение тела называется не остойчивым по­ложением

;                 t*                  3. Элементы кинематики жидкости

Кинематикой называют раздел механики, изучающий движение физических тел во­обще, вне связи с источником движения (силами). Это определение справедливо и для ки­нематики жидкости как отдельного раздела гидравлики. 3.1. Методы изучения движения жидкости.

Жидкость представляет собой физическое тело, состоящее из бесконечно большого числа бесконечно малых частиц. С большой степенью точности мы можем рассматривать жидкое тело как сплошную среду, эта модель позволяет значительно упростить решение большинства гидравлических задач. Тем не менее, нередки случаи, когда уровень иссле­дования движения жидкого тела требует глубокого знания физических процессов проис­ходящих в движущейся жидкости на молекулярном уровне. В таких случаях вполне удоб­ная модель сплошной среды может оказаться неприемлемой.

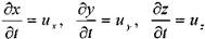
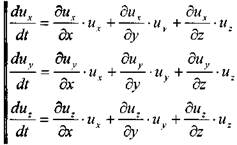
Исходя из практики изучения гидравлики как прикладной дисциплины, можно упо­мянуть два метода изучения движения жидкости: метод Лагранжа и метод Эйлера.

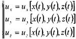
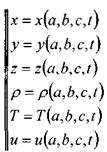
Описание движения жидкости методом Лагранжа сво­дится к рассмотрению положения частиц жидкости (в пол­ном смысле слова) в любой момент времени. Так в началь­ный момент времени частицы находились в точках 1, 2, 3 и 4. По истечении некоторого времени они переместились в точки: Г, 2',3'и4', причём это перемещение сопровожда­лось изменением объёмов и форм частиц (упругой деформа­цией). Тогда можно утверждать, что частицы жидкости при  своём движении участвуют в трёх видах движения (поступа­тельном, вращательном и деформации). Для описания такого сложного движения жидко­сти необходимо, таким образом, определить как траектории частиц, так и гидравлические характеристики частиц (плотность р, температуру Т и скорость и) в функции времени и координат.

Переменные а, Ь, с, и / носят название переменных Лагранжа. Задача сводится к ре­шению систем дифференциальных уравнений в частных производных для каждой части-

цы жидкости. Метод Лагранжа ввиду громоздкости и трудности решения может исполь­зоваться в случаях детального изучения поведения лишь отдельных частиц жидкости. Ис­пользование этого метода для инженерных расчётов не рентабельно.

Суть другого метода, метода Эйлера заключается в том, что движение жидкости подменяется изменением поля скоростей. Под полем скоростей понимают некоторую дос­таточно большую совокупность точек бесконечного пространства занятого движущейся жидкостью, когда в каждой точке пространства в каждый момент времени находится час­тица жидкости с определённой скоростью (вектором скорости). Припишем неподвижным точкам пространства скорость частиц жидкости, которые в данный момент времени нахо­дятся в этих точках. Поскольку пространство бесконечно и непрерывно, то мы имеем мас­сив данных о скоростях достаточно полный, чтобы определить (задать) поле в каждой его точке. Условно, нос достаточной точностью такое поле можно считать непрерывным.

Несмотря на то, что исходные условия создания модели движущийся жидкости до­вольно сложные, тем не менее, метод Эйлера весьма удобен для расчётов.

Построение поля скоростей осуществляет­ся следующим образом:

На некоторый момент времени (например, to) произвольным образом выберем необходимое число точек, в которых находятся частицы жид­кости.           Приписав           их           скорости  точкам неподвижного про­странства (1, 2, 3, 4, 5 и 6) мы сделаем «момен­тальную фотографию» поля скоростей на вы­бранный момент времени. В следующий момент времени в тех же выбранных точках

неподвижного пространства будут находиться другие частицы жидкости, имеющие другие ско­рости . Выполнив уже

известную процедуру второй раз, получим но­ вую «моментальную фотографию» поля скоро­стей на момент времени. Теперь вместо изучения траекторий частиц жидкости

будем сравнивать поля скоростей. Тогда система уравнений примет вид:

Поле скоростей движения жидкости иногда называют гидродинамическим полем по аналогии с электромагнитным, тепловым и др. полями. Это определение не противоречит физической стороне процесса движения жидкости. Анализируя состояние гидродинами­ческого поля на разные моменты времени, можно отметить, что с течени­ем времени поле изменилось, несмотря на то, что в отдельных точках 5 и 6 скорости оста­лись постоянными Такое поле называют нестационарным гидродина­мическим полем. В частном случае, когда во всех точках неподвижного пространства с течением времени предыдущие частицы жидкости сменяются другими с такими же скоро­стями, то поле скоростей во времени не меняется. Такое гидродинамическое поле называ­ют стационарным. В соответствии с этим различают и два вида движения жидкости: уста­новившееся, когда поле скоростей является стационарным и неустановившееся при неста­ционарном гидродинамическом поле.

3.2.Кинематические элементы движущейся жидкости

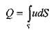
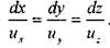
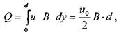
Основной кинематической характеристикой гидродинамического поля является ли­ния тока - кривая, в каждой точке которой вектор скорости направлен по касательной к кривой. И ходя из данного определения можно записать дифференциальное уравнение линии  тока:

Если через некоторую неподвижную в пространстве кривую провести линии тока, то полученная поверхность называется поверхностью тока, а образованное этой поверхно­стью тело будет называться трубкой тока. Жидкость, на­полняющая трубку тока, называется элементарной струйкой. Поскольку линии тока никогда не пересекают­ся, то поверхность трубки тока является непроницаемой  внешней границей для элементарной струйки жидкости. Сечение трубки тока, нормальное к линиям тока называется живым сечением элементар­ной струйки dS. При установившемся движении жидкости понятия линии тока и траекто­рии движения частицы жидкости совпадают. Объём жидкости протекающий через живое

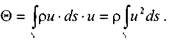
сечение элементарной струйки в единицу времени называется расходом элементарной струйки.

 ?

где:      объём жидкости, протекающий через живое сечение трубки тока за

время

 расход жидкости в живом сечении трубки тока. Размерность расхода жидкости в системе СИ -м/с.

Гидродинамическое поле считается потенциальным (безвихревым), если в этом поле отсутствует вихревое движение жидкости. В потенциальном поле может существовать лишь поступательное или криволинейное движение жидкости. 3.3 Уравнение неразрывности жидкости

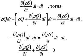
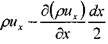
Если в гидродинамическом поле отсутствуют вихри, то; для такого поля можно за­писать уравнение, связывающее параметры движущейся жидкости (плотность жидкости) с

параметрами, характеризующими условия движения жидкости. Вывод такого уравне­ния основан на представлении жидкости как сплошной непрерывной среды, в силу чего такое уравнение получило название уравнения неразрывности.

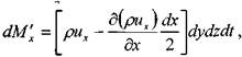
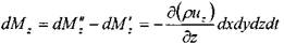
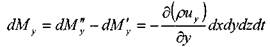
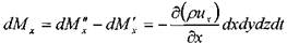
Для этой цели выделим в пространст­ве малый элемент жидкой среды в виде па­ раллелепипеда, стороны которого будут равны соответственно.. Грани

параллелепипеда пусть будут параллельны координатным плоскостям. В центре элемента в данный момент времени будет находиться частица жидкости, плотность которой равна р, а вектор скорости движения и направлен таким образом, что жидкость втекает внутрь элемента через левую, нижнюю и переднюю грани элемента и вытекает через противопо­ложные грани. Будем считать также, что размер элемента достаточно мал, и можно допус­тить, что в пределах этого элемента изменение плотности жидкости и скорости её движе­ния будет прямо пропорционально расстоянию от центра элемента. Одновременно разме­ры граней будут достаточно велики по сравнению с точкой, что позволит утверждать, что плотность жидкости и скорость во всех точках граней будут одинаковыми, как и плот­ность жидкости в пределах соответствующих граней. Тогда произведение плотности жид­кости на вектор скорости (импульс) в специальной литературе часто называют вектором

массовой скорости ри.

В таком случае проекция вектора массовой скорости в центре левой грани элемента на ось ОХ будет равна:

а проекция вектора массовой скорости в центре правой грани элемента на ось ОХ:

 &

Масса жидкости, поступившая через левую грань элемента за малый интервал времени dt\

масса жидкости, вытекшая через правую грань элемента за малый интервал времени dt:

Изменение массы жидкости внутри элемента при движении жидкости вдоль оси ОХ:

Аналогично, изменение массы жидкости внутри элемента при движении жидкости вдоль оси OY:                                                                                                  1,

и вдоль оси OZ:

Окончательно, изменение массы жидкости внутри элемента при движении жидкости в произвольном направлении:

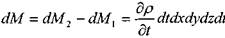
 ? или

Величина плотности жидкости в начальный момент (до начала движения жидкости t = Q) -   р, а по истечении бесконечно малого интервала времени (т.е.

Масса жидкости в объёме выделенного элемента в начальный момент времени:

для времени:

Изменение массы жидкости за бесконечно малый интервал времени dt:

 •> или:

 i

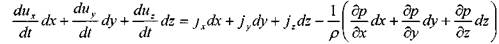
откуда для наиболее общего случая нестационарного полядифференциальное

уравнение неразрывности запишется в следующем виде:

и для частного случая - стационарного поля:

 «

В векторной форме уравнения неразрывности жидкости запишутся в следующем ви­де:

 ?

3.4 Уравнение неразрывности для элементарной струйки жидкости

Выделим в элементарной струйке жидкости двумя сечениями 1 - Г и 2 - 2' малый отсек жидкости длиной dl. Объём жидкости внутри выделенного отсека

 Масса жидкости, вошедшая в элементарную трубку тока за временной интервал dt, будет равна:

Масса жидкости, вытекшая за это же время через противоположное сечение от­сека:

1 В данном разделе для удобства записи вместо принятых ранее обозначений площади сечения элементар­ной струйки жидкости dS и элементарного расхода жидкости dQ используются обозначения: S и Q.

За тот же интервал времени масса жидкости внутри отсека изменится на величину:

^    * откуда

 *

Окончательно формула может быть представлена в виде

При установившемся движении жидкости (р = const) уравнение неразрывности при­мет вид:

3.5 Элементы кинематики вихревого движения жидкости

Поступательному движению жидкости часто сопутствует вихревое движение, вы­званное вращением элементарного объёма жидкости вокруг некоторой оси Такое враще­ние жидкости называется вихрем; угловая скорость этого элементарного объёма является основной характеристикой вихря Касательная в любой точке вектора вихря - вихревая линия Поверхность образованная вихревыми линиями, проведенными через точки замк­нутого контура, называется вихревой трубкой Прямолинейную вихревую трубку с беско­нечно малой площадью сечения можно рассматривать как вращающийся твердый ци­линдр, окружная скорость которого пропорциональна радиусу. Кинематической характе­ристикой вихревого течения жидкости является циркуляция скорости, которая служит ме­рой завихренности.                                   '

 5

где:       Г - циркуляция вектора скорости,

- проекция вектора скорости на касательную к этому контуру в i-той точ-

ке

 - элемент длины контура

В тех случаях, когда вращение жидкости в определённых точках пространства про­исходит с постоянной скоростью и положение вихря с течением времени не меняется, то такое вихревое движение принято называть стационарным вихрем В иных случаях вихре­вое движение следует считать не стационарным.

3.6.         Поток жидкости

Поток жидкости представляет собой совокупность элементарных струек жидкости. По этой причине основные кинематические характеристики потока во многом совпадают по своему смыслу с аналогичными характеристиками для элементарной струйки жидко­сти. Тем не менее, различия всё же имеются. Так в отличие от элементарной струйки, ко­торая отделена от остальной жидкости поверхностью трубки тока, образованной линиями тока, поток жидкости имеет реальные границы в виде твёрдой среды, газообразной или жидкой сред. По типу границ потоки можно разделить на следующие виды:

напорные, когда поток ограничен твёрдой средой по всему периметру сече­ния,

безнапорные, когда часть сечения потока представляет собой свободную по­верхность жидкости,

гидравлические струи, когда поток ограничен только жидкой или газообраз­ной средой. Если гидравлическая струя ограничена со всех сторон жидко­стью, то она называется затопленной гидравлической струёй, если гидравли­ческая струя ограничена со всех сторон газовой средой, то такая струя назы­вается незатопленной.

Поперечное сечение потока, расположенное нормально к линиям тока, называется живым сечением потока. Площадь живого сечения потока определяется соотношением:

Расход жидкости в потоке определяется как отношение объёма жидкости протекаю­щее через живое сечение потока к интервалу времени или определяется следующим соот­ношением:

Кроме известной размерности расхода в системе СИ м3/с имеется целый набор вне­системных единиц для измерения расхода жидкости в потоке: м3/сут, л/чс, л/с, и др.

Средней скоростью в живом сечении потока называ­ется величина:

Смоченным периметром живого сечения потока П называется часть контура живого сечения потока, которая ограничена твёрдой средой. (На рисунке смоченный пери­ метр выделен жирной линией).

Отношение площади живого сечения потока к длине

смоченного периметра называется гидравлическим радиусом живого сечения.

Величина гидравлического радиуса круглого сечения радиуса г:

равна половине величины его геометрического радиуса. Величина гидравлического радиуса трубы квадратного сечения со стороной а, (полностью заполненной жидкостью)

равна

4. Динамика идеальной жидкости

4.1. Дифференциальное уравнение движения идеальной жидкости (при устано­вившемся движении) и его интегрирование

Для вывода уравнения движения жидкости обратимся к записанному ранее уравне­нию равновесия жидкости (в проекциях на координатные оси), иначе говоря:  . Поскольку в идеальной жидкости никаких сосредоточенных сил действовать не может, то последнее уравнение чисто условное. Когда равнодейст­вующая отлична от 0, то жидкость начнёт двигаться с некоторой скоро­стью, т.е. в соответствии со вторым законом Ньютона, частицы жидкости, состав­ляющие жидкое тело получат ускорение.

Тогда уравнение движения жидкости в проекциях на координатные оси можно запи­сать в следующем виде:

Согласно основному положению о поле скоростей (метод Эйлера) для проекций ско­ростей движения жидкости можно записать следующее:

или (для установившегося движения жидкости):

Найдём первые производные от скоростей по времени, т.е. определим ускорения вдоль осей координат:

отметим, что:

'         *                                                                                                                                      /

Теперь подставив выражения для ускорений в исходную систему дифференциальных уравнений движения жидкости, получим систему уравнений Эйлера в окончательном ви-де2:

Теперь вновь обратимся к системе дифференциальных уравнений движения жидко­сти, умножив обе части 1-го уравнения на dx, 2-го уравнения на dy, 3-го уравнения на dz, получим:

и просуммировав эти уравнения по частям, получим:

2 При неустановившемся движении жидкости уравнения Эйлера дополняются первыми слагаемыми.

Преобразуем       левую       часть       полученного       уравнения,       полагая,       что

 в результате запишем

Слагаемые в правой части уравнения являются полными дифференциалами функ­ций.

Теперь уравнение примет вид

Если из массовых сил на жидкость действует только сила тяжести, то, и

>       ,*

тогда получим:

После интегрирования получим:

 ?

разделив почленно все члены уравнения на g, получим так называемое уравнение Бернулли

Здесь величина Н называется гидродинамическим напором Величина гидродинами­ческого напора постоянна для всех живых сечений элементарной струйки идеальной жид­кости.

4.2. Уравнение Бернулли для элементарной струйки идеальной жидкости

Выделим двумя нормальными к линиям тока се­чениями 1 - 1 и 2 - 2 отсек жидкости, который будет находиться под действием сил давленияи сил тяжести dG Под действием этих сил через малый про­межуток времени отсек жидкости из своего первона­чального положения переместится в положение между __сечениями Силы давления, приложен­ ные к живым сечениям отсека с правой и с левой сто-

рон имеют противоположные друг другу направления.

Перемещение всего отсека жидкости можно заменить перемещением массы жидко­сти между сечениями: 1-1иГ-Г в положение 2-2и2'-2', при этом центральная часть отсека жидкости (можно утверждать) своего первоначального положения не меняет и в движении жидкости участия не принимает.

Тогда работа сил давления по перемещению жидкостиможно определить сле­дующим образом:

Работа сил тяжести будет равна работе по перемещению веса отсека жидкости на разницу уровней

При перемещении отсека жидкости кинетическая энергия изменится на величину:

 f

Теперь запишем общее уравнение баланса энергии:

Разделив все элементы уравнения на dG и, переместив в левую часть уравнения ве­личины с индексами «1» а в правую - с индексом «2», получим:

Это последнее уравнения носит название уравнения Бернулли для элементарной струйки идеальной жидкости.

4.3. Интерпретация уравнения Бернулли

Все члены уравнения Бернулли имеют линейную размерность и представляют собой напоры:

z - называется геометрическим напором (геометрической высотой), представляет собой место положения центра тяжести живого сечения элементарной струйки относи­тельно плоскости сравнения,

 -  называется  пьезометрическим  напором  (пьезометрической  высотой),

представляет собой высоту, на которую могла бы подняться жидкость при отсутствии движения

 - носит название скоростного напора.

 - носит название гидродинамического напора

Уравнение Бернулли является выражением закона сохранения механической энер­гии движущейся жидкости, по этой причине все части уравнения представляют собой ве­личины удельной энергии жидкости:

z - удельная энергия положения,

 - удельная энергия давления,

 - удельная потенциальная энергия,

 - удельная кинетическая энергия

 - удельная механическая энергия.

5. Динамика реальной (вязкой жидкости)

При изучении движения реальной (вязкой жидкости) можно пойти двумя разными путями:

воспользоваться готовыми дифференциальными уравнениями и их решения­ми, полученными для идеальной жидкости. Учёт проявления вязких свойств осуществляется с помощью введения в уравнения дополнительных попра­вочных членов уравнения, вывести новые уравнения для вязкой жидкости.

Для практической инженерный деятельности более приемлемым следует считать первый полуэмпирический путь, второй следует использовать лишь в тех случаях, когда требуется детальное изучение процесса движения вязкой жидкости. По этой причине ог­раничимся лишь записью систем дифференциальных уравнений Навье - Стокса и поверх­ностным анализом этих уравнений.

5.1. Система дифференциальных уравнений Навье - Стокса

При= const и= const система уравнений значительно упростятся:

Пренебрегая величинами вторых вязкостейи считая жидкость несжимаемой

(р = const), уравнения Навье - Стокса запишутся в следующем виде:

К уравнениям Навье - Стокса в качестве дополнительного уравнения принимается уравнение неразрывности. Учитывая громоздкость и трудность прямого решения задачи в практической деятельности (в случаях, когда это считается допустимым) решение дости­гается первым методом (по аналогии с движением идеальной жидкости).

5.2. Уравнение Бернулли для элементарной струйки вязкой жидкости

Выделим в элементарной струйке жидко­сти двумя сечениями 1 - 1 и 2 - 2 отсек жид­кости. Отсек жидкости находится под дейст­вием сил давленияи сил тяжести на жидкость в отсеке действуют также силы инерции самой движущейся жидкости, а также силы трения, препятствующие перемещению  жидкости. В результате действия сил внутрен­него трения часть механической энергии жид­кости расходуется на преодоление возникающих сопротивлений. По этой причине вели­чины гидродинамических напоров в сечениях будут неодинаковы. Естественно, что //2 .Тогда разность гидродинамических напоров в крайних сечениях отсеков будут как раз характеризовать потери напора на преодоление сил трения. Эта величина носит название потерь напора на трение

В этом случае уравнение Бернулли примет следующий вид:

 - потери удельной энергии (преобразование потенциальнойэнергии жидкости в тепловую энергию при трении).

Величинаносит название гидравлического уклона.

5.3. Уравнение Бернулли для потока реальной жидкости

При массовом расходе в живом сечении элементарной струйки . кинети-

ческая энергия жидкости проходящей через это сечение в единицу времени будет равна:

Суммируя величины кинетической энергии всех элементарных струек проходящих через живое сечение потока жидкости, найдём полную кинетическую энергию для всего

д

живого сечения потока

С другой стороны, полагая, что скорости во всех элементарных струйках одинаковы и равны средней скорости движения жидкости в живом сечении потока, таким же образом вычислим полную кинетическую энергию в этом же живом сечении потока.            ' '

Вполне очевидно, что величины этих энергий не равны, т.е.

Тогда коэффициент, учитывающий неравномерность распределения скоростей по сечению (коэффициент Кориолиса) можно определить как соотношение кинетических энергий:

т?

Внося эту поправку в уравнение для элементарной струйки жидкости, получим урав­нение для потока конечных размеров. Практически а= 1.0- 2,0.

Кроме коэффициента Кориолиса, учитывающего неравномерность распределения кинетической энергии по живому сечкнию потока, существует аналогичный показа­тель для величины количества движения, коэффициент Буссинэ

Секундное количество движения для потока жидкости можно определить как ин­тегральную сумму количества движения элементарных масс жидкости, протекающих через бесконечно малые площадки ds в пределах площади всего живого сечения S, т.е.

Аналогичным образом, величина количества движения жидкости в живом сече­нии при условии равномерного распределения сколостей по сечению потока будет:

Отсюда коэффициент Буссинэ определится следующим образом:

В связи с тем, что величина коэффициента количества движения (коэффициент Буссинэ) невелика и не превышает 1,05, поправкой в расчётах обычно пренебрегают,

5.4. Гидравлические сопротивления

Потери удельной энергии в потоке жидкости, безусловно, связаны с вязкостью жид­кости, но сама вязкость - не единственный фактор, определяющий потери напора. Но можно утверждать, что величина потерь напора почти всегда пропорциональны квадрату средней скорости движения жидкости. Эту гипотезу подтверждают результаты большин­ства опытных работ и специально поставленных экспериментов. По этой причине потери напора принято исчислять в долях от скоростного напора (удельной кинетической энергии потока). Тогда:

Потери напора принято подразделять на две категории:

потери напора, распределённые вдоль всего канала, по которому перемеща­ется жидкость (трубопровод, канал, русло реки и др.), эти потери пропорцио­нальны длине канала и называются потерями напора по длине сосредоточенные потери напора: потери напора на локальной длине потока (достаточно малой по сравнению с протяжённостью всего потока). Этот вид потерь во многом зависит от особенностей преобразования параметров пото­ка (скоростей, формы линий тока и др.). Как правило, видов таких потерь до­вольно много и их расположение по длине потока зачастую далеко не зако­номерно. Такие потери напора называют местными потерями или потерями напора на местных гидравлических сопротивлениях. Это вид потерь напора

также принято исчислять в долях от скоростного напора

Тогда полные потери напора можно представить собой как сумму всех видов потерь напора:

Оценка величины местных потерь напора практически всегда базируются на резуль­татах экспериментов, по результатам таких экспериментов определяются величины коэф­фициентов потерь. Для вычисления потерь напора по длине имеются более или менее на­дёжные теоретические предпосылки, позволяющие вычислять потери с помощью при­вычных формул.

5.5. Потери напора на местных гидравлических сопротивлениях Несмотря на многообразие видов местных гидравлических сопротивлений, их всё же можно при желании сгруппировать:

потери напора в руслах при изменении размеров живого сечения, потери напора на местных гидравлических сопротивлениях, связанных с из­менением направления движения жидкости, потери напора при обтекании преград.

Внезапное расширение русла. Внезапное расширение русла чаще всего наблюдается

на стыке участков трубопроводов, когда один трубопро­вод сочленяется с магистральным трубопроводом боль­шего диаметра. Величина коэффициента потерь напора в данном случае определяется с достаточной точностью на теоретическом уровне. Поток жидкости движущейся в трубопроводе меньшего диаметра d, попадая в трубу  большего диаметра, касается стенок нового участка тру­бопровода не сразу, а лишь в сечении 2-2'. На участке между сечениями 1 - Г и 2-2' об­разуется зона, в которой жидкость практически не участвует в движении по трубам, обра­зуя локальный вихревой поток, где претерпевает деформацию. По этой причине часть ки­нетической энергии движущейся жидкости тратиться на поддержание «паразитного» сра­щения и деформации жидкости. Величины средних скоростей жидкости в сечениях можно определить из условия неразрывности.

Тогда величина потерь напора при внезапном расширении русла определится:

Таким образом, можно сказать, что потеря напора при внезапном расширении потока равна скоростному напору, соответствующему потерянной скорости.

Плавное расширение русла (диффузор). Плавное расширение русла называется диф­фузором. Течение жидкости в диффузоре име-

'ет сложный характер. Поскольку живое сече-

ние потока постепенно увеличивается, то, со­ответственно, снижается скорость движения  жидкости и увеличивается давление. Посколь­ку, в этом случае, в слоях жидкости у стенок

диффузора кинетическая энергия минимальна (мала скорость), то возможна остановка жидкости и интенсивное вихреобразование. По этой причине потери энергии напора в диффузоре будут зависеть от потерь напора на трение и за счёт потерь при расширении:

 2

где:    - площадь живого сечения на входе в диффузор,

S2 - площадь живого сечения на выходе из диффузора, а - угол конусности диффузора,

 - поправочный коэффициент, зависящий от условий рас­ширения потока в диффузоре.

Внезапное сужение канала. При внезапном сужении канала поток жидкости отрыва­ется от стенок входного участка и лишь затем (в сечении 2 - 2)касается стенок канала

меньшего размера. В этой области потока — * образуются две зоны интенсивного вихре-образования (как в широком участке тру­бы, так и в узком), в результате чего, как и в предыдущем случае, потери напора скла­ дываются из двух составляющих (потерь на трение и при сужении). Коэффициент

потерь напора при гидравлическом сопротивлении внезапного сужения потока можно оп­ределить по эмпирической зависимости, предложенной И.Е. Идельчиком:

или взять по таблице:

Плавноесужение канала. Плавное сужение канала достигается с помощью кониче­ского участка называемого конфузором. Потери напора в конфузоре образуются практи­чески за счёт трения, т.к. вихреобразование в конфузоре практически отсутствует. Коэф­фициент потерь напора в конфузоре можно определить по формуле:

,    t                           f ~                       *

При большом угле конусности а >50° коэффициент потерь напора можно определять по формуле с внесением поправочного коэффициента.

Нормальный вход в трубу. Из резервуаров, где хранятся жидкости вход в выкидной трубопровод осу­ществляется в так называемом нормальном исполне­нии, т.е. когда осевая линия патрубка трубопровода располагается по нормали к боковой стенку резервуара. Этот вид гидравлических сопротивлений также можно отнести к сопротивлениям связанным с изменением размеров русла,  просто здесь размеры нового русла  бесконечно малы по сравнению с размерами исходного русла с сечением резервуара. В этом случае внутри вы­кидного патрубка вытекающая из резервуара жидкость за­полняет всё сечение трубы не сразу, а лишь на некотором расстоянии от входа. В этой области в застойной зоне часть жидкости совершает вращательное движение и соз­данный таким образом вихрь порождает дополнительные г

 гидравлические сопротивления. Коэффициент потерь на­пора при этом приблизительно составляет половину ско­ростного напора:

Выход из трубы в покоящуюся жидкость. Это обычный эле­мент стыковки напорной части трубопровода с резервуаром. Вход­ной патрубок трубопровода располагается нормально к боковой  стенке резервуара. Этот вид гидравлических сопротивлений также можно рассматривать как разновидность внезапного расширения потока жидкости до бесконечно большого сечения. Вели­чина коэффициента потерь напора, в большинстве случаев, принимается равной одному скоростному напору.

Внезапный поворот канала. Под таким гидравличе­ским сопротивлением будем понимать место соединения  трубопроводов одинаковогодиаметра, при котором осевые линии трубопроводов не совпадают, т.е. составляют между

собой некоторый угол а Этот угол называется углом поворота русла, т.к. здесь изменяет­ся направление движения жидкости. Физические основы процесса преобразования кине­тической энергии при повороте потока достаточно сложны и следует рассмотреть лишь результат этих процессов. Так при прохождении участка внезапного поворота образуется сложная форма потока с двумя зонами вихревого движения жидкости На практике такие элементы соединения трубопроводов называют коленами. Следует отметить, что колено как соединительный элемент является крайне нежелательным ввиду значительных потерь напора в данном виде соединения. Величина коэффициента потерь напора будет, в первую очередь, зависеть от угла поворота русла и может быть определена по эмпирической фор­муле или по таблице:

Плавный поворот канала Этот вид гидравлических сопротивлений можно считать более благоприятным (экономичным) с точки зрения величины потерь напора, т.к. в дан­ном случае опасных зон для образования интенсивного вихревого движения жидкости практически нет. Тем не менее, под действием того, что при повороте потока возникают центробежные силы, способствующие отрыву частиц жидкости от стенки трубы, вихре­вые зоны всё же возникают. Кроме того, при этом возникают встречные потоки жидкости

направленные от внутренней стенки трубы к внешней стенке трубы. Коэффициент потерь

напора определяется по эмпирическим формулам или по

таблицам. При угле поворота русла на 90° и:

При угле поворота русла а)100° :

                                                                                                                                                                                                                                                                                                                                                                                                                                                         i

при а = 90°

Здесь: R - радиус закругления трубы, г - радиус трубы.

Если, то данные таблицы следует умножать на коэффициент:

Кроме приведённых зависимостей имеются и другие справочные сведения. Наличие обширного набора сведений по этим вопросам объясняется тем, что колена в закруглён­ном исполнении весьма широко применяются в строительстве трубопроводов и в различ­ных гидравлических системах.

Задвижки. Задвижки часто используют как средст­во регулирования характеристик потока жидкости (рас­ход, напор, скорость). При наличии задвижки в трубо­проводе поток обтекает находящиеся в трубе плашки  задвижки, наличие которых ограничивает живое сечение потока, а также приводит к возникновению вихревых

потоков жидкости около плашек задвижки. Коэффициент потерь напора зависит от степе­ни закрытия задвижки

Краны. Краны также могут использоваться в качестве средств регулирования пара­метров потока. В этих случаях коэффициент потерь напора зависит от степени закрытия крана (угла поворота).

Обратные клапаны и фильтры. Коэффициенты потерь напора определяются, как пра­вило, экспериментально.

5.6. Потери напора по длине

При установившемся движении реальной жидкости основные параметры потока: ве­личина средней скорости в живом сечении (v) и величина перепада давлениязависят от физических свойств, движущейся жидкости и от размеров пространства, в котором жидкость движется. В целом, физические свойства жидкости определяются через размер­ные величины, называемые физическими параметрами жидкости.

Можно установить взаимосвязь между всеми параметрами, от которых зависит дви­жение жидкости. Условно эту зависимость можно записать как некоторую функцию в не­явном виде.

где:               - линейные величины, характеризующие трёхмерное

пространство,

 -  линейная величина, характеризующая состояние стенок ка­нала (шероховатость), величина выступов,

 -  средняя скорость движения жидкости в живом сечении по­тока,

 - разность давления между начальным и конечном живыми сечениями потока (перепад давления),

 - удельный вес жидкости,

- плотность жидкости,

- динамический коэффициент вязкости жидкости,

 - поверхностное натяжение жидкости, К - модуль упругости жидкости.

Для установления зависимости воспользуемся выводами так называемой-теоремы. Суть её заключается в том, что написанную выше зависимость, выраженную в неявном виде, можно представить в виде взаимозависимых безразмерных комплексов. Выберем

три основных параметра с независимыми размерностями, остальные парамет-

ры выразим через размерности основных параметров.

Эта операция выполняется следующим образом: пусть имеется некоторый параметр i, выразим его размерность через размерности основных параметров; это будет означать:

 ?

т.е. размерности левой и правой частей равенства должны быть одинаковыми. Тогда можно записать:

Полученные в результате такой операции безразмерные параметры будут называться пи-членами. Эти безразмерные комплексы имеют глубокий физический смысл, они пред­ставляют собой критерии подобия различных сил, действующих в тех или иных процес­сах.

Проделаем такую операцию с некоторыми из параметров.

Параметр А.

 i

Теперь запишем показательные уравнения по размерностям последовательно в сле­дующем порядке: L (длина), М (масса), и Т (время):

Из этой системы уравнений:      Таким образом, безразмерным

комплексом по этому параметру может быть: Параметр у.

 >*   ' откуда получим:

и найдём:     . Таким образом, безразмерным комплексом по

этому параметру может быть:  . Эта безразмерная величина называется

числом Фруда, Fr. Параметр /и.

и найдём:

Полученный безразмерный комплекс называется числом Рейнольдса, Re. Выполняя аналогичные операции с остальными параметрами можно найти:

 число Эйлера, число Вебера, We.

 число Коши, Са. В итоге получим как результат:

Поскольку, в большинстве случаев силами поверхностного натяжения можно пре­небречь, а жидкость считать несжимаемой средой, можно упростить запись предыдущего выражения, решив последнее уравнение относительно Ей:

Считая канал круглой цилиндрической трубой, и принимая, получим:

Множитель был вынесен за скобки ввиду того, что потери напора по длине пропор­циональны длине канала конечных размеров. Далее учитывая, что:, по­лучим:

Обозначим:   Эту величину принято называть коэффициен-

том сопротивления трения по длине или коэффициентом Дарси. Окончательно для круглых труб, учитывая, что:

Эта формула носит название формулы Дарси-Вейсбаха и является одной из основ­ных формул гидродинамики.

Коэффициент потерь напора по длине будет равен:

Запишем формулу Дарси-Вейсбаха в виде:

Величину называют гидравлическим уклоном, а величинуназыва-

ют коэффициентом Шези.

Величина  имеет размерность скорости и носит название динамической

скорости жидкости.

Тогда коэффициент трения (коэффициент Дарси):

'   '                                 6. Режимы движения жидкости

6.1. Экспериментальное изучение движения жидкости

При проведении многочисленных экспериментов с потоками движущейся жидкости было неоднократно подмечено, что на величину гидравлических сопротив­лений кроме физических свойств самой жидкости, формы и размеров каналов, со­стояния их стенок, существенное влияние  оказывает особенности движения частиц жидкости в потоке. Впервые дал теоретическое обоснование этой зависимости английский физик Осборн Рейнольде. Суть его эксперимента заключалась в следующем.

В ёмкость А достаточного большого объёма была вставлена длинная (не менее 20 диаметров) стеклянная трубка Г. На конце этой трубки устанавливался кран Д для регули­рования расхода жидкости. Измерение расхода жидкости осуществлялось с помощью мерной ёмкости Б, расположенной в конце трубки. Из малого бачка В с помощью тонкой изогнутой трубки Е по центру основной трубки вводилась подкрашенная жидкость. Её расход также регулировался с помощью краника. Уровень жидкости в основном баке А поддерживался постоянным. Плавно меняя расход жидкости в трубке, Рейнольде отметил, что при малых скоростях движения жидкости подкрашенная струйка жидкости текла по центру потока жидкости, не смешиваясь с остальной жидкостью потока. Однако при оп­ределённой скорости жидкости подкрашенная струйка жидкости теряла свою устойчи­вость и, в конечном итоге, частицы окрашенной жидкости перемешивались с остальной жидкостью. При снижении скорости движения жидкости положение восстанавливалось: хаотичное движение частиц жидкости снова становилось упорядоченным. Рейнольде ме­нял длину и диаметр трубки, вязкость жидкости, количество подкрашенных струек жид­кости и установил, что эффект перемешивания (смена режима течения жидкости) зависит от скорости движения жидкости, её вязкости и от диаметра трубки, причём при увеличе­нии вязкости жидкости для смены режима течения жидкости требовалась большая ско­рость. Отсюда Рейнольде сделал вывод, что смена режима движения жидкости зависит от целого комплекса параметров потока, а именно от соотношения:

которое получило название числа Рейнольдса. Число Рейнольдса оказалось безраз­мерной величиной, представлявшей собой отношение сил инерции к силам вязкостного

трения. Была установлена и критическая величина числа Рей­нольдса, при котором происходила смена режима движения жидкости R.eKp, она оказалась равной 2320.

Режим движения жидкости, при котором наблюдалось плавное, слоистое движение жидкости был назван ламинар­ным (слоистым) режимом движения жидкости. Режим движе­ния жидкости сопровождавшийся хаотическим движением частиц жидкости в потоке был назван турбулентным (беспо­ рядочным). Важным оказалось то обстоятельство, что при смене режима движения существенно менялась зависимость величины гидравлических сопротивлений от скорости движения жидкости. Этот факт можно проиллюстрировать на графике зависимости потерь напора от скорости, построенных в билогарифмической сис­теме координат.

Зависимость состоит из двух участков: ламинарного (АВ) и турбулентного (ВС} ре­жимов движения жидкости. Каждому из участков соответствует уравнение:

Для ламинарного участка (АВ) наклон линии к оси абсцисс k = tg45° = 1, для турбу­лентного участка (ВС) наклон линии превышает 1 и изменяется в пределах 1,75 - 2,0. 6.2. Ламинарное движение жидкости

Касательные напряжения. Рассмотрим правила определения величины касательных

напряжений на примере потока жидкости в круглой цилиндрической трубе. Двумя сечения­ми выделим в потоке жидкости отсек длиной /. На данный отсек жидкости будут действовать силы давления, приложенные к площадям жи­ вых сечений потока жидкости слева и справа и сила трения, направленная в сторону обратную движению жидкости. Поскольку движение жидкости установившееся, то все действующие на отсек жидкости силы должны быть уравновешены.                                                                                                         < • -

где:         г0 - касательные напряжения на боковой поверхности отсека жидкости.

Касательные напряжения на периферии отсека жидкости (у стенки трубы) будут равны:

Очевидно, это будут максимальная величина касательных напряжений в отсеке жид­кости. Вычислим величину касательных напряжений на расстоянии г от оси трубы.

Таким образом, касательные напряжения по сечению трубы изменяются по линей­ному закону; в центре потока (на оси трубы) г=0 касательные напряжения т= 0.

Распределение скоростей в ламинарном потоке. Поскольку ламинарный поток жид­кости в круглой цилиндрической трубе является осе симметричным, рассмотрим, как и ранее, лишь одно (вертикальное сечение трубы). Тогда, согласно гипотезе Ньютона:

Отсюда видно, что распределение скоростей в круглой цилиндрической трубе соот­ветствует параболическому закону. Максимальная величина скорости будет в центре тру­бы, где= О

Средняя скорость движения жидкости в ламинарном потоке. Для определения вели­чины средней скорости рассмотрим живое сечение потока жидкости в трубе Затем прове­дём в сечении потока две концентрические окружности, отстоящие друг от друга на бес­конечно малое расстояние dr. Между этими окружностями мы, таким образом, выделили

малую кольцевую зону, малую часть живого сечения потока жидкости. Расход жидкости через выделенную кольцевую зону:

 Расход жидкостичерез полное живое сечение трубы:

величина средней скорости в сечении:

Потери напора в ламинарном потоке жидкости. Для ламинарного потока жидкости в круглой трубе можно определить коэффициент трения через число Рейнольдса. Вычислим величину гидравлического уклона из средней скорости жидкости.

Отсюда:

Тогда:

Окончательно потери напора при ламинарном движении жидкости в трубе:

j

Несколько преобразовав формулу для определения потерь напора, получим формулу Пуазейля:

6.3. Турбулентное движение жидкости

Структура турбулентного потока. Отличи­тельной особенностью турбулентного движения жидкости является хаотическое движение час­тиц в потоке. Однако при этом часто можно на­ блюдать и некоторую закономерность в таком

движении. С помощью термогидрометра, прибора позволяющего фиксировать изменение скорости в точке замера, можно снять кривую скорости. Если выбрать интервал времени достаточной продолжительности, то окажется, что колебания скорости наблюдаются око­ло некоторого уровня и этот уровень сохраняется постоянным при выборе различных ин­тервалов времени. Величина скорости в данной точке в данный момент времени носит на­звание мгновенной скорости. График изменения мгновенной скорости во времени u(t) представлена на рисунке. Если выбрать на кривой скоростей некоторый интервал времени и провести интегрирование кривой скоростей, а затем найти среднюю величину, то такая величина носит название осреднённой скорости

Разница между мнгновенной и осреднённой скоростью называется скоростью пуль­сации и'.

Если величины осреднённых скоростей в различные интервалы времени будут оставаться постоянными, то такое турбулентное движение жидкости будет устано­вившемся.

При неустановившемся турбулентном движении  жидкости величины щсреднённых скоростей меняются во времени

Пульсация жидкости является причиной перемешивания жидкости в потоке. Интен­сивность перемешивания зависит, как известно, от числа Рейнольдса, т.е. при сохранении прочих условий от скорости движения жидкости. Таким образом, в конкретном потоке

жидкости (вязкость жидкости и размеры сечения определены первичными условиями) характер её движения зависит от скоро­сти. Для турбулентного потока это имеет решающее значение. Так в периферийных слоях жидкости скорости всегда будут ми­нимальными, и режим движения в этих слоях естественно будет  ламинарным.  Увеличение  скорости до  критического  значения приведёт к смене режима движения жидкости с ламинарного ре­жима на турбулентный режим. Т.е. в реальном потоке присутствуют оба режима как ла­минарный, так и турбулентный.

Таким образом, поток жидкости состоит из ламинарной зоны (у стенки канала) и турбулентного ядра течения (в центре) и, поскольку скорость к центру турбулентного по-

тока нарастает интенсивно, то толщина периферийного ламинарного слоя чаще всего не­значительна, и, естественно, сам слой называется ламинарной плёнкой, толщина которой  зависит от скорости движения жидкости.

Гидравлически гладкие и шероховатые трубы. Состояние стенок трубы в значитель­ной мере влияет на поведение жидкости в турбу­лентном потоке. Так при ламинарном движении  жидкость движется медленно и плавно, спокойно обтекая на своём пути незначительные препятст­вия. Возникающие при этом местные сопротивления настолько ничтожны, что их величи­ной можно пренебречь. В турбулентном же потоке такие малые препятствия служат ис­точником вихревого движения жидкости, что приводит к возрастанию этих малых мест­ных гидравлических сопротивлений, которыми мы в ламинарном потоке пренебрегли. Та­кими малыми препятствиями на стенке трубы являются её неровности. Абсолютная вели­чина таких неровностей зависит от качества обработки трубы. В гидравлике эти неровно­сти называются выступами шероховатости, они обозначаются литерой.

В зависимости от соотношения толщины ламинарной плёнки и величины выступов шероховатости будет меняться характер движения жидкости в потоке. В случае, когда толщина ламинарной плёнки велика по сравнению с величиной выступов шероховатости (, выступы шероховатости погружены в ламинарную плёнку и турбулентному ядру течения они недоступны (их наличие не сказывается на потоке). Такие трубы называются гидравлически гладкими (схема 1 на рисунке). Когда размер выступов шероховатости превышает толщину ламинарной плёнки, то плёнка теряет свою сплошность, и выступы шероховатости становятся источником многочисленных вихрей, что существенно сказы­вается на потоке жидкости в целом. Такие трубы называются гидравлически шероховаты­ми (или просто шероховатыми) (схема 3 на рисунке). Естественно, существует и проме­жуточный вид шероховатости стенки трубы, когда выступы шероховатости становятся соизмеримыми с толщиной ламинарной плёнки(схема 2 на рисунке). Толщину ла-

минарной плёнки можно оценить исходя из эмпирического уравнения

Касательные напряжения в турбулентном потоке. В турбулентном потоке величина касательных напряжений должна быть больше, чем в ламинарном, т.к. к касательным на­пряжениям, определяемым при перемещении вязкой жидкости вдоль трубы следует доба­вить дополнительные касательные напряжения, вызываемые перемешиванием жидкости.

Рассмотрим этот процесс подробнее. В турбулентном потоке вместе с перемещением частицы жидкости вдоль оси трубы со скоростью и эта же частица жидкости одновремен­но переносятся в перпендикулярном направлении из одного слоя жидкости в другой со скоростью равной скорости пульсации и . Выделим элементарную площадку dS, распо­ложенную параллельно оси трубы. Через эту площадку из одного слоя в другой будет пе­ремещаться жидкость со скоростью пульсации при этом расход жидко­сти составит:

Масса жидкости dMr, переместившаяся через площадку за время dt будет:

За счёт горизонтальной составляющей скорости пульсации и'х эта масса получит в новом слое жидко­сти приращение количества движения dM,

 Еслипереток жидкости осуществлялся в слой, двигающийся с большей скоростью, то, следовательно, приращение количества движения будет соответствовать импульсу силы dT, направленной в сторону противоположную движению жидкости, т.е. скорости и'х:

Тогда:

^

Для осреднённых значений скорости:

Следует отметить, что при перемещении частиц жидкости из одного слоя в дру­гой они не мгновенно приобретают скорость нового слоя, а лишь через некоторое вре­мя; за это время частицы успеют углубиться в новый слой на некоторое расстояние /, называемое длиной пути перемешивания.

Теперь рассмотрим некоторую частицу жидкости находящуюся в точке А Пусть эта частица переместилась в соседний слой жидкости и углубилась в него на длину пу­ти перемешивания, т.е. оказалась в точке В. Тогда расстояние между этими точками будет равно /. Если скорость жидкости в точке А будет равна и, тогда скорость в точке

В будет равна.

Сделаем допущения, что пульсации скорости пропорциональны приращению скорости объёма жидкости. Тогда:

Полученная зависимость носит название формулы Прандтля и является за­коном в теории турбулентного трения так же как закон вязкостного трения для ла­минарного движения жидкости. ,       Перепишем последнюю зависимость в форме:

Здесь коэффициент , называемый коэффициентом турбулентного обмена

играет роль динамического коэффициента вязкости, что подчёркивает общность основ теории Ньютона и Прандтля. Теоретически полное касательное напряжение должно быть равно:

*                                         '

но первое слагаемое в правой части равенства мало по сравнению со вторым и его величиной можно пренебречь

Распределение скоростей по сечению турбулентного потока. Наблюдения за величи­нами осреднённых скоростей в турбулентном потоке жидкости показали, что эпюра осреднённых скоростей в турбулентном потоке в значительной степени сгла­жена и практически скорости в разных точках живого  сечения равны средней скорости. Сопоставляя эпюры скоростей турбулентного потока (эпюра 1) и ламинар­ного потока позволяют сделать вывод о практически равномерном распределении скоро­стей в живом сечении. Работами Прандтля было установлено, что закон изменения каса­тельных напряжений по сечению потока близок к логарифмическому закону. При некото­рых допущениях: течение вдоль бесконечной плоскости и равенстве касательных напря­жений во всех точках на поверхности

После интегрирования:

Последнее выражение преобразуется к следующему виду:

Развивая теорию Прандтля, Никурадзе и Рейхардт предложили аналогичную зависи­мость для круглых труб.

Потери напора на трение в турбулентном потоке жидкости. При исследовании во­проса об определении коэффициента потерь напора на трение в гидравлически гладких трубах можно прийти к мнению, что этот коэффициент целиком зависит от числа Рей-нольдса. Известны эмпирические формулы для определения коэффициента трения, наибо­лее широкое распространение получила формула Блазиуса:

По данным многочисленных экспериментов формула Блазиуса подтверждается в пределах значений числа Рейнольдса отдо 1-10 5. Другой распространённой эмпири­ческой формулой для определения коэффициента Дарси является формула П.К. Конакова:

Формула П.К. Конакова имеет более широкий диапазон применения до значений числа Рейнольдса в несколько миллионов. Почти совпадающие значения по точности и области применения имеет формула Г.К. Филоненко:

Изучение движения жидкости по шероховатым трубам в области, где потери напора определяются только шероховатостью стенок труб, и не зависят от скорости

движения жидкости, т.е. от числа Рейнольдса осуществлялось Прандтлем и Никурадзе. В результате их экспериментов на моделях с искусственной шероховатостью была установ­лена зависимость для коэффициента Дарси для этой так называемой квадратичной облас­ти течения жидкости:

Для труб с естественной шероховатостью справедлива формула Шифринсона

где:  - эквивалентная величина выступов шероховатости. Ещё более сложная обстановка связана с изучением движения жидкости в переход­ной  области  течения,   когда  величина  потерь   напора  зависит  от   обоих   факторов,

 Наиболее приемлемых результатов добились Кёллебрук - Уайт:

Несколько отличная формула получена Н.З. Френкелем:

Формула Френкеля хорошо согласуется с результатами экспериментов других авто­ров с отклонением (в пределах 2 - 3%). Позднее А.Д. Альтшуль получил простую и удоб­ную для расчётов формулу:

Обобщающие работы, направленные на унификацию результатов экспериментов, проведенных разными авторами, ставили перед собой цель связать воедино исследования потоков жидкости в самых разнообразных условиях. Результаты представлялись в графи-

ческой форме (широко известны графики Никурадзе, Зегжда, Мурина, опубликованные в специальной литературе и учебных пособиях). Графики Никурадзе построены для труб с искусственной шероховатостью, графики Зегжда для прямоугольных лотков с искусст­венно приданной равномерной шероховатостью. Наиболее часто употребляемыми явля­ются графики построенные Никурадзе.

На графике зависимости легко различимы все четыре области течения жидкости.

I        ламинарное течение жидкости (прямая А),

II      турбулентное течение жидкости в гидравлически гладких трубах (прямая В),

III     переходная область течения жидкости,

IV     квадратичная     область     течения жидкости,

6.4.   Кавитационные   режимы   движения жидкости

В жидкости при любом давлении и температуре всегда растворено какое-либо количество газов. Уменьшение давления в жидкости ниже давления насыщения жидко­сти газом сопровождается выделением рас­ творённых газов в свободное состояние, и, ГпасЬики Г.А. Муоина                   наоборот, при повышении давления, выде-

лившиеся из жидкости газы, вновь переходят в растворённое состояние. Изменение дав­ления в жидкости может приводить и к изменению агрегатного состояния жидкости (пе­реход жидкости в пар и пара в жидкое состояние). Если жидкость движется в закрытой системе, то колебания давления в потоке могут приводить к образованию локальных зон низкого давления и как следствие, в этих зонах происходят процессы образования паров жидкости («холодное» кипение жидкости) и её раз газирование. При этом, процесс разга-зирования, как правило - процесс более медленный, чем процесс парообразования. Одна­ко и в том и в другом случае появление свободного газа и, тем более пара, в замкнутом пространстве крайне не желательно. Появление пузырьков газовой фазы говорит о том, что в жидкости появился разрыв. Далее эти пузырьки переносятся движущейся жидко­стью. Процесс образования пузырьков пара в жидкости носит название паровой кавита­ции, образование пузырьков газа вызывает газовую кавитацию. При попадании в зону вы­сокого давления пузырьки газа растворяются в жидкости, а пузырьки пара конденсируют-

ся. Поскольку последний процесс происходит почти мгновенно, говорят о том, что пу­зырьки схлопываются. Особенно интенсивно процессы схлопывания пузырьков пара про­исходит в месте контакта их с твёрдыми телами (стенки труб, элементы гидромашин и т.д.). Отрицательное воздействие пузырьков пара на элементы гидросистем заключаются в особенности их контакта с твёрдыми телами: при приближении к твёрдой границе пу­зырьки пара деформируются, что приводит к явлению подобному детонации. При таком воздействии свободного пара и газа на твердые элементы внутренних конструкций гидро­машин, они разрушаются и выходят из строя. Для оценки режима течения жидкости вво­дят специальный критерий; число кавитации К                                                 f '

7. Истечение жидкости из отверстий и насадков       >

7.1. Отверстие в тонкой стенке

Одной из типичных задач гидравлики, которую можно назвать задачей прикладного

характера, является изучение процессов, связанных с истечением жидкости из отверстия в тонкой стенке и через насадки. При таком движении вся потенциальная энергия жидкости находящейся в ёмкости (резервуаре) в конечном итоге расходуется на кинетическую энер­гию струи, вытекающей в газообразную среду, находящуюся под атмосферным давлением или (в отдельных случаях) в жидкую среду при определённом давлении. Отверстие будет считаться малым, если его размеры несоизмеримо малы по сравнению с размером свобод­ной поверхности в резервуаре и величиной напора. Стенка называется тонкой, если вели­чиной гидравлических сопротивлений по длине канала в тонкой стенке можно пренеб­речь. В таком случае частицы жидкости со всех сторон по криволинейным траекториям движутся с некоторым ускорением к отверстию. Дойдя до отверстия, струя жидкости от­рывается от стенки и испытывает преобразования уже за пределами отверстия.

7.2. Истечение жидкости из отверстия в тонкой стенке при установившемся

движении (жидкости).

Истечение жидкости в газовую среду при атмосферном давлении. При истечении из

отверстия в тонкой стенке криволи­нейные траектории частиц жидкости сохраняют свою форму и за пределами отверстия, т.е. после выхода из отвер­стия сечение струи уменьшается и дос­тигает минимальных значений на рас­стоянии равном  (d - диаметр отверстия). Таким образом, в сечении  В - В будет находиться как назы­ваемое сжатое сечение струи жидкости. Отношение площади

чения струи к площади отверстия называется коэффсщииитоживинфиясфэ&мзвтачаетр^ивсек

гда:

где:        s - площадь отверстия,

зсж - площадь сжатого сечения струи, s - коэффициент сжатия струи.

Запишем уравнение Бернулли для двух сечений А -А и В -В. В связи с тем, что от­верстия в стенке является малым сечение В -В можно считать «горизонтальным» (ввиду малости отверстия), проходящим через центр тяжести сжатого сечения струи.

i.                                            *"*

Поскольку величина скоростного напора на свободной поверхности жидкости (сече­ние А - А) мала из-за малости скорости, то её величиной можно пренебречь. В данном случае истечение жидкости происходит в атмосферу, следовательно р{ - р0. Тогда:

т г

F>     f

Поскольку в тонкой стенке потери напора по длине бесконечно малы, то

где' - коэффициент потерь напора в тонкой стенке Следовательно, скорость в сжатом сечении струи будет равна:

Первый сомножитель в равенстве носит название коэффициента скорости'

Определим расход жидкости при её истечении из отверстия (заметим, что скорость истечения жидкости у нас относится к площади сжатого живого сечения струи):

где:    - называется коэффициентом расхода.

При изучении процесса истечения жидкости предполага­лось, что ближайшие стенки и дно сосуда находятся на достаточ­но большом удалении от отверстия: , т.е. не ближе  тройного расстояния от направляющих стенок. В этом случае все линии тока имеют одинаковую кривизну, и такое сжатие струи

называется совершенным сжатием. В иных случаях близко расположенные стенки явля­ются для струи направляющими элементами, и её сжатие будет несовершенным (не оди-

наковым со всех сторон). В тех случаях, когда отверстие непосредственно примыкает к одной из сторон отверстия (сечение отверстия не круглое), сжатие струи будет неполным. При неполном и несовершенном сжатии струи наблюдается некоторое увеличение коэффициента расхода. При полном совершенном сжатии струи коэффициент сжатия дос­тигает 0,60 - 0,64. Величины коэффициентов сжатия струи, коэффициента расхода зависят

от числа Рейнольдса (см. рисунок), причём коэффициенты сжатия и скорости в разных направлениях: с возрастанием числа Рей­нольдса коэффициент скорости увеличивает­ся, а коэффициент сжатия струи убывает. В результате этого коэффициент расхода оста­ ётся практически неизменным (исключением являются потоки жидкости с весьма малыми числами Рейнольдса).

Величины коэффициента расхода измеряются простым замером фактического расхо­да жидкости через отверстие и сопоставлением его с теоретически вычисленным значени­ем.

Коэффициент сжатия струи измеряется путём непосредственного определения сжа­того сечения струи, коэффициент скорости - по траектории струи.

Истечение жидкости через затопленное отверстие. Истечение через затопленное от­верстие в тонкой стенке, т.е. под уровень жидкости ничем существенным не отличается от истечения в атмосферу.

Пусть в резервуаре имеется перегородка с отверстием, уровни жидкости находятся

на отметках иотноси­тельно плоскости сравнения, проходящей через центр тя­жести отверстия. Запишем уравнение Бернулли для свободных поверхностей жидкости (сечение А - А и сечение В - В относительно  плоскости сравнения О - О).

Потери напора состоят из двух частей: потеря напора при истечении из отверстия в тонкой стенке (как при истечении в атмосферу):

и потеря на внезапное расширение струи от сжатого сечения до сечения резервуара:

р                                                                                                                                                                               *

Подставив полученные выражения для видов потерь в предыдущее уравнение, полу­чим:

В данном случае действующим напором является разность уровней свободных по­верхностей жидкости z. Скорость истечения будет равна:

j   *                                                       *                                                                                                                         *

Обозначив:   получим выражение для расхода жидкости1

 >

7.3. Истечение жидкости через насадки.

Насадками называются короткие трубки, монти­руемые, как правило, с внешней стороны резервуара таким образом, чтобы внутренний канал насадка пол­ностью соответствовал размеру отверстия в тонкой стенке. Наличие такой направляющей трубки приве­ дет к увеличению расхода жидкости при прочих рав­ных условиях. Причины увеличения следующие При

отрыве струи от острой кромки отверстия струя попадает в канал насадка, а поскольку струя испытывает сжатие, то стенок насадка она касается на расстоянии от 1,0 до 1,5 его диаметра. Воздух, который первоначально находится в передней части насадка, вследст­вие неполного заполнения его жидкостью постепенно выносится вместе с потоком жидко­сти. Таким образом, в этой области образуется «мёртвая зона», давление в которой ниже,

чем давление в окружающей среде (при истечении в атмосферу в «мёртвой зоне» образу­ется вакуум). За счёт этих факторов увеличивается перепад давления между резервуаром и областью за внешней его стенкой и в насадке генерируется так называемый эффект подса­сывания жидкости из резервуара. Однако наличие самого насадка увеличивает гидравли­ческое сопротивление для струи жидкости, т.к. в самом насадке появляются потери напо­ра по длине трубки. Если трубка имеет ограниченную длину, то влияние подсасывающего эффекта с лихвой компенсирует дополнительные потери напора по длине. Практически эти эффекты (подсасывание и дополнительные сопротивления по длине) компенсируются при соотношении: / = 55 d. По этой причине длина насадков ограничивается / = (3 -5)d . По месту расположения насадки принято делить на внешние и внутренние насадки. Когда насадок монтируется с внешней стороны резервуара (внешний насадок), то он оказывается более технологичным, что придаёт ему преимущество перед внутренними насадками. По форме исполнения насадки подразделяются на цилиндрические и конические, а по форме входа в насадок выделяют ещё коноидальные насадки, вход жидкости в которые выпол­нен по форме струи.

Внешний цилиндрический насадок. При истечении жидкости из цилиндрического насадка сечение выходящей струи и сечение отверстия одинаковы, а это значит, что ко­эффициент сжатия струи= 1. Скорость истечения:

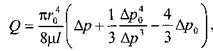
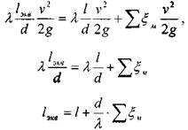
Приняв, коэффициенты скорости и расхода:

Для вычисления степени вакуума в «мёртвой зоне» запишем уравнение Бернулли для двух сечений относительно плоскости сравнения проходящей через ось насадка: А - А и С - С (ввиду малости поперечного размера насадка сечение С - С будем считать «горизон­тальным»,^ плоским):

Величинучасто называют действующим напором, что соответствует

избыточному давлению. Приняв, а0 =ас =1 получим:

Учитывая, что для цилиндрического насадка= 0,82, получим:

Для затопленного цилиндрического насадка все приведенные выше рассуждения ос­таются в силе, только за величину действующего напора принимается разность уровней свободных поверхностей жидкости между питающим резервуаром и приёмным резервуа­ром.

Если цилиндрический насадок расположен под некоторым углом к стенке резервуара

(под углом к вертикальной стенке резер­вуара или горизонтальный насадок к на­клонной стенке резервуара), то коэффи­циент скорости и расхода можно вычис­ лить, вводя соответствующуюпоправку:

где:

Значения коэффициента расхода можно взять из следующей таблицы:

Сходящиеся насадки. Если придать насадку форму конуса, сходящемуся по направ­лению к его выходному отверстию, то такой насадок будет относиться к группе сходящихся конических насадков. Та­кие насадки характеризуются углом конусности а. От ве­личины этого угла зависят все характеристики насадков. Как коэффициент скорости, так и коэффициент расхода увеличиваются с увеличением угла конусности, при угле

»      конусности в 13° достигается максимальное значение ко-

эффициента расхода превышающее 0,94. При дальнейшем увеличении угла конусности насадок начинает работать как отверстие в тонкой стенке, при этом коэффициент скоро­сти продолжает увеличиваться, а коэффициент расхода начинает убывать. Это объясняет­ся тем, что уменьшаются потери на расширение струи после её сжатия. Область примене­ния сходящихся насадков связана с теми случаями, когда необходимостью иметь боль­шую выходную скорость струи жидкости при значительном напоре (сопла турбин, гидро­мониторы, брандспойты).                                -                                              .-. . •

Расходящиеся насадки. Вакуум в сжатом сечении расходящихся насадков больше, чем у цилиндрических насадков и увеличивается с возрастанием угла конусности, что увеличивает расход жидкости. Но с увеличением угла конусности расходящихся насадков возрастает опасность отрыва струи от стенок насадков. Необходимо отметить, что потери энергии в расходящемся насадке больше, чем в насадках других типов. Область примене­ния расходящихся насадков охватывает те случаи, где требуется большая пропускная спо­собность при малых выходных скоростях жидкости (водоструйные насо­сы, эжекторы, гидроэлеваторы и др.)

Коноидальные насадки. В коноидальных насадках вход в насадки выполнен по профилю входящей струи. Это обеспечивает уменьшение  потерь напора до минимума. Так значение коэффициентов скорости и расхода в коноидальных цилиндрических насадков достигает 0,97 - 0,99. 7.4. Истечение жидкости через широкое отверстие в боковой стенке. Истечение жидкости через большое отверстие в боковой стенке сосуда отличается от

истечения через малое отверстие тем, что величина напора будет различной для различных площадок в сечении отвер­стия. Максимальным напором будет напор в площадках примыкающих к нижней кромке отверстия. В связи с этим и скорости в различных элементарных струйках проходящих  через сечение отверстия также будут неодинаковы В то же время давление во внешней среде, в которую происходит истечение жидкости одинаково и равно атмосферному давлению.

Выделим в площади сечения отверстия малый элемент его сечения высотой dH, рас­положенный на глубине Н под уровнем свободной поверхности жидкости.

Тогда расход жидкости через этот элемент сечения отверстия будет равен:

где         Н - глубина погружения центра тяжести элемента площади сечения отвер­стияпод уровень свободной поверхности жидкости. Полный расход жидкости через всё сечение отверстия будет:

Данное выражение будет справедливым, если величиной скоростного напора на сво­бодной поверхности жидкости можно пренебречь.

7.5. Неустановившееся истечение жидкости из резервуаров.

Истечение из резервуара произвольной формы с постоянным притоком. Резервуары являются наиболее распространёнными хранилищами различных жидкостей. К наиболее существенным технологическим операциям с резервуарами относятся операции заполне­ния резервуаров и операции опорожнения. Если операция заполнения никаких существен­ных проблем перед гидравликой не ставит, то опорожнение резервуара может рассматри­ваться как прямая гидравлическая задача.

Пусть, в самом общем случае, имеем резервуар произвольной формы (площадь гори­зонтального сечения резервуара является некоторой функцией его высоты). В резервуар поступает жидкость с постоянным расходом Q0. Задача сводится к нахождению времени

необходимого для того, чтобы уровень жидкости в резервуаре изменился с высоты взлива  до. Отметим, что площадь горизонтального сечения резервуара несоизмеримо вели­ка по сравнению с площадью живого сечения вытекающей струи жидкости, т. е величиной скоростного напора в резервуаре можно пренебречь (уровень жидкости в резервуаре ме­няется с весьма малой скоростью).

Величина расхода при истечении жидкости яв­ляется переменной и зависит от напора, т.е. текущей высоты взлива жидкости в резервуаре Уровень жидкости в резервуаре будет подниматься, если и снижаться когда , при притоке

 уровень жидкости в резервуаре будет посто­янным. Поскольку движение жидкости при истечении  из отверстия является неустановившемся, решение поставленной задачи осуществляется методом смены стационарных состояний. Зафикси­руем уровень жидкости в резервуаре на отметке. Этому уровню будет соответствовать расход жидкости при истечении из отверстия:

За бесконечно малый интервал времени из резервуара вытечет объём жидкости рав­ный:

За этот же интервал времени в резервуар поступит объём жидкости равный:

Тогда объём жидкости в резервуаре изменится на величину :

Выразив величину притока жидкости в резервуар Qo подобно расходу Q, получим:

Тогда время, за которое уровень жидкости изменится на величину dH :

Для дальнейшего решения резервуар следует разбить на бесконечно тонкие слои, для которых можно считать, что площадь сечения резервуара в пределах слоя постоянна.

Тем не менее, практического значения задача (в общем виде) не имеет. Чаще всего требуется искать время полного опорожнения резервуара правильной геометрической формы: вертикальный цилиндрический резервуар (призматический), горизонтальный ци­линдрический, сферический.

Истечение жидкости из вертикального ци­линдрического резервуара. Вертикальный цилин­дрический резервуар площадью поперечного се­чения S заполнен жидкостью до уровня Н. Приток жидкости в резервуар отсутствует. Тогда диффе­ренциальное уравнение истечения жидкости будет  иметь вид:

i

Для начала определим время необходимое для перемещения уровня жидкости с от­меткидо

Когда= Н а= 0, то время полного опорожнения резервуара составит:

Таким образом, время полного опорожнения резервуара в два раза больше, чем вре­мя истечения этого же объёма жидкости при постоянном напоре равном максимальному напору Я.

Истечение жидкости из горизонтального цилиндрического резервуара. В отличие от вертикального резервуара, площадь сечения свободной поверхности и горизонтального сечения резервуара - величина переменная и зависит от уровня жидкости в резервуаре.

Время полного опорожнения резервуара:

или, обозначив: D = 2получим:

Переток жидкости между резервуарами при переменных уровнях жидкости. Если два резервуара соединены между собой, то при разных уровнях жидкости в этих ре­зервуарах будет происходить переток жидкости из резервуара с более высоким положени­ем уровня свободной поверхности в резервуар, где эта поверхность будет расположена на более низкой отметке. Переток будет осуществляться при переменном (убывающем) рас­ходе и продолжаться до тех пор, пока уровни жидкости в обоих резервуарах не сравняют­ся.

Рассмотрим два резервуара А и В, соединённые между собой трубопроводом с площадью сечения s. Питающий резервуар А имеет более высокий уровень жидкости

С - С' относительно плоско­сти сравнения О - О, который равен , площадь сечения ре­зервуара А равна . Приём­ный резервуар В имеет более низкий уровень жидкости D - D', который относительно плоскости сравнения равен z2,  площадь сечения этого резер­вуара - . Переток жидкости

обеспечивается переменным действующим напором равным Н =. Поскольку оба

этих уровня меняются во времени,, то и действующий напор Я тоже будет переменным.

Пусть начальный действующий напор будет равен , а действующий на-

пор на конец интересующего нас периода будет равным (в общем случае он может быть не равен 0). Тогда за время dt из резервуара А в резервуар В при некотором напоре Я через соединительный трубопровод перетечёт объём жидкости равный:

 ?

где: - коэффициент расхода системы, т.е. соединительного трубопровода.

При этом в резервуаре А уровень жидкости понизится на величину, а в резервуа­ре В, наоборот, повысится на величину . При этом действующий напор также изменится на величину:

Изменения уровней жидкости в резервуарах будут связаны между собой:

 ?

Тогда:

 >

откуда:

Поскольку площадь сечения резервуара постоянная, то необходимо лишь выразить  через действующий напор Н.

 , тогда: , откуда:

Окончательно:

 > или:

В том случае, когда уровни в резервуарах сравняются:

8. Движение жидкостей в трубопроводах

8.1. Классификация трубопроводов

Роль трубопроводных систем в хозяйстве любой страны, отдельной корпорации или просто отдельного хозяйства трудно переоценить. Системы трубопроводов в настоящее время являются самым эффективным, надёжным и экологически чистым транспортом для жидких и газообразных продуктов. Со временем их роль в развитии научно-технического прогресса возрастает. Только с помощью трубопроводов достигается возможность объе­динения стран производителей углеводородного сырья со странами потребителями. Большая доля в перекачке жидкостей и газов по праву принадлежит системам газопрово­дов и нефтепроводов, но значительную роль играют такие системы как водоснабжение и канализация, теплоснабжение и вентиляция, добыча некоторых твёрдых ископаемых и их гидротранспорт. Практически в каждой машине и механизме значительная роль принад­лежит трубопроводам.

По своему назначению трубопроводы принято различать по виду транспортируемой по ним продукции:

газопроводы,

-     нефтепроводы,

-     водопроводы, воздухопроводы,

-     продуктопроводы.

По виду движения по ним жидкостей трубопроводы можно разделить на две катего­рии:

напорные трубопроводы,

безнапорные (самотёчные) трубопроводы.

Также трубопроводы можно подразделить по виду сечения: на трубопроводы круг­лого и не круглого сечения (прямоугольные, квадратные и другого профиля). Трубопро­воды можно разделить и по материалу, из которого они изготовлены: стальные трубопро­воды, бетонные, пластиковые и др.

Дать полную и исчерпывающую классификацию трубопроводов вряд ли удастся из-за многообразия их функций и областей использования. Нас будут интересовать лишь те классификации, которые влияют на принятые методы и способы описания движения по ним жидкостей и газов.

8.2. Простой трубопровод

Основным элементом любой трубопроводной системы, какой бы сложной она ни была, является простой трубопровод. Классическим определением его будет- простым

трубопроводом является трубопровод, собранный из труб одинакового диаметра и качест­ва его внутренних стенок, в котором движется транзитный поток жидкости, и на котором нет местных гидравлических сопротивлений.

При напорном движении жидкости простой трубопровод работает  полным

сечением= const. Размер

 сечения трубопровода (диаметр или ве­личина гидравлического радиуса), а так­же его протяжённость (длина) трубопровода (/, L) являются основными геометрическими характеристиками трубопровода. Основными технологическими характеристиками тру­бопровода являются расход жидкости в трубопроводе Q и напор(на головных сооруже­ниях трубопровода, т.е. в его начале). Большинство других характеристик простого тру­бопровода являются, не смотря на их важность, производными характеристиками. По­скольку в простом трубопроводе расход жидкости транзитный (одинаковый в начале и конце трубопровода), то средняя скорость движения жидкости в трубопроводе постоянна  . Для установившегося движения жидкости по трубопроводу средняя скорость движения жидкости определяется по формуле Шези:

 5

где:    - скоростной коэффициент Шези,

 - гидравлический радиус сечения, для круглого сечения при полном заполнении жидкостью

 - гидравлический уклон.

Полагая, что весь имеющийся напор на головных сооружениях (в начале) трубопро­вода тратится на преодоление сил трения в трубопроводе (в простом трубопроводе это по­тери напора по длине), уравнение движения жидкости (Бернулли) примет вид:

Расход жидкости в трубопроводе:

Обозначив:   , получим основное уравнение простого трубопровода:

где: К - модуль расхода - расход жидкости в русле заданного сечения при гид­равлическом уклоне равном единице (иначе модуль расхода называют расходной характе­ристикой трубопровода). Другой и более известный вид основного уравнения простого трубопровода получим, решив уравнение относительно напора:

Величинуназывают удельным сопротивле­нием трубопровода, - - его полным сопротив­лением

График уравнения простого трубопровода  носит название его гидравлической харак­ теристики. Вид гидравлической характеристики зави­сит от режима движения жидкости в трубопроводе: при ламинарном движении жидкости гидравлическая характеристика трубопровода - прямая линия, проходящая через начало координат (1). При турбулентном режиме гидравлическая характеристика - парабола (2).

Если на трубопроводе собранном из труб одинакового диаметра имеются местные сопротивления, то такой трубопровод можно привести к простому трубопроводу эквива­лентной длины

8.3. Сложные трубопроводы

К сложным трубопроводам следует относить те трубопроводы, которые не подходят к категории простых трубопроводов, т.е к сложным трубопроводам следует отнести:

трубопроводы, собранные из труб разного диаметра (последовательное соедине­ние трубопроводов),

трубопроводы, имеющие разветвления: параллельное соединение трубопроводов, сети трубопроводов, трубопроводы с непрерывной раздачей жидкости.

Последовательное соединение трубопроводов. При последовательном соединении

трубопроводов конец предыдущего просто­го трубопровода одновременно является началом следующего простого трубопрово­да. В сложном трубопроводе, состоящем из последовательно соединённых простых  трубопроводов, последние в литературе на­зываются участками этого трубопровода. Расход жидкости во всех участках сложного трубопровода остаётся одинаковым Q = const. Общие потери напора во всём трубопрово­де будут равны сумме потерь напора во всех отдельных его участках.

 где  - потери напора на- том участке трубопро-

вода.

Таким образом, потери напора в трубопроводе, состоящем из последовательно со­единённых друг с другом участков равны квадрату расхода жидкости в трубопроводе ум­ноженному на сумму удельных сопротивлений всех участков.

Гидравлическая характеристика трубопровода состоящего из последовательно со­единённых участков представляет собой графическую сумму (по оси напоров) гидравли­ческих характеристик всех отдельных участков. На рисунке кривая 1 представляет гид­равлическую характеристику 1-го участка трубопровода, кривая 2 - гидравлическую ха­рактеристику 2-го участка, кривая 3 - сумму гидравлических характеристик обеих участ­ков.

Сложный трубопровод, состоящий из последовательно соединённых простых трубо­проводов можно свести к простому трубопроводу с одинаковым (эквивалентным) диамет­ром, при этом длины участков будут пересчитываться, чтобы сохранить реальные гидрав­лические сопротивления участков трубопровода.

Так приведённая длина- того участкабудет:

Следует отметить, что величина скоростного напора также зависит от диаметра трубопровода, и при определении приведённой длины участка мы вносим некоторую

ошибку, которая будет тем большей, чем больше разница в величинах фактического и эк­вивалентного диаметров. В таких случаях можно рекомендовать другой, более сложный способ.

Параллельное соединение трубопроводов. Схема прокладки параллельных трубо­проводов используется в тех случаях, когда на трассе магистрального трубопровода есть

участки, где требуется уменьшить гидрав­лические сопротивления трубопровода (вы­сокие перевальные точки трубопровода) или при заложении трубопровода в трудно­ доступных местах (переход через реки и др.). При параллельном соединении трубо­проводов имеются две особые точки, называемые точками разветвления. В этих точках находятся концы параллельных ветвей трубопровода (точки А и В). Будем считать, что жидкость движется слева направо, тогда общий для всех ветвей напор в точке А будет больше напора в другой общей для всех ветвей трубопровода точке В (НАН к ). В точке А поток жидкости растекается по параллельным ветвям, а в точке В вновь собирается в еди­ный трубопровод. Каждая ветвь может иметь различные геометрические размеры: диа­метр и протяжённость (длину). Поскольку вся система трубопроводов является закрытой, то поток жидкости в данной системе будет транзитным, т.е.

Жидкость движется по всем ветвям при одинаковой разности напоров:

 > тогда расход жидкости по каждой ветви можно записать в виде:

Поскольку ветвей в системе п,, а число неизвестных в системе уравнений будет п+1, включая напор, затрачиваемый на прохождение жидкости по всем ветвям , то в каче­стве дополнительного уравнения в системе будет использовано уравнение неразрывности:

При решении системы уравнений можно воспользоваться соотношением:

Для построения гидравлической характери­стики системы параллельных трубопроводов можно воспользоваться методом графического суммирования. Суммирование осуществляется по  оси расходов Q. т.к.

Трубопроводы с непрерывным (распределённым расходом). В данном случае пред­полагается, что вдоль всей длины трубопровода располагаются одинаковые равномерно

распределённые потребители жидкости. Классиче­ским примером такого трубопровода может слу­жить оросительная система. В начальной точке трубопровода напор составляет Н. В общем слу­чае, расход по трубопроводу состоит из транзит­ного Qm и расхода Qp ,который непрерывно раз­ даётся по всей длине трубопровода.

Тогда в некотором сечении трубопровода на расстоянии х от его начала расход будет равен:

Тогда гидравлический уклон в сечении х на малом отрезке dx:

Уравнение падения напора вдоль элемента dx запишется следующим образом:

После интегрирования от 0 до / получим:

и при  :

Сети трубопроводов. Если магистральные трубопроводы принято рассматривать как сред­ства внешнего транспорта жидкостей и газов, то сети используются в качестве оборудования для внутреннего транспорта жидких или газообраз­ных продуктов. По направлению движения жидкости (газа) сети различают на сборные и раздаточные (распределительные). В сборных сетях имеется группа источников возникнове­ ния жидкости (газа). Жидкость от этих источни­ков направляется в своеобразные узлы сбора и от­туда - в магистральный трубопровод. Классиче­ским примером сборной сети может служить неф-тесборная система со скважин, канализационная сеть. В раздаточных (распределительных) сетях жидкость или газ поступает из магистрального трубопровода и по сети распределяется по потре­бителям (абонентам). Распространённым приме­ ром распределительной сети является система во­доснабжения. К такому же типу сетей можно так­же отнести систему принудительной вентиляции,

где воздух подаётся в служебные помещения или на рабочие места. К такому же типу се­тей можно отнести систему теплоснабжения и др. Сети строятся в населённых пунктах, на предприятиях, отдельных территориях. Трубы в таких системах могут изготавливаться из различных материалов в зависимости от технологических требований, предъявляемых к сетям. В сборных сетях источники жидкости и газа располагают напором, обеспечиваю­щим движение жидкости (газа) до магистралей. Если напоры недостаточны, то создаются специальные, узлы, где напор обеспечивается принудительным образом. Имеется, по крайней мере, две группы задач для гидравлического расчёта сетей: проектирование но­вых сетей и расчёт пропускной способности существующих сетей. Принципы расчёта по­хожи. В основе расчётных формул положены уравнения Дарси-Вейсбаха и Шези. Предва­рительно в сети выбирается ветвь с наибольшей нагрузкой (расход и напор). Эта ветвь рассматривается как своеобразный трубопровод, который, в общем случае можно отнести к категории последовательного соединения простых трубопроводов. Другие участки рас-

считываются самостоятельно. После завершения расчётных работ, осуществляется про­верка соответствия результатов расчётов в узлах сети. После анализа расхождений резуль­татов решений в узлах сети осуществляется корректировка исходных данных. Таким обра­зом, метод итераций является наиболее приемлемым для расчёта сетей.

Трубопроводы некруглого профиля. Подавляющее большинство трубопроводов со­бирается из круглых труб. Преимущество круглого сечения очевидны: круглое сечение обладает максимальной пропускной способностью и минимальным гидравлическим со­противлением. Так гидравлический радиус для круглого сечения:

для треугольного сечения для квадратного сечения

для шестиугольного сечения

Тем не менее, трубы некруглого сечения применяются в промышленности там, где потери напора не играют особой роли. Это, в первую очередь, воздуховоды с малыми ско­ростями движения воздуха, и т.д.

Трубопроводы, работающие под вакуумом (сифоны). Сифоном называется такой са­мотёчный трубопровод, часть которого располагается выше уровня жидкости в резервуа­ре. Действующий напор представляет собой разницу уровней в резервуарах Az. Для приведения сифона в действие необходимо предварительно откачать из си­фона воздух и создать в нём разряжение. При этом жид­кость поднимется    из резервуара А до верхней точки сифона, после чего жидкость начнёт двигаться по нис­падающей части трубопровод в резервуар В. Другой ме­ тод запуска сифона - заполнить его жидкостью извне. Запишем уравнение Бернулли для двух сечений а-а и b-b относительно плоскости сравне­ния О - О.

Поскольку:    , то:

 ?

Критическим сечением в сифоне будет сечение х - х в верхней точке сифона. Давле­ние в этой точке будет минимальным и для нормальной работы сифона необходимо, что­бы оно выло выше упругости паров перекачиваемой по сифону жидкости.

Трубопроводы со стенками из упругого материала. В практике предприятий нефтя­ной отрасли нередки случаи использования специальных трубопроводов, стенки которых деформируются при изменении давления в перекачиваемой по ним жидкости. К трубо­проводам такого типа относятся мягкие и гибкие рукава, резиновые и армированные шланги. Опыты Фримана показали, что в данных случаях можно пользоваться формулой аналогичной формуле Дарси-Вейсбаха:

'   >   ,    и

где;    можновзять из таблицы:

Характеристика трубопровода                                      Величина rj

Гладкие резиновые рукава                                                                            0,000860

Обыкновенные резиновые рукава                                                                 0,000899

Очень гладкие, прорезинненые внутри                                                          0,000884

Шероховатые внутри                                                                                   0,021300

Кожаные                                                                                                     0,013700

Для упругих деформируемых рукавов и шлангов В формулу Дарси-Веёсбаха следует ввести необходимые поправки.

Характеристика трубопровода

Величина rj

Гладкие резиновые рукава 0,000860
Обыкновенные резиновые рукава 0,000899
Очень гладкие, прорезинненые внутри 0,000884
Шероховатые внутри 0,021300
Кожаные 0,013700
Для упругих деформируемых рукавов и шлангов В формулу Дарси-Веёсбаха следует ввести необходимые поправки.

Номинальный диа­метр в мм

Средний внутренний диаметр в мм

 

При р- lam

Прнр=3ат

25 24,42 24,79 0,055
32 31,84 32,53 0,060
38 39,84 40,80 0,080
50 54,00 55,40 0,090
65 65,93 67,73 0,095

9. Неустановившееся движение жидкости в трубопроводе 9.1. Постановка вопроса, требования к модели и допущения

Вопросы изучения неустановившегося движения реальной жидкости очень сложны. Если окажется необходимым получить самое общее решение поставленной задачи, то придётся рассматривать систему уравнений, в составе которой будут входить:

уравнение Навье-Стокса,

уравнение неразрывности,

уравнение состояния жидкости,

-     уравнение термического состояния жидкости, уравнение первого закона термодинамики.

Следует отметить, что данная система настолько сложна и трудоёмка в своём реше­нии, что сразу же стоит рассмотреть вопросы о необходимости принятия некоторых до­пущений и ограничений, облегчающих решение поставленной задачи. Другими словами, необходимо определить из соображений практики степень детальности построения моде­ли, откуда станут очевидными требования к описанию объекта изучения. Так, рассматри­ваемый объект (жидкость) должна обладать упругими свойствами (быть сжимаемой), де­формация жидкости должна происходить в пределах пропорциональности, что соответст­вует закону Гука. Следует также учитывать упругие свойства самого трубопровода, дру­гие внешние среды не рассматриваются. Движение жидкости считается одномерным. Можно также пренебречь и теплопотерями во внешнюю среду.

Приняв такие ограничения, можно полную систему уравнений заменить на систему из двух дифференциальных уравненийН.Е. Жуковского:

где:    - адиабатический модуль упругости жидкости.

Однако даже для решения этой довольно простой системы придётся преодолеть не­малые трудности. По сути дела обычно рассматривают одну из хорошо известных моде­лей процесса неустановившегося движения жидкости: модель несжимаемой жидкости,

-     модель сжимаемой жидкости с сосредоточенными параметрами,

-     модель сжимаемой жидкости с рассосредоточенными параметрами.

Строго говоря, процесс изменения давления в жидкости во времени уподобляется волновым процессам в упругой среде, модель среды должна относиться к моделям с рас-

пределёнными параметрами. Однако подходить к выбору модели следует, прежде всего, исходя из практики работы предприятий горных отраслей промышленности. По этой при­чине остановимся на изучении проблем, связанных с явлением гидравлического удара в круглых трубах и на базе решения этой практической задачи рассмотрим основные урав­нения неустановившегося движения жидкости. Явление гидравлического удара характе­ризуется большими скоростями распространения ударной волны и значительными вели­чинами возникающих при этом давлений, периоды колебаний давления составляют доли секунды, благодаря чему действием сил трения можно пренебречь. 9.2. Явление гидравлического удара

Явление гидравлического удара возникает при резком изменении скорости движения жидкости в трубопроводе (вплоть до его мгновенного закрытия). В таких случаях проис­ходит переход кинетической энергии движущейся жидкости в потенциальную энергию покоящейся жидкости. Однако такой переход не мгновенный, а протекает с определённой скоростью, зависящей от свойств жидкости и материала трубопровода. Кроме того, этот процесс носит волновой характер. Покажем на простом примере, что гидравлический удар - процесс колебательный, т.е. волновой.

Резервуар А соединён с трубопрово­дом длиной /, на конце трубопровода уста­новлена задвижка. Размеры резервуара та­ковы, что при отборе жидкости из него уро­вень жидкости в резервуаре практически не понижается. Также для упрощения модели пока будем считать саму трубу недеформи­руемой. Примем за начало отсчёта точку О, расположенную на оси трубы в плоскости задвижки. Если потерями напора на трение при движении жидкости пренебречь, то пьезометрическая линия будет горизон­ тальной. Если бы жидкость была несжи­маемой, то при резком закрытии задвижки

мгновенно остановилась бы вся масса жидкости находящаяся в трубе, что вызвало бы мгновенный рост давления во всей жидкости. На самом деле в упругой жидкости процесс будет развиваться иначе. В момент резкого закрытия задвижки остановится только тонкий слой жидкости, непосредственно примыкающий к задвижке, остальная масса жидкости

будет продолжать движение За бесконечно малый промежуток времени (длительность процесса остановки) остановится масса жидкости в объеме первого тонкого слоя.

где: - - толщина тонкого слоя жидкости,

S     - площадь внутреннего сечения трубы.

Если обозначить давление в точке О до закрытия затвора через, а черездав-

ление после мгновенного закрытия задвижки, то по теореме об изменении количества движения можно вычислить

или: где:

Или;

Затем в следующий момент времени остановится следующий слой жидкости, потом третий и т.д. Так постепенно увеличенное давление у задвижки распространится по всему

трубопроводу в направлении против течения жидкости Тогда величинапредстав-

ляет собой скорость распространения упругой (ударной) волны. По истечении времени

вся жидкость в трубопроводе станет находиться в сжатом состоянии. Но теперь возник перепад давления между жидкостью в резервуаре и жидкостью в трубе, в результате чего начнётся движение упругой жидкости из трубопровода обратно в резервуар. По истечении

такого же временного интервала, давление жидкости у задвижки понизится на величи­ну, т.е достигнет первоначального значения. При этом процесс движения жидкости в резервуар будет продолжаться, пока пониженное давление не распространится до конца трубопровода (до резервуара). Таким образом, давление у задвижки буде сохраняться на

постоянном уровне в течение времени, а продолжительность всего цикла гидравличе­ского удара будет равна. За это время давление у задвижки в течение половины этого

времени будет максимальным , в течение другой половины времени - минималь-

ным

9.3. Скорость распространения упругих волн в трубопроводе

Рассмотрим общую задачу о распространении упругой волны в трубопроводе с упру­гими стенками (т.е. с учётом сжимаемости материала труб). Выделим элемент трубопро­вода протяжённостью , в котором жидкость остановилась в течение времени  , а давление возросло на величину:

В остальной части трубы жидкость продолжает двигаться и за время А/ в выделен­ный остановившийся элемент жидкости за счёт её сжатия и сжатия стенки трубы поступит дополнительный объём жидкости:

где:        и - начальная площадь трубы и скорость движения жидкости до

момента удара.

Разделим этот дополнительный объём на два составляющих объёма (за счёт сжатия жидкостии за счёт сжатия трубы

или:

где:     - увеличение площади сечения трубы за счёт упругости её материала.

или:

Отсюда скорость распространения упругой волны в жидкости:

Относительное удлинение размера трубы (её радиуса):

Принимая во внимание, что:- (Е- модуль Юнга материала трубы).

где:    - нормальное напряжение,

 - толщина стенки трубы.

f                j.

тогда:

Величину     называют приведённым модулем упругости. С учётом

принятых обозначений:

9.4. Методы предотвращения негативных явлений гидравлического удара и его использование

Резкое увеличение давления, сопровождающее гидравлический удар - явление край­не негативное, т.к. гидравлический удар может разрушить трубопровод или какие-либо элементы гидравлических машин, испытывающие эффекты гидравлического удара. По этой причине разрабатываются методы предотвращения гидравлических ударов или уменьшить его негативное влияние. Поскольку мощность гидравлического удара напря­мую зависит от массы движущийся жидкости, то для предотвращения гидравлического удара следует максимально уменьшить массу жидкости, которая будет участвовать в гид­равлическом ударе. Для этого необходимо запорную арматуру монтировать в непосредст­венной близости к резервуару. В качестве меры уменьшения негативных последствий гидравлического удара используют замену прямого гидравлического удара на непрямой. Для этого достаточно запорную арматуру на напорных трубопроводах сделать медленно закрывающейся, что позволит уменьшить силу удара. Другой мерой борьбы с явлением гидравлического удара является установка на напорных линиях, работающих в условиях

циклической нагрузки специальных компенсаторов с воздушной подушкой, которая при­нимает на себя удар

Однако в ряде случаев явление гидравлического удара успешно используется. К та­ким случаям использования гидравлического удара относятся производственные процес­сы по разрушению материалов и др. Известна специальная конструкция водоподъёмника, базирующаяся на использовании гидравлического удара.

10. Движкние газа по трубам 10.1. Основные положения и задачи

Основной отличительной особенностью движения газа по трубам от движения ка­пельных жидкостей заключается в том, что капельные жидкости характеризуются весьма малой сжимаемостью, а их вязкость практически не зависит от давления. По этой причине для решения большинства практических задач капельные жидкости можно считать не сжимаемыми, что позволяет значительно упростить уравнения движения такой жидкости. При движении газа таких допущений делать нельзя. Поскольку изучение общих решений уравнений газодинамики не является предметом настоящего курса, рассмотрим лишь ча­стные задачи, встречающиеся в практике работы специалистов горных отраслей промыш­ленности. К числу таких первоочередных задач относится изучение движения газов, включая воздух по газопроводам (воздуховодам).

Газ двигается по газопроводу при переменном давлении, т.к. давление изменяется вдоль длины газопровода из-за неизбежных потерь напора по длине трубопровода. По этой причине плотность газа и его вязкость являются величинами переменными и неоди­наковы в различных сечениях газопровода. Рассмотрим наиболее простой случай газопро­вода (воздуховода) собранного из труб одинакового диаметра (простой газопровод S = const) при установившемся движении газа. Тогда в соответствии с уравнением нераз­рывности потока газа массовый расход газа вдоль газопровода является величиной посто­янной= const. При этом объёмный расход газа будет меняться от одного сечения га­зопровода к другому, т.к. плотность газа зависит от давления, которое по длине газопро­вода меняется.

Тогда скорость движения газа также будет меняться вдоль длины газопровода:

При этом должна изменяться и температура газа по длине газопровода, и, как след­ствие, также и вязкость газа. Однако для решения практических задач движение газа по трубопроводу можно считать изотермическим (небольшие скорости движения, теплоизо­ляция газопровода, небольшие перепады давления). Это допущение не приведет к серьёз­ным погрешностям в расчётах, но оно позволяет пренебречь изменением вязкости газа при незначительных колебаниях температуры газа в газопроводе. Т.е. полагаем, что в га­зопроводе соблюдается условие: Т = const и= const. При таких условиях будет посто-

янным для всего потока и число Рейнольдса, и как следствие будут одинаковым коэффи­циенты трения и гидравлических сопротивлений по длине потока.

Отметим, что в последнем выражении все величины, входящие в правую часть ра­венства являются величинами постоянными, отсюда: Re = const и /I = const. По этой причине для определения величины потерь напора и расхода газа можно воспользоваться обычным уравнением Бернулли.

i %

10.2. Основные уравнения газодинамики для установившегося движения газа в простом газопроводе

Запишем уравнение Бернулли в дифференциальной форме:

Последний член уравнения весь мал и его величиной можно пренебречь, тогда для горизонтального газопровода (z = const) можно записать:

Подставив в последнее уравнение значение средней скорости движения газа, выра­зив её через массовый расход, получим:

По принятым выше условиям процесс движения газа по газопроводу является изо­термическим, тогда подставив в последнее уравнение значение из уравнения Бойля-Мариотта:

 , получим:

Решая последнее уравнение, получим основные расчётные формулу для определения потерь давления в газопроводе и формулу для определения массового расхода газа в газо­проводе.

 >

Величина коэффициента трения Л определяется по формулам для жидкости в зави­симости от режима её движения или же можно воспользоваться эмпирической формулой ВННИИГаза:

*                                             ^

 *

где d- диаметр газопровода в сантиметрах.

11. Безнапорное движение жидкости

При безнапорном движении жидкости часть периметра живого сечения потока жид­кости ограничивается газовой средой, давление в которой равно атмосферному давлению. Типов безнапорных потоков достаточно много, это и безнапорное движение жидкости в трубах, и потоки жидкости в открытых руслах, и т.д. Тем не менее, несмотря на разнооб­разие таких потоков, с точки зрения гидравлики их можно разделить на установившиеся потоки с равномерным движением жидкости и неустановившиеся потоки, часто называе­мые быстротоками. Наибольший интерес для нас играют потоки первой группы, с кото­рыми чаще всего приходится встречаться специалистам горной промышленности. Быст­ротоки, как правило, являются предметом изучения для специальных дисциплин гидро­технического профиля. Поскольку установившиеся потоки жидкости, независимо от их вида совершенно одинаковы, то расчёты параметров таких потоков общие и могут быть продемонстрированы на простом примере.

11.1. Классификация безнапорных потоков

Прежде всего, следует отметить, что сколь-нибудь совершенной и законченной клас­сификации безнапорных потоков отвечающей их многообразию не существует, попыта­емся выделить некоторые типы потоков по их основным признакам.

На начальной стадии разделим все потоки по их происхождению на две группы: ес­тественные (природные) и искусственные (созданные человеком). К потокам первой груп­пы будут относиться все реки и другие природные русла, отличающиеся от рек чаще всего лишь по названию, а не по своей сути.

Аналогичные две группы потоков можно выделить и по роли и назначению потоков: потоки жидкости, используемые как средство транспорта (естественные русла - реки и искусственные русла - каналы) и потоки жидкости как средство транспорта самой же жидкости (водоводы и др. гидротехнические сооружения).

Безнапорные потоки также можно разделить на заглублённые и наземные. К катего­рии заглублённых относятся все виды безнапорных трубопроводов. Среди безнапорных трубопроводов можно выделить трубопроводы из стальных, бетонных, асбоцементных и другого типа труб; по сечению безнапорные трубопроводы можно разделить на круглые,

некруглые   и   трубопроводы специального сечения.

Среди наземных безна­порных потоков можно вы­ делить гидротехнические системы, сооружаемые из

готовых элементов, когда водовод монтируется на трассе и обсаживаемые. При сооруже­нии последних, как правило, предварительно сооружается земляное русло бедующего во­довода (траншея, канава и др.), после чего такое русло обсаживается водоизоляционным материалом во избежание потерь при инфильтрации жидкости в почву. Наиболее часто встечающимися формами сечения таких водоводов являются водоводы трапециевидного (1), треугольного (2) и, реже всего, прямоугольного форм сечения (3).

Подавляющее число наземных потоков являются открытыми, т.е. сообщаются с ат­мосферой, однако, в тех случаях, когда необходимо предотвратить потери транспорти­руемой жидкости от испарения (в странах с жарким климатом), водоводы перекрывают. В ряде случаев водоводы монтируются над поверхностью земли на специальных опорах и мостовых переходах, создавая тем самым акведуки.

И, наконец, можно разделить безнапорные потоки на постоянно действующие и ра­ботающие в сезонном режиме.

11.2. Основные методы гидравлического расчёта безнапорных потоков Равномерное движение жидкости в безнапорном потоке поддерживается за счёт раз­ницы в уровне свободной поверхности между начальным и конечным живыми сечениями потока. Чтобы движение жидкости в потоке было равномерным, должны быть выполнены следующие необходимые условия:

живые сечения потока вдоль всего русла должны быть одинаковыми как по размеру, так и по форме,

уровень свободной поверхности жидкости должен быть параллелен профилю дна русла,

шероховатость стенок русла должна быть одинакова по всей длине русла. При выполнении этих условий гидравлический расчёт сводится в основном к опре­делению расхода в потоке жидкости, а также некоторых параметров потока.

Выделим в потоке жидкости двумя живыми сечениями (1-1 и 2 - 2) от­сек потока длиной /. Центры тяжести сечений будут находиться соответст­венно на уровнях и от произ­вольно выбранной плоскости сравне­ ния О -О и на глубинах соответствен­нои под уровнем свободной по­верхности жидкости. Тогда запишем уравнение Бернулли для этих двух сечений по­тока.

Поскольку по условиям равномерности потокаи, то уравнение

Бернулли примет вид:

t

 ?

где:

 - потери напора по длине отсека потока /. Согласно известному уравнению Шези средняя скорость в живом сечении потока:

Величина скоростного коэффициента Шези С определяется по экспериментальной формуле Маннинга:

где:        п - величина шероховатости стенок русла. Или по формуле Павловского:

где:         при

 при

11.3. Движение жидкости в безнапорных (самотёчных) трубопроводах

Безнапорные самотёчные трубопроводы прокладываются, как правило, в заглублён­ном исполнении. Для строительства таких трубопроводов помимо труб круглого сечения (1) часто используются трубы овоидального (2) и лоткового (3) сечений.

При гидравлическом расчёте безнапорных трубопроводов независимо от вида их сечения при­ ходится решать задачи трёх основных типов:

определение   расхода   жидкости,   про­пускаемого данным трубопроводом,

определение уклона дна, необходимого для пропуска заданного расхода жид­кости при заданном заполнении сечения,

определение степени наполнения трубопровода для пропуска заданного рас­хода жидкости при известном уклоне дна.

Решение всех этих задач сводится к решению уравнения Шези при различных вари­антах задания исходных данных Анализируя результаты решения таких задач нетрудно обнаружить, что для каждого сечения трубопровода существует так называемая эффек­тивная степень заполнения русла, при которой достигается максимальный расход при ус­ловии минимальо возможных потерях напора Это объясняется тем, что при увеличении площади живого сечения потока увеличивается также и длина смоченного периметра На­чиная с некоторой величины (соответствующей эффективной степени заполнения русла), увеличение длины смоченного периметра начинает «обгонять» рост площади живого се­чения. При этом дальнейшее увеличение расхода жидкости в трубопроводе будет сопря­жено со значительными потерями напора.

12. Движение неньютоновских жидкостей 12.1. Некоторые характеристики и реограммы неньютоновских жидкостей.

Изучение процесса движения неньютоновских жидкостей является весьма трудоём­кой задачеё как с точки зрения полноты понимания всех физико-химических процессов сопровождающих такое движение сложного физического тела, так и с точки зрения мате­матического описания этого явления. Как известно, все неньютоновские жидкости отли­чаются от классической ньютоновской жидкости видом зависимости градиента давления

от величины касательного напряжения. Графики таких зависимостейносят на-

звание кривых течения неньютоновских жидкостей или реограмм. На рисунке представ­лены реограммы различных типов неньютоновских жидкостей (1 - дилатантная жидкость, 3 - псевдопластическая жидкость, 4 - вязкопластическая жидкость) по сравнению с ана­логичной характеристикой классической ньютоновской жидкостью (линейная зависи­мость - 2).

Первые два вида неньютоновских жидкостей: дилатантные и псевдопла­стические описываются одинаковыми уравнениями реограмм с различными характеристиками коэффициентов k -меры консистенции жидкости и п - ме­ры степени отличия поведения ненью­тоновской жидкости от классической ньютоновской жидкости.

 Для характеристики названных выше типов неньютоновских жидкостей часто используется ещё одна дополнительная ме­ра - эффективная кажущаяся вязкость жидкости. Суть этой меры состоит в том, что для любой конкретной величины касательного напряжения в неньютоновской жидкости мож­но поставить в соответствии величину вязкости ньютоновской жидкости с одинаковой ве­личиной касательных напряжений, т.е. реограмма реальной неньютоновской жидкости заменяется линейной зависимостью:

Естественно, что величина эффективной кажущейся вязкости жидкости будет зави­сеть от интервала значений касательного напряжения, на котором эта величина вычисля­ется.

Вязкопластические (бингамовские) жидкости обладают как свойствами твёрдого те­ла (при напряжениях меньших величины статического напряжения сдвига ), так и

свойствами жидкости (при касательных напряжениях в жидкости ). Когда вязкопла-

стическая жидкость проявляет свойства твёрдого пластичного тела, то роль кристалличе­ской решётки в вязкопластической жидкости осуществляет образующаяся в ней жёсткая

пространственная структура, приводящая к полной неподвижности жидкости. Поэтому реограмму вязкопластических жидкостей (в) принято рассматривать как некоторую сумму реограмм твёрдого пластичного тела (а) и классической ньютоновской жидкости (б). Уравнение такой реограммы можно представить в следующем виде:

Вид реограмм неньютоновских жидкостей, в том числе и вязкопластичных жидко­стей, осложняется проявлением тиксотропных свойств таких жидкостей. Принято считать, что величина статического напряжения сдвига вязкопластичных жидкостей зависит от продолжитнльности нахождения такой жидкости в состоянии покоя, другими словами, прочность образующейся структурной решётки в вязкопластичной жидкости увеличива­ется со временем. Повторное приведение жидкости в состояние движения происходит при значительно более низком статическом напряжении сдвига. Поэтому принято различать величину начального статического напряжения сдвига (после длительной остановки жид­кости) и динамическую величину (после кратковременных перерывов в работе). Тиксо-тропные свойства жидкостей обратимы, т.е. при восстановлении существовавшего ранее режима течения жидкости их действие прекращается.

Следует также отметить тот факт, что на величину статического напряжения сдвига в значительной степени влияет вибрация, разрушающая образующуюся в жидкости про­странственную структуру. При этом величина т0 может быть снижена практически до 0, и

поведение такой жидкости не будет отличаться от классической ньютоновской жидкости. Особенности строения вязкопластических жидкостей приводят к некоторым пара­доксам. Так, к примеру, в сообщающихся сосудах с вязкопластической жидкостью уровни в коленах сосудов устанаыливаются на разных высотах, зависящих от свойств жидкости и

у

размеров сосудов.                                                                                         !  *

12.2. Движение вязкопластических жидкостей в трубах.

Для того, чтобы вязкопластичная жидкость начала перемещаться необходимо соз­дать между начальным и конечным сечениями участка трубы длиной / некотурую раз­ность напоров, при которой будет преодолена величина начального статического напря­жения сдвига. При этом жидкость отрывается от стенок трубы и первоначально дви­жется на подвижном ламинарном слое, сохраняя свою прежнюю пространственную структуру, т.е. с одинаковыми скоростями по всему отсеку потока. Разрушение этой структуры происходит позже и при некотором превышении напора.

Поскольку в начальный момент времени силы трения будут возникать только у сте­нок трубы, то уравнения равновесия можно запмсать в следующем виде:

Необходимая разность напоров между началом и концом участка трубы определится следующим образом:

Таким образом, при превышении разности напоров расчётную величину жидкость начнёт двигаться по трубе, причём характер (режим) её движения будет зависеть от вели­чины. При движении вязкопластичной жидкости возможны три режима течения её: структурный, ламинарный и тутбулентный.

Условиеявляется необходимым для начала движения жидкости

в структурном режиме, при этом под величиной статического напряжения сдвига следует понимать величину соответствующую длительному покою жидкости, т.е. с учётом прояв­ления тиксотропных свойств жидкости.

Структурный режим течения жидкости предполагает наличие вдоль стенок трубы сплошного ламинарного слоя жидкости; в центральной части трубы наблюдается ядро те-

чения, где жидкость движется, сохраняя прежнюю свою структуру, т.е. как твёрдое тело. Размеры центрального ядра течения (радиус) может быть определён исходя из следую­щего соотношения:

При увеличении А/г размеры ламинарной зоны будут постепенно увеличиваться за счёт уменьшения размеров ядра течения пока структурный режим не перейдёт в полно­стью ламинарный режим движения жидкости. В дальнейшем ламинарный режим посте­пенно  сменится  турбулентным  режимом движения жидкости.

Для определения закона распределе­ния скоростей по сечению потока при структурном режиме движения жидкости запишем некоторую функцию для каса­тельных напряжений в соответствии с  формулой Бингама:

Тогда распределение скоростей по сечению трубы можно выразить следующим об­разом:

 ?

где:    - касательное напряжение на стенке трубы радиуса,

 - скорость жидкости на расстоянииот центра трубы. После интегрирования этого уравнения получим:

И окончательно:

Для определения скорости в ядре течения примем, где - радиус ядра течения

(структурной части потока жидкости). Тогда величина скорости в этом ядре течения (ско­рости в ядре течения одинаковые равны):                                        '

Расход жидкости при структурном движении можно определить, используя извест­ные соотношения дл круглой трубы:

Интегрируя уравнение в пределах от      до, получим:

 5                       f

Последнее уравнение, известное как формула Букингама, можно упростить:

где:         - разность давлений при начале движения жидкости, когда каса-

тельнве напряжения в ней достигают величины касательного напряже­ния сдвига. Если пренебречь величиной второго члена ввиду его малости, получим:

 * где:    - обобщённый критерий Рейнольдса.

Комплексный параметр= Sen носит название числа Сен-Венана.

Таким образом, при расчётах движения вязкопластических жидкостей можно поль­зоваться уравнениями для ньютоновских жидкостей, заменяя в уравнениях величину чис­ла Рейнольдса Re на обобщённый критерий Рейнольдса

Турбулентный режим течения жидкости. Характер течения вязкопластических жид­костей существенно не отличается от турбулентного потока ньютоновских жидкостей. Отличие состоит в количественных соотношениях между величинами коэффициентов трения и числом Рейнольдса. Так коэффициент трения может быть выражен как функция обобщённого числа Рейнольдса (в общем виде) следующим образом:

где: В и п - некоторые параметры, устанавливаемые по данным экспериментов. Так по данным экспериментов Б.С. Филатова величины коэффициентов В и п принимают­ся следующими:

- для неутяжелённого глинистого раствора          В = 0,1 и п = 0,15,

- для утяжелённого глинистого раствора    В = 0,0025 и п = -0,2.

Для расчёта трубопроводов при ждижении по ним глинистых и цементных растворов можно пользоваться формулой Б.И. Мительмана:

 при: Re* =2500-40000. 12.3. Движение вязкопластичных жидкостей в открытых каналах

В практике работы горных предприятий не редки случаи, когда приходится транс­портировать неньютоновские жидкости в безнапорных потоках (самотёком), в лотках, по желобным системам. Характер течения вязкопластичных жидкостей в открытых каналах при структурном режиме идентичен аналогичному и напорному потокам такой жидкости в круглых трубах. Т.е. при структурном режиме течения жидкости также выделяется цен­тральное ядро течения, где жидкость движется как твёрдое тело, сохраняя свою первонв-чальную структуру. Ядро течения подстилается непрерывным ламинарным слоем жидко­сти. Течению таких жидкостей по открытым каналам прямоугольного профиля посвяще­ны работы Р.И. Шищенко. По данным его исследований расход вязкопластичной жидко­сти при структурном режиме движения может быть определён по приближённой формуле:

где:    - скорость течения ядра потока

 - площадь живого сечения канала шириной b и глубиной заполнения h,

 - гидравлический уклон, соответствующий началу течения жидкости,

/ - уклон дна канала,

 - гидравлический радиус живого сечения потока. 12.4. Движение неньютоновских жидкостей, подчиняющихся степенному реологическому закону, по трубам

Для жидкостей, подчиняющихся степенному реологическому закону, функция на­пряжения сдвига будет иметь следующий вид:

Тогда распределение скоростей в сечение потока будет соответствовать следующей зависимости:

Интегрируя это уравнение, найдём:

 , или:

Отсюда можно получить выражение для расхода жидкости:

Отсюда определим величину перепада давления, обеспечивающую движение жидко­сти и соответствующую величину потерь напора на трение.

Сопоставляя полученное выражение с формулой Дарси-Вейсбаха, найдём величину коэффициента трения и обобщённый критерий Рейнольдса:

13. Гидравлическая теория смазки 13.1. Ламинарное движение жидкости в узких щелях

В большинстве машин и механизмов с целью снижения трения между движущимися узлами используются принципы гидравлической смазки, когда малые зазоры между со­прикасающимися элементами заполняются низковязкой или другой жидкостью. В данном случае процесс сухого трения между твердыми движущимися телами заменяется сколь­жением. Гидравлическая смазка используется также и в случаях, когда необходимо вы­полнить изоляцию зазоров от проникновения через них жидкостей. Эти чисто практиче­ские задачи связаны с теорией течения жидкости в узких щелях, разработанных Буссинэ и Н.П. Петровым.

Эту задачу рассмотрим на классическом уровне. Возьмём две плоские одинаковые

пластины, расположенные параллельно друг другу на малом расстоянии друг от друга. Эти пластины образуют межды собой тонкую щель (зазор) d.

Щель будет считаться тонкой, если её ширина d во много раз меньше размеров пла­стин и, где L и В - размеры пластины. Проведем в потоке щели два парал­лельных друг другу сечения на расстоянии / и выделим малый отсек жидкости в виде па­раллелепипеда со сторонами:и 2у. Жидкость движется вдоль оси ОХ (на рисунке 2 слева на право). Грани, через которые жидкость втекает внутрь выделенного отсека и вы­текает из него, имеют площадь . К этим граням приложены силы давления рав­ные:

Гогда выделенный отсек жидкости будет находиться в состоянии равновесия под действием сил давления трения и силы тяжести.

где:     - площадь верхней и нижней граней отсека жидкости.

Подставив в уравнение величины площади пластин и граней, и преобразовав уравне­ние, получим:

Тогда:

 5

где:    - гидравлический уклон.

13.2. Распределение скоростей и касательных напряжений в щелевом зазоре

После интегрирования полученного дифференциального уравнения получим:

Величина постоянной интегрирования может быть получена исходя из условия, что скорость на гране пластины равна 0, т.е. при, и = 0 .                                 ^

 5

В центре потока скорость будет максимальной, т.е. при у = О

Вычислим величину средней скорости потока, для чего найдём величину расхода че­рез щель. Элементарный поток жидкости dQ в тонком слое dy будет равен:

откуда:

откуда средняя скорость в потоке.

т.е. для потока в тонкой щели соотношение между средней скоростью и максимальной иное, чем в круглой трубе:

Потери напора будут равны.

 3

Если одна из пластин будет двигаться относительно другой неподвижной пластины с постоянной скоростью, а давление в щели будет постоянным по всей длине, то при таком параллельном перемещении движущаяся пластина будет увлекать за собой жидкость. Та­кое перемещение жидкости называется безнапорным фрикционным движением. Выделим

в этом потоке элементарный объём жид­кости также в виде параллелепипеда.

Поскольку величины сил давления на левую и правую боковые грани оди­наковы, то для равновесия необходимо, чтобы и силы трения, действующие  вдоль верхней и нижней граней выде­ленного отсека тоже были одинаковыми.

f                                         j

После интегрирования получим:

Величины постоянных интегрирования получим при следующих условиях:

при у = О   и - 0  , при

Следовательно:       и, т.е. будем иметь закон распределения

скоростей по сечению зазора

Таким образом, скорость по сечению зазора распределяется по линейному закону. Величина касательных напряжений постоянна по сечению зазора:

Тогда сила трения, действующая на пластину, будет равна:

расход жидкости через зазор:

т.е. средняя скорость фрикционного потока равна половине максимальной скорости:

Выводы, полученные для плоских пластин легко перенести на криволинейные по­верхности, если допустить, что радиус кривизны такой поверхности бесконечно велик по сравнению с шириной зазора, что соответствует действительности.

В то время, когда жидкость проникает в узкую щель между неподвижными стенками за­зора, на поверхности стенок происходит адсорбция поляризованных молекул жидкости, обусловленная силами межмолекулярного взаимодействия. В результате этого на поверх­ности стенок образуется фиксированный слой жидкости, обладающий значительной прочностью на сдвиг, а живое сечение щели уменьшается. Это явление носит название облитерации Интенсивность облитерации зависит от свойств жидкости. Сложные по строению высокомолекулярные жидкости обладают значительно большей степенью обли­терации, по этой причине разного рода смазки являются подходящим средством для уп­лотнения соединений и устранения возможных утечек.

Явление облитерации необходимо учитывать при запуске оборудования, когда при­ходится преодолевать дополнительные усилия на страгивание простаивающих элементов оборудования.

14. Элементы теории подобия

Решение задач гидравлики аналитическими методами на базе дифференциальных уравнений и различных методов математического анализа не нашло широкого примене­ния для практических целей. Необходимость ввода различных допущений и ограничений позволяют использовать полученные строгие решения лишь как качественные оценки изучаемых процессов. Практические же результаты, как правило, достигаются экспери­ментальными методами исследований. Построение модели того или иного процесса также связано с немалыми трудностями. Это, прежде всего, необходимость точного знания фи­зической стороны изучаемого процесса, умение выделить существенные стороны и фак­торы, добиться полной аналогии построенной модели с натурой и т.д. Поэтому даже все­стороннее знание природы изучаемого процесса не гарантирует абсолютный успех.

При решении практических задач в гидравлике пользуются обеими известными ме­тодами построения моделей как физическим, так и математическим моделированием.

При физическом моделировании модель, как и натура, имеют одинаковую физиче­скую природу и отличаются друг от друга лишь размерами. При математическом модели­ровании модель имеет иное, чем натура, физическое содержание: общими у них являются лишь одинаковые дифференциальные уравнения, описывающие сходные физические про­цессы, протекающие в модели и натуре.

Подробное изучение методов моделирования не является задачей настоящего курса, эти вопросы рассматриваются в специальных дисциплинах. В настоящем курсе мы лишь назовём некоторые положения касающиеся основ построения таких моделей

14.1. Физическое моделирование

Физическая модель отличается от натуры лишь размерами, т.е. модель по своим раз­мерам может быть, чаще всего лишь уменьшенной копией натуры, либо она может (в не­которых случаях) превосходить по своим размерам натуру. И в том и другом случае, для успешного и правильного построения модели необходимо, прежде всего, знать основные законы подобия. Модель и натура будут адекватны между собой, если при построении модели будут выполнены все основные элементы подобия. К таким условиям относятся критерии геометрического, кинематического и динамического подобия.

Для геометрического подобия необходимо, чтобы отношение любых сопоставляе­мых линейных размеров модели и натуры были бы одинаковыми. Так протяжённость мо­дели и натуры, а также и другие прочие размеры должны находится между собой в про­порциональной зависимости:

где:     и - линейный размер соответственно на модели и на натуре,

 - коэффициент геометрического подобия, масштаб моделирования.

В таком случае, при сопоставлении размеров площадей на модели и натуре должен соблюдаться такой же масштабный множитель, но с учётом порядка мерности величины:

Т.е. при сопоставлении размеров площадей на модели и на натуре соотношение этих величин будет равно квадрату масштабного линейного множителя. Соответственно для сопоставления объёмов:

Для кинематического подобия необходимо, чтобы траектории всех сопоставимых частиц были геометрически подобны, т.е. при этом кроме геометрического подобия со­поставимых криволинейных отрезков модели и натуры выполнялось ещё подобие сопос­тавимых интервалов временни в моделе и натуре.

Тогда величины скоростей движения частиц в модели и натуре будут относиться между собой как:

 5 - величины расходов жидкости:                                                                        '

Для динамического подобия сравниваемых потоков необходимо, чтобы в соответст­вующих местах потоков были подобны действующие в них одноимённые силы. Пусть в сопоставимых точках потока жидкости и строящейся модели этого потока действует неко­торая инерциальная сила F. Тогда при соблюдении геометрического и кинематического подобия, критерий динамического подобия может быть выражен следующим образом:

Величина носит название масштаба сил.

Рассмотрим критерии подобия отдельных сил действующих в жидкости.

Сила внутреннего трения в жидкости.

Заменив мы получим основное условие подобия потоков, в которых ос-

новную роль играют силы внутреннего трения жидкости. Для подобия таких потоков не­обходимо равенство чисел Рейнольдса.

Определяющей в потоке является сила тяжести.

 j

Таким образом, если определяющей силой в потоке является сила тяжести, то для подобия таких потоков необходимо постоянство числа Фруда

Для потока жидкости, в котором определяющей силой является сила давления:

Если определяющей в потоке жидкости является сила давления, то для подобия та­ких потоков обязательным условием является равенство критерия Эйлера

14.2. Математическое моделирование

Для построения математических моделей в гидравлике могут быть использованы процессы, имеющие единую с гидравликой природу взаимодействия физических тел. Т.е. моделями для процессов, протекающих в жидкостях и газах, могут служить лишь те фи­зические процессы, которые относятся к группе электромагнитных взаимодействий, имеющих одного и того же переносчика взаимодействия - фотон. В таком случае основ­ные процессы, протекающие в модели и натуре, будут иметь одинаковые уравнения, опи­сывающие сходственные процессы.

Так для моделирования гидродинамического поля (поля скоростей движения жидко­сти и газа) могут быть использованы электрическое и тепловое поля.

Из курса физики известны общие уравнения, характеризующие сплошность поля и его изменение. Это известное уравнение неразрывности:

и так называемые уравнения неустановившегося (уравнение Фурье) и установивше­гося (уравнение Лапласа) движения:

Наиболее удобным для целей моделирования процессов протекающих в жидкостях и газах являются процессы, протекающие в электрическом поле, поскольку последние отли­чаются компактностью, доступностью для измерения и, что самое главное, высокой ско­ростью протекания. Такие особенности электрического поля сделали его популярным для моделирования различных процессов, был разработан специальный аппарат для построе­ния электрических моделей процессов протекающих в жидкостях и газах, - метод электро­гидродинамической аналогии (ЭГДА). Построенные на его базе серийные моделирующие комплексы вплоть до появления цифровых ЭВМ широко использовались в практике на­учных исследований и на прямом производстве. При решении ряда задач актуальность этого метода остаётся поныне.

Модели, строящиеся на базе теплового поля, используются крайне редко из-за тру­доёмкости их создания и реализации.

Литература

1.    Агроскин И.И, Дмитриев Г.Т., Пикалов Ф.И. Гидравлика. М., Госэнергоиздат, 1964

2.    Альтшуль А.Д., Животовский Л.С., Иванов Л.П. Гидравлика и аэродинамика - М Строй-издат. 1987,4Юс.

3.    Башта Т.М.,. Руднев С.С,. Некрасов Б.Б и др. Гидравлика, гидромашины и гидро­приводы.. «Машиностроение», 1982, 433с.

4.    Гейер В.Г., Дулин B.C., Заря А.Н. Гидравлика и гидропривод. М.

5.    Есьман И.Г. и др. Гидравлика и гидравлические машины. Баку, 1955

6.    Некрасов Б.Б. Гидравлика и её применение в летательных аппаратах. М.Машиностроение, 1967. 368 с.

7.    Орлов Ю.М. Механика жидкости, гидравлические машины и основы гидропривода. Учеб­ное пособие. Пермь, 2001. 379 с.

8.    Рабинович Е.З. Гидравлика - М. «Недра» 1980,278 с.

9.    Сборник задач по машиностроительной гидравлике: Учебное пособие для машино­строительных ВУЗов\ Д.А. Бугаев, З.А. Калмыкова, Л.Г. Подвидз и др. Под редак­цией И.И. Куколевского и Л.Г Подвидза.-4-е изд., перераб.-М: Машиностроение, 1981.-464 с. ил.


 
© 2012 Рефераты, доклады, дипломные и курсовые работы.