реферат
Главная

Рефераты по биологии

Рефераты по экономике

Рефераты по москвоведению

Рефераты по экологии

Краткое содержание произведений

Рефераты по физкультуре и спорту

Топики по английскому языку

Рефераты по математике

Рефераты по музыке

Остальные рефераты

Рефераты по авиации и космонавтике

Рефераты по административному праву

Рефераты по безопасности жизнедеятельности

Рефераты по арбитражному процессу

Рефераты по архитектуре

Рефераты по астрономии

Рефераты по банковскому делу

Рефераты по биржевому делу

Рефераты по ботанике и сельскому хозяйству

Рефераты по бухгалтерскому учету и аудиту

Рефераты по валютным отношениям

Рефераты по ветеринарии

Рефераты для военной кафедры

Рефераты по географии

Рефераты по геодезии

Рефераты по геологии

Шпаргалка: Экономика инвестиций (шпаргалка)

Шпаргалка: Экономика инвестиций (шпаргалка)

Лизинг как метод иниестир-я.

Лизинг-это долгосрочная аренда машин и оборуд-я на срок 3-20лст и более, купленных арендодателем д/арсндатора с целью их пронзв-го использ-я-последним при сохранении права собственности за арсндодотелсм на весь период договора

Виды арендных операций 1)Рентинг(до1года) 2)Хайринг(1-Зг) 3)Лизинг(3-20 и более)

Л м рассматр-ть как специфич форму финансир-я в осн-е фонды, когда Л-я компания, приобретая машины и оборуд-е как бы кредитует арендатора Л появ-ся в 50г в США, 60г в Европе, 70г в Автралии, сейчас везде Виды Л-х операций

1)Финансовый Л-это соглашение, предусматривающее в течение срока договора выплату сред-в, покрывающих полную аморт-цию оборуд-я Ло истеч-ю срока договора арендатор имеет преиму­щество выкупить объект по остаточ стоим-ти, вернуть оборуд-е, или заключить нов договор на аренду, на усл-ях арендодателя

2)Опсратнвный Л-это соглашение на срок меыиий амортизац-го

периода, по окончании этого срока арендатор д вернуть это

оборуд-е Оборуд е вновь сдается в аренду на равных д/всех

условиях

В сумму Л-х платежей входит 1) аморт-ция 2) плата за ресурсы

3)лизннговая мар/на(доход лизингодателя д/осущ-я сделки 1-3%)

4)рисковая премия

Q-сумма аренд-х платежей, n-срок договора, i-лизинговый %,

m-период-тъ аренд-х платежей в году

Расчет аренды

а) при разовом взносе платежей. Q=(Dj(l+j)An)/(l+j)An-i

б) при взносе m раз в течение года Q=D(j/m( 1 +j/m)лnm)/( 1 +j/m)Anm-1

При заключении Л-го соглашения часто не предусм-ся полная аморт-ция Остаточная стоим-ть учнт-ся в пределах 10% от первонач стонм-тн и сумма аренды корректир-ся на % остаточ-й стоим-ти Q=(l+j/m)^nm/(l+j/m)Anm+i, где 1-%остат стоим-ти Форфейтинг-форма трансформации коммерч-го кредита в банковский Распр-ся в 60г во внеш торговле из-за роста конкуренции При стабильн ситуации м. прим-ся внутри страны Суть инвестор не обладающий нужной суммой д/ оплаты к-л объекта выписывает продавцу комплект векселей, общая стоим-ть кот-х=стоим-ти продаваемого объекта с учетом % за отсрочку платежа Метопы расчета нормы рспт-ти (инлскс доходности).

Индекс доходности (ИД) - отношение I приведенных эффектов к

величине кап влож-ий


д б > 1 ИД показывает относительную прибыльность (дох-ть или дисконтированную рент-ть) проекта Он отражает эффективность вложений


Базовые стратегии прсд-я в разя.усл-ях коикур-цнн и особенн-тм инв. деят-ти д/иих.

1 Пред-с.имсющес слабую конкур-ю позицию

3 выхода из ситуации а)работа с дешевой прод-й или нсп-е

новых методов дифферснцнацинб)сохран-е и удержание

доли рынка, объемов продаж конкурентной позиции на

существующих уровнях в реинвестиции в бизнес на уровне

едва достаточного минимума с целью получить краткосрочные

прибыли или максимизировать краткосрочный приток ср-в

Стратегия получения краткоср-х прибылей напр-ет усилия

пред-я по среднему пути м/д сохранением существующей

позиции и самоликвидацией Послед-ть реал-ции стратегии

оборот-е ср-ва сокращ-ся до миним-го уровня,предприн-ся

жесткие шаги по снижению издержек,кап вложения в новое

оборуд-е сокраш-ся.цена на прод-цию нсзнач-но повыш-ся

при одловрсм-м сокращении издержек на продвижение

товаров Цсль-максимизир-ть поступление ср-в засчет

краткосроч-х нсточ-ков и исп-ть их д/пр-ва др товалов в

процессе диверсификации

2 Пред-е,имеющее сильную конкурент-ю позицию

Каждое мред-е стрем-ся улучшить свою конкур-ю позицию

используя методы а)Поиск незанятой ниши-пред-е м искатьъ

своих потреб-лей и культивир-ть д/них особую политику,

кот-ю обходят стороной конкуренты б)Приспособлсние к

конкретной группе потреб-лей В этом случае усилил

напр-ся не т на поиск неск-х тщательно отобранных сегментов

рынка по схеме "товар-потребитель" Упор делается на тех обл-х

рынка,гдс пред-е имеет или м развивать спец виды дсят-ти,

кот-е были бы высоко оценены потреб-ми в)Создание лучшего

товара Н найти такое сочетание стратегий дифференциации

и сегментир-я,кот-е позволило бы создать товар высокого кач-ва

д/комкрет группы покуп-лей г)Следование за лидером Т к фирма

не претендует на переманивание покуп-лсй у лидирующих пред-й

и захват большей доли рынка,осн-е внимание в анализе удел-ся

исп-ю внутр pec-сов и упр-го опыта с целью имитации дей-я

лидеров,кот-я не вызывает агрессивн ответной реакции со '

стороны конкурентов д)3ахват небольших фирм-агрессивная

политика роста за счет своих мелких конкурснтов-трсбуст

выявления путей прямого поглащения небольших фирм д/орг-ции пр-ва

с более конкурентоспособ-м масшабом

или увеличения объема продаж за счет ослабления конкурентов

е)Созданнс отлнчит-го имиджа Направлено на развитие

преимуществ стратегии дифференциации прод-цнн путем

создания у потреб-лей хорошо запоминающегося привлск-го

образа пред-я

Методы расчета коэфф-та эффскт-ти ннв-ций.

Соврем-е показ-ли эффект-ти проекта основаны на учете

стоим-ти фин ресурсов во времени,кот-я опр-ся нормой

дисконта Значение нормы дисконта численно равно

цене капитала(в пост иснс)д/инвсстора(НДбаз )в случае,

если соблюд-ся след. условия!)обычн степень риска

пректа2)расчет пр-ся в пост или текущих ценах

При изменении структуры фин-я по интервалам планир-я

норма дисконта также меняется Если риск реал-ции

рассмотр-го проекта отлич-ся от типич-х проектов инвестора и н норму

дисконта включить премию на риск

НДриск=НДбаз +премия на риск

При расчете в прогноз-х,тскущих ценах

НДпрогн =НДриск+Велич инфляции(1)+НДриск*1

При расчете показ-лей эфф-ти дснеж-й поток шага 1прив-ся

к нач (базов ) моменту времени ч/з перемножение на коэф-т

дисконтирования Д/года t Кдисконт-я при пост норме дисконта

имеет вид Кд=1/(1+НД)Аt

Кд д/года t при изменяющ-ся по годам норме дисконта Кд=1,прн t=0

кд=1/П(1+НД),при t>0

Эффскт-ть инв проекта опр-ся на основе сопоставл-я притоков

и оттоков дсн ср-в, связ-х с его рсал-цией Оценка эффект-ти

инв проекта, а также сравнение проектов м/д собой осущ-ся

при помощи след.показ-лей

1 )ЧДД-сумма текущих эффектов за весь расчет период,

привсд-я к начальному интервалу планиров-я

При пост норме дисконта ЧДД=Сумма(Рt-3t)/(1+НД)д б >0

2)ВНД-та норма дисконта при кот дисконтные потоки денеж-x ср-ваднсконтным оттокам,или ЧДД=0 Если ВНД>НД,проект эффективен

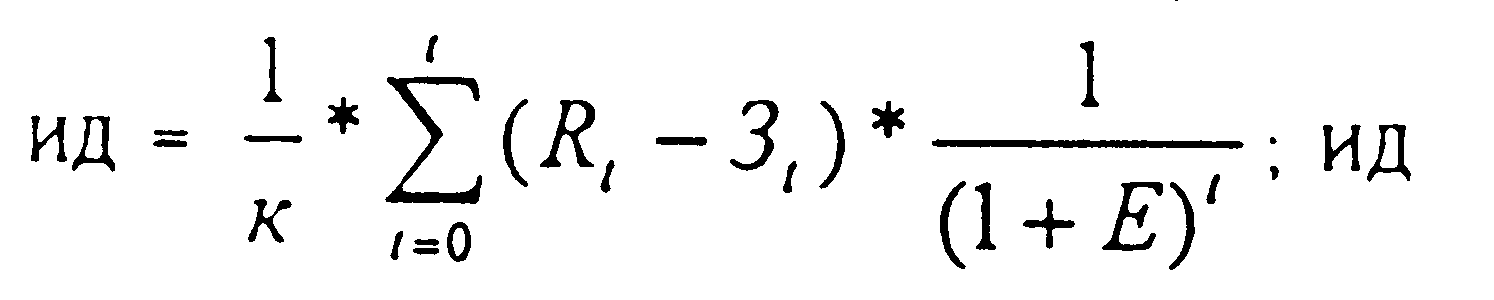
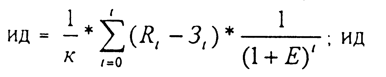
3)ИД-отношенне суммы приведенных эфектов от текущей дсят-ти по проекту к первонач капиталовложениям ИД=ЧДД/К,дб>1

4)Ток -миним-й интервал от начала осущ-я проски, зa пpe-дспами кот-го интсграль-й эффект стан-ся и ост-ся неотриц Показатели эффскт-ти подлежат расчету для 1) иивсстир-я проекта в цслом2) конкрст участ-коп проекта


Гос.программа стимул-я отеч-х и ин.инв-й в эк-ку России.

Д/стимул-я использ-я в инв-х целях собств.ср-в пред-тий
(аморт.отч.)в 1994г.было принято Постан-е Прав-ва "Об исп-и
мех-ма ускор.аморт-ции".Малым пред-ям в 1-й год м.списывать
дополн.Ао до 50% первонач.стоим-ти ОФ со сроком службы>3лст.
Мобилизации ср-в будет способ-ть 3-н"О фин-во пром-х группах".
Он прсдусм-ст поддержку ФПГ из бд.Повыш-е эффект-ти
исп-я бд-х ср-в состоит в создании спец.гос орг-иий(Госинкорпа-я)
Корпорацией б разраб-на спец схема предост-я целевых инв-х
кредитов под небольш.%.Фин-е проектов осущ-ся ч/з уполномоч-е
инв-е банки Позже б отдано предпочтение конкурсному отбору
проектов. Доля уч -я регион.бд. не>10% от общ .объсма капитало­
вложений. Мин-во эк-ки разраб-ло план по привлеч-ю инв-иий
в эк-ку регионов РФ. Особое место занимает размещение
мест.займов:был создан Всеросс банк развития регионов.
Прав-во опр-ет важность создания спец.инв.банков.Спец.
распоряжением предусм-но привлечение ср-в ком.банков
под гарантии Минфина д/фин-я задолж-ти по гос.инв-ям.
Мобилизация ср-в нас-я осущ-ся в след.формах:1)жилищ.
сиртнфикаты 2)облигации и займы 3)образ-е паевых инв-х
фондов 4)страхов-е вкладов 5)фонд защиты прав вкладчиков.
Привлечение иностр.инв-ций в эк-ку Р. сталк-ся с проблемами
политич.и эк-й нестаб-ти.Доля их инв.в Р.-1,8%(д.б. 10%).
Привлечение ср-в ин.инв-инй способ-ют реконструкции ОФ
в машиностроении,энергетике,перераб.отраслях,улуч-ю
кач-ва,развитию НТП и т.д.Осн.напр-с норматив-й деят-ти
Прав-ва-содей-е улучшенн. инв-го климата в стране.
Д/этого при Прав-ве создан консультац-й совет с зап.раб-ми,
ваступ-х в кач-ве стратегич-х инвесторов. Нормат.база:
3-н"0б ин.инв-ях",Указ"О совсршен-ии работы с ин. инв." и др.
Осн.формы ин.инв.:1)частныс инв-е фонды2)венчурные фонды
Евр банка рекон.и развитияЗ)м/дизрюправит-е орг-и4)пром.комп.
Созд-е совместных пред-й не привело к заметному росту
участия ин.капитала в обновлении эк-ки Р.Поэтому реком-ся
шире исп-ть ин.кредиты в частн-ти в виде целевых банков-х
вкладов с покрытием кредита товарными поставками на экспорт.
1-ми уч-мн ин.инв.стали ЕБРиР.Вссмнр.банк.В 1998г.поступл-е
инв.уменьш-сь на 4.2% в т.ч.прямых на 37%,портфел-х в Зр.
Ин вложения с учетом оттока 4.2млрд.долларов.Осн.непром-е
сферы вложенпя:торгово-посред-е и фин. орг-ции;пром-е:
пишевая топливн.пром-ть.Меры гoc пол-ки в обл.ин.инв-й:

1)Указ През-та "О мерах по привлеч-ю инв-й в автомоб.пром-ть", кот предусм-ет предост-е таможенных льгот ин.инвесторам.

2)Поправки к 3-ну"0 соглашениях и разделе прод-шии"З-н позволяет пред-ть д/экспл-ции на усл.раздела прод-ции до 30% запасов пооезнюиск.Субъекты Федерации получили право совместно решать? о выделении уч-в недр д/разраб-ки на условиях соглашения о разделе прод-пии.


Подрядные торги-тендоры, как способы выбора на конкурсной основе строит, и др. opr-ций д/осуш. проекта. Существует 4 формы строит-ва: 1 )Хоз. способ(собств. силами)

2)Подрядный способ(строит заказчик в соотв-ии с договором)

3)Строит-во под ключ 4)Торги(выбор проектировщиков, подряд­чиков осуш-ся на конкурсн. основе путем проведения торгов; торги по сравнению с простыми двухсторонними договорами создают условия конкуренции м/д разл. подрядчиками и позволяют заказчику выбрать наиб, выгодного исполнителя) Формы торгов.

1)3акрытые(заказчик приглашает д/участия в торгах уже известные ему фирмы, из кот. он выбирает самую приемлимую)

2)Открытые(путем объявления в СМИ приглаш-ся учав-ть все желающие; орг-ция торгов к началу их объявления разрабатывает комплект докум-ции, где указаны основ-е идеи проведения торгов, хар-р коммерч. условий, комплект чертежей и т. д.; предварит-но рассчит-ся стоим-ть объекта. Тендер-комплект докум-ции) При объявлении торгов заказчик указ-ет дату предостав-я предложений. При подачи докум-тов в тендерный комитет д/участия в конкурсе любой участник д/подтверждсния серьезности своих намерений вносит залог 2% от суммы предложения. Если предложение отклоняется, то залог возвращается. Приведение торгов позволяет уменьшить стоим-ть объекта, снизить сроки и повысить качество


Долгосрочное Кредитование инвестиций, проекты реконструкций и

строительство предприятий.

Закон «Об и н вестиц. деят-ти в РФ. осущ-мой в форме капвложений» принят ГосДумой 15.07.98г, опр-ет правов, и эк. основы инвестиц.деят-ти, осуш-мой в форме капвлож-ий, на терр-и РФ. Глава I. Общие понятия. Глава I. Оси понятия. Инвестиции, инвестиционная деят-ть. капвлож-я (инвестиции в осн.капитал, в т.ч. з/ты на нов.строительство, расшир-я. реконструкцию и технич.перевооружение), инвестнц.проект Статья 3 Объекты капвложсний: 1)нах-ся в част., гос-ной, муницип-он и иных формах собст-ти 2)запрешастся капвлож-е в объекты,созд-е и и польз-е которых не соогв-ст законодат-ву РФ. Статья 4.Субъекты:

1)субъсктами инвдсяг-ти. осуш-мой в форме капвлож-ий. явл-ся инвесторы, заказчики, подрядчики, пользователи капвлож-ий и др.

2)инвесторами м.б. физ и юр лица. Они осщ-ют капвлож-я на терр-и РФ с использ-см собст и (или) заем.ср-в Субъекты инв дсят-ти вправе совмсшатьф-ни 2-х и более субъектов, если иное не уст-но договором. Статья 5. Деят-ть иностр.инвесторов на терр-и РФ. Регулнр-ся международными договорами РФ, ТК РФ. настоящим Фсд законом Глава II. Правовые и эк. основы инв.деят-ти Статья 6. Права инвестора. Инвесторы имеют право на:осущ-с инв.деят-ти в форме капвлож-ий; самост опр-тъ объем и направление капвлож-ий; владение, польз-е и распоряж-е объектами капвлож-ий. Статья 9. Источники фин-я капвлож-ий. Фин-е капвлож-ий осуш-ся за счет собст. и (или) прнвлеч.ср-в. Глава III. Гос-ое регул-е инв.деят-ти. Статья II. Формы и методы гос-го регул-я инв.деят-ти. осущ-мой в форме капвлож-ий 1)гос-ое регул-с инв.деят-тн ocyщ-ся органами гос-ой власти РФ и органами гос-ой власти субъектов РФ. 2)гос-ос регул-е инв.деят-ти предусм-ет: а) созл-е благопр.усл-нй д/развития инв.дсят-ти путем: совершенствов-я системы налогов, защиты интересов инвесторов, льготные усл-я польз-я землей и др. природными ресурсами; б) прямое участие гос-ва в инв.дсят-ти путем: разработки, утвержд-я и фин-я инв.проектов, осуш-их РФ совместно с иностр.государствами; размеш-с на конкурсной основе ср-в фед-го бд. Статья 13. Порядок принятия реш-й об осущ-и гос-ых капвлож-ий. 1 )реш-я об осущ-и гос.капвлож-ий принимаются органами гос.власти в соотв-и с з-вом РФ. 2)расходы на фин-е гос.капвлож-ий предусм-ся: в фсд-ом бд, в бд субъектов РФ. Глава II'. Госгарантии прав субъектов инв.деят-ти и защита капвло.ж-ий. Статья 16. Защита капвлож-ий Капвлож-я м.б. национализированы, реквизированы Глава Г/. ']ак.чюч.по.1О.жсиия. Статья 21 О npuwanuu утратившими силу не кот. законодат. актов в связи с принятием настоящего Фед-го з-на.


Методы расчета ЧДД.

ЧДД рассчит-ся как разность м/д приведенн.(дисконтир.) к моменту

начала проекта стоимостями всех дснсж-х поступл-й и издержек,

связ-х с реал-й проекта.Пусть В и С соотве-но приведенные

стоим-ти денеж.доходов п расходов по проекту.

B=B(t)/( I +r)At C=C(t)/( 1 +r)At

В(1)-прирост доходов в период t, С(1)-прирост расходов.

г-ставка дисконтир-я, отраж-я временную стоим-ть денег, t-период.

Тогда ЧДД проекта м.б. выражен формулой:

ЧДД=В-С=Сумма B(t)/(l+r)At-C(t)/(l+r)At

Т.к значит, влияние на величину ЧДД имеет норма дисконта г,

то д/оценки и анализа проекта целесообразно вычислять

зависим-ть ЧДД от нормы дисконта. Этот критерий демонстр-ет

собств-ю резуль-ть проекта в генерировании потоков наличности

и с т.зр. инициатора обладает большим по сравнению с др.

критериями весом при докозат-вс проектной целесообраз-ти.

К недостаткам критерия ЧДД относят:

1)сложность расчстов 2)отсут-е учета эффект-тн исп-я капитала

3)невозмож-ть сравнения проектов с одинак. ЧДД, но разной

капиталоемкостью 4)отс\т-е сравнит-го учета затрат 5)невоз-ть его исп-я

д/ранжирования проектов в случае ограниченности

ресурсов. ЧДД позволяет максимизировать эффект-ть инв-ций

непосрсд-но указать на эффект от проекта, обладает св-вом

ЧДД(А+В)=ЧДД(А)+ЧДД(В)

Виды н формы инвестиций.

Типы И:

1)По орг. формам:а)И проект (предполагает опр.законченный

объект И-й деят-ти и реализацию, как правило одной формы И)

б)портфельные( И в фин. вложения, вкл-ют разл. формы).

2)По объектам И-й деят-ти:а)реальные(долгосрочные и краткоср, вложение ср-в в реал-е активы.как в матер-с, так и в нематер-с. Реальные И делятся на.-И д/повышсния эффекти-ти собств. пр-ва

-И в расширение пр-ва,-И в создание нов. пр-ва,-И в несобств. пр-во, напр. гос. заказ). б)финансовые(-вложения в ЦБ,

-вложения в банк, депозиты, сертификаты.)

3)По формам собственности на И-с ресурсы(-частные И,-гос-е,

-нностр-е,-смешанные)

4)По хар-ру участия в ннвсстировании(прямые и косвенные, прямые-непосред-но в матер, объект.реальные и ннтсллект-е; косвснные-хар-ся наличием посредника,налр. фин. И) В больш-ое учебников И делятся на прямые и портфельные. В отличие от прямых, портфельные часто носят временный и спекулятивный хар-р. Прямые И имеют цель получение не только дивидендов, но и чистой предприн-й прибыли, а также выгод контроля над фирмой. Они предполагают >высокую рентаб-тъ, чем портф-е.Цель портфел-х И-получение дивидендов, лучше превышающих банков.% и достижение наиб, оптим-го риска. Способ снижения риска: покупка ЦБ (облигаций, акций).

Опцион-ЦБ даюшие инвестору право купить или продать
др. ЦБ по спец.оговоренной цене.
Управление инвест, процессом на предприятии.
Упр-е инв.деят-ю включает функции упр-я:
1)Анализ и прогнознрование2)Стратегич. текущее и операт-е
планированиеЗ)Мониторинг,контроль и регулир-е деят-ти.
Упр-е ннв.дсят-ю пред-я предполагает упр-е ннв. портфелем
пред-я(его формир-е,мониторннг,оценку,реинвестир-е и пр.),
упр-е оборот-м капиталом(краткосрочн.инв-иии и пр.)
На уровне пред-я упр-е инв. деят-ю осущ-ся в соотв-ии с
планами инв.деят-ти пред-я и включают реал-цию след-х
осн. целей: 1)Обеспечеиие высоких темпов эконом, развития
пред-я за счет эффскт-тн инв.деят-ти2)Максим-цию доходов
от инв. деят-ги.З)Миннмизацию рисков инв. деят-ти4)Обесп-е
фин.устойч-ти и платсжсспособ-ти пред-я в процессе ннв.дсят.
Управление инв-ямп на уровне пред-я включает выполнение
след.функций:1)Аналнз и прогноз развития инв. рынка2)Разр-ка
стратсгнч.направлений инв.деят-ти пред-я с учетом целевых
напр-ннн его развития и ннв.возмож-тей в части наличия
собств-х и прнвлсч-я внешних ннв.ресурсов,а также участие
в инв.проектах и целевых инв. федер.программах.З)Форм-е
инв.портфеля по критериям доход-ти,риска и лнквид-ти,
включая отбор объектов ннв-я,оценку их инв.качеств,
оптям-цню состава инв-го процссса.4)Текущее планирование
и упр-е реал-цисй конкрет-х инв-х проектов и программ в
составе инвлортфеля в т.ч. разраб-ка календарных планов
рсал-цни отд-х инв-х проектов и их бюджетов. 5)Мониторинг
и реализация конкрет-х мер регулир-я инв.деят-ти всех
ннв-х проектов, программ, и н в. портфелей. 6)Прдгот-ка решений
о своевременном закрытии неэффект-х ннв-х проектов.лродажс
отдел-х фин.инструм-тов и реинвестир-нии капитала.


Субъекты и объекты инвестиц. деят-ти. Инвестицииэто денсж. сред-ва и их эквиваленты( целевые вклады, оборот, срсд-ва, паи, доли уставного капитала пред-й, ЦБ, кредиты, займы, залоги), земля, здания, сооружения, оборуд-е.обладающее ликвид-ю, имуществ. права, оценива­емые деиеж эквивал-ми, которые вкладыв-ся в объекты предпринимав деят-тн с целью получ-я доходов в будущем. Субъект инв-ций-пред-тия, орг-ции, использующие инв-цни, кот. назыо-ся рецепиентами.

Объект инв-ций-строящиеся и реконструируемые здания, сооружения, пред-я, предназнач-е д/пр-ва нов. тов. или услуг или д/рсшения к-л задач, стоящих перед субъектом. Объекты различают по:

1)Масштабу проекта 2)Направленности проекта(соц-е, управл-е, коммерч-е) 3)Характеру и содержанию инв-го цикла 4) Хар-ру и степени участия гос-ва 5)Эффект-ти исполь-я вложения сред-в. Типы инв-ций:

1 )Капиталообразующис(опред-ся как сумма сред-в, нсобх-х д/строит-ва(расширення, реконструкции) и оснащение оборуд-ем инв. объектов, расходов на подгот-ку кап. строит-ва и прироста оборот, сред-в, нсобх-х д/норм. функционирования прсд-тий. 2)Портфсльные(помещение срсд-в в фин. активы) Инв. деят-тъ-это предпринимат-я деят-ть, осущ-емая хоз. субъектами на инв. рынке с целью получ-я дохода.

Критерии и методы оценки ннв.деят-тн.

Всякое вложение ср-в д.соотв-ть 2м принципам: 1)полное возмещение вложенной суммы2)получение такой величины прибыли,от вложения дснеж.ср-в, кот. м. компенсир-тъ неудоб-ва, связ-е с временным отказом от их использ-я. Индивид-я оценка прнемлим-ти(эффект-ти)каждого инв-го проекта осущ-ся с учетом опр. критериев,овечаюшим нсск-м принципам: 1)Учет временной ценности(стонм-ти денег). Сумма денег в реал, выраж-нии, получ-я сегодня ценится выше,то и же суммы получ.в будущем.При отборе ннв. проектов привлека­тельнее будет тот, кот. раньше начнет приносить доход. 2)Учет альтернат.издержек.При рассмотрении проекта н. учит-ть все возможные доходы,кот-е пред-с не пол учит, инвестируя данный проект.Эти косв.потери д. учит-ся,даже если проект прибыльный.3)Учет риска,связ-го с осущ-см проекта.Любой инв. проект яв-ся рисковым вложением.При отборе проектов приним-ся во вннмание.чем >риск,тем>д.б.доход-ть проекта.

4)Учет возмож-ти изменений а параметрах проекта.

5)Расчсты на основе реального поступл-я и расход-я денег,

а не бух.поводок.6)Правиль-е и последов-е отражение инф-ции

Вес расчеты делаются на основе рсал-х или номинал, величин.

Все критерии оценки и отбора инв.просков делятся на 2катсг:

а)обычныс б)дискотирующие.

Инв. проект всегда устремлен в будущее и гл.функцией влож-я в проект

денеж.ср-в яв-ся генерирование таких потоков

наличности,кот-е позволяют прогноз-тъ ннв. привлскат-ть проекта

и эффект-ть.лоэтому нас интересует динамика процесса

формнр-я потоков наличности,что обеслеч-ся исп-см дисконт-х

критериев.Численным выражением временной стоим-ти денег

служит %-я ставка(норма дисконта).

M-M(t)/(l+r)At М-буд.деньги,М(1)-сегод-е, г-%-я ставка.

При сценке проекта с помощью дисконт, критериев реальн-я

прибыль

Дисконт, критерии:

1)ЧДД=Сумма (Rt-3t)*1/(1 +Е)^t-Сумма 1/К( 1 +E)^t >0

2)ИД=ЧДД/К>1

3)ВНД=Евнутр. при кот. ЧДД=0>Е

4)Ток.

Методы оценки инв.прнвлекател-тн проекта.

Что касается инвестора то преобладающим инв.критерием будет фин.осуш-тъ проекта.Это означаст.что фин.прибыль и на совокуп.инв-й капитал и на оплачсн-й инв-й капитал достаточно высока.Но интересы сторон касаются >широких областей критериев д/принятия решений, чем критерии чистой прибыли на инв-й капитал.Хотя достаточная прибыль важна д/того чтобы проект был одобрен.ннв-иии-обычно д.б оправданы >в широком контексте,кот-и д/ннвесторов и финансистов подразумевает любую выгоду, будь то чистая прибыль или выгода не в денежной форме, получаемая нелосред-но или косвенно в рез-те имв-ций.Д/оценки инв-ций выгоды д.б. по возмож-ти в денежной форме,если лица принимающие решения,хотят использ-ть эти критерии д/утверждения проекта.Д/фнн-я проекта обычно нсп-ся разл. источники ср-в.Каждая из сторон заинтересованая в совмест-м фин-нии д. иметь свой собств-е критерии оценки,в т.ч. приемлимую миним-ю прибыль на соответ-ю долю капитала. Предприним-ль.как правило финан-ет проект частично с помощью акционерного капитала и частично с помощью заем-х ср-в.Он обычно хочет знать прибыль акц-го капитала. Однако при подготовке ТЭО обычно неизвестно как будет фин-ся проект.Помимо влияния фин-я на расчет подоход-го налога степень прибыль-ти акц-го капитала полность зависит от общей прибыль-ти совокуп-го инв-го капитала и уплач-м % по остаткам задолженности.Поэтому н. сначала опрс-ть фин. осущ-тъ Инв-го проекта в целом. Инвсстиции-долгосроч-с вложение экон-х ресурсов с целью создания и получения чистых выгод в будущем. Методы оценки инв-ций оценивают чистую прибыль по отнош-ю к инв-му капиталу.Д/оценки инв-инн н. все требуемые вложения и всю отдачу по проекту оценить на конкрет.период.Но информ-я, содержащ-ся в отчетах о чистом доходе яв-ся недостаточ-й д/этой цели и поэтому концепция дисконтнров-го потока реальных денег стала общепринятым методом оценки инв-ций. Потоки реал-х денег-поступл-е налич-ти или платежи.Осн. посылка, лежащая в основе понятия дисконт-го потока реал-х денег,состоит в том,что деньги имеют временную цену.т.к. данная сумма денег,имсющ-ся в наличие сегодня, обладает большей ценностью, чем та же сумма в будущем.Эта разница м.б. выражена как %-я ставка. Ф(о)=Ф(t)/(1+р)^t Ф(о)-текущая цена Ф(t)-цсна буд.потока реал-х денег в t-ом году р-ставка %,пост-я Методы дисконтир-я: I )ЧДД=Сумма (Rt-3t)*1/(1+E)^4-Cуммa 1/К(1+E)^t >0

2)ИД=ЧДД/К>1

3)ВНД=Евнутр. при кот. ЧДД=0>Е

4)Ток.

Срок окупаемости проекта.

Ток-это такой период, требуемый д/возмсщсния начального

капитала посредством накопленных чистых потоков реал-х

денег.гснсрировйнных проектом.Из рисунка видно, что по мере

"расцветанпроскта наступает такой период времени t* когда

дисконтируемый поток затрат весь окупается дисконтируемым потоком

доходов. Проект принимается, если если рассчитанный Ток не

превышает срока жизни проекта.

Данный критерий д. учит-ся при принятии инв.решения.

Т0.-это миним. временной интервал от начала осущ-я проекта,

за пределами кот-го интегральный эффект станов-ся и в

дальнейшем остается неотриц-м.

Onp-ся бездисконт-й и дисконт-й Ток.

Если доход распределен по годам равномерно, то Ток.

рассчит-ся делением еднновремен-х затрат на величину

годового дохода.

Если прибыль распределена неравномерно, то Ток.

рассчнт-ся подсчетом числа лет, в течение которых

инвестиция д.б. погашена кумулятивным доходом.


Стратегия п/п и способы привлечения инвестиций.

/. П/п нах-ся в кризисной ситуации. Цель: обнаружить источники кризиса и прсдлож1гть методы выхода в устойчивое конкурентное положение. Первая задача анализа - это установл-е диагноза пли определить, что лежит в основе кризисной ситуации, м.б. бизнес сохранен, что нужно изменить. Можно предложить нсск.выходов из кризиса: 1) Радикальная орг-я п/п и его позиция на рынке путем пересмотра используемых базовых стратегий. 2) Увеличение доходов За счет повышения цен и расходов на маркетинг. 3) Сниж-с издержек и всемерная экономия. 4) Сокращ-с активов. 5) Комбинирование различ. Методов. Практика п/п показывает, что указанные направления м помочь п/п выйти из кризиса, если реш-я о их реал-ин были приняты своевременно.

//. П/п. имеющее слабую конкурентную позицию. Возможны слсд.направл-я развития п/п с целью усил-я конкурентной позиции: 1) Работа с дешевой прод-ей или использование нов.методов дифференциации. 2) Сохр-е и удерж-с объемов продаж, доли рынка, рент-ти и конкурентной позиции на существующих уровнях. 3) Быстрый и полный выход из бизнеса. 4) Реинвсстир-е инвестиций в бизнес на уровне едва достаточном min с целью получ-я краткосрочной прибыли или тах-ть краткосрочный приток денежных ср-в.

///. П/п сремится занять лидирующее положение. Возм-ны следующие вар-ты: I) Поиск не занятой ниши. 2) Приспособление к кон кретной группе потребителей. 3) Созд-е лучшего товара. 4) Следов-е за лидером. 5) Захват небольших фирм. 6) Созд-е отличительного имиджа. IV. П/п - лидер отрасли. 1) Продолж-с наступательной политики.

2)Сохраненис настоящих позиций (совершенство товара).

3)Конфронтация или объединение с конкурентами.


Осн.положения по бух.учету долгосроч-х ннв-цнн. Действующая методология бухучета рассм-ет инв-ций как самост-й объект учета.В 1999г. система норматив-х правовых актов,регламснтир-х эту область учета включает в себя:

1)Федер.З-н РФ "Об инв.деят-ти,осущ-й в форме кап.вложений"

2)Положсние по ведению бухучета и бухотчст-ти.

3)Положсние по бухучету долгосроч-х инв-цлй и т.д. Инв. 3-н рассм-ет инв-ций как вложение орг-цией любого имущ-ва в объекты прсдлриним-й дсят-ти с целью получ-я прибыли или достижения иного полезного эффскта.Это позволяет различать слсд-е виды инв-ций: 1)Инв-шш в кап.вложения2)в нематер-с активыЗ)в долгосроч-с ЦБ4)в др.орг-ции.Вместе с тем нормат-с акты,регулирующие рассмотр-ю обл-ть учета включают в состав инв-ций т.псрвые три вида влохсенин.При этом кап.вложения в них поним-ся более узко и свод-ся лишь к инв-ям в кап.строит-во а также к меропри-ям по качсств-му изменению объектов осп.ср-в. Форм-с обобщенной ннф-ции об ин-ях во в необорот, активы орг-ции(оси.ср-ва,нсматер.акт,ЦБ) происходит на активном счете 08"Кап.вложения":

1)Учет кап.вложений,связанных с преобрет-ем осн.ср-в.

Рассмотр-й тип кап.вложений возникает в случае преобрстения

осн.ср-в за плату.Д/накоплсния инф-цин об этих операциях

исп-ся счет 08,субсчета 4"Прсобретснис отд-х объектов осн.ср-в"

и субсчет 5"3атраты не увеличивающие стоимость осн.ср-в"

Отражение в учете капвложений, происходит одновременно

с их возникновением и не связано со временем реальной оплаты

расходов.По общему правилу затраты.образующис капвложения

относ-ся в дебет счета 08,субсчстов 4 и 5 без учета сумм

"входящего НДС".После принятия ОС на учет и осущ-я расчетов

с контрагентами этот налог возмеш-ся за счет соотв-х фин-х

источ-ков-кредитор.задолж-ти перед бд. по НДС/текущих

произ-.х затрат,нераспред-й прибыли прошлых лет.

Если приобрст-с оборуд-е требует монтажа,то включение

его стоим-ти в состав капвложений происх-т после сборки н

прикрепления к зданню.Орг-цин осущ-с капвложения засчет

заемных ср-в д.относить к ним еще и сумму %,начнсл-х банком.

%,прсвыш-с ставку ЦБ включ-ся в состав затрат.не увелнчив-х

псрвонач. стоим-ть объекта.

2)Учет инв-ций в немате р. активы. Инв-ций в созд-с и приобрет-с ннтелл.соб-ти,науч.разр-к и др. относ-ся на счет 08,субсчет 6, сопутствующие труд.затр.-на счета 70,69,02,13,76 н др. Интелл.соб-ть в отличие от НИОКР яв-ся предметом патентир-я.

3)Учст инв. в долгоср.ЦБ.Учет на счете 08,субсчет 10,а затем на счете Об.субсчсиа 1и2.учит-ся вся сумма затрат инвестора. Н.обратить внимание на статью "косультыц-с услуги",включение их в стоим-ть инв-ций нередко увел-ст покупную стоим-ть ЦБ,что приводит к убытку.Объсктами долгоср.фин.вложений яв-ся акции и облигации.Акции м. приобр-ся за счет полной или частичной оплаты.При частич.оплате затр.включ-ся в соста инв-ций т. после получения инвестором всех прав на объект инв-цнй.Осн.фин.нстчник инв-ций в долгоср ЦБ-фонд накопления

Бизнес-план.

БП-это плановый документ, раскрывающий особенности

продукта,тов,услуги, кот-е пред-е предполагает выпустить

на рынок, особенности самого прсд-я и основной замысел

инв. проекта д/обеслечения выпуска предполагаемой

продукции и осн. показатели этого проекта, включая дснсж-е

потоки пред-я на период реал-цни проекта.

БП явл-ся докум-м, обоснов-шим необход-ть инв-го проекта,

он служит д/потенц-го инвестора информ-м матср-лом о

целесообразности участия в инвестировании пред-я.

БП м. разделить на 3 категории:

1 )Краткнй-10 стр, без приложений.

2)Полный-10-40стр. без приложений, д. освещать все аспекты деят-тн фирмы и и. д/привлечения финанснр-я в больш. размер.

3)Опсрационный-свыше 40стр.

Структура и содержание БП:

Резюме. Раздел пред-ет собой краткий обзор БП и явл-ся

наиб, важным из разделов. Он содержит: осн. идею проекта,

стадии развития проекта, структуру управл-я пред-ем, рынок

сбыта, конкуренотоспособ-ть про-ции, фин. прогноз.

М.б. написан либо в тезисах, либо в развернутом виде.

Глава 1.Описание пред-я. Содержит: название пред-я, юр. статус,

цели, структуру, стадию развития, фин. состояние, товар(услугу).

Глава 2.Анализ отрасли.Дается анализ текущего сост-я дел

в отрасли, тенденции развития, осн. конкур-ты, геогр. полож. и др.

Глава 3.Описание продукции или услуги.Н. дать описание

продукции, кот. будет предложена на рынок. Н. акцент-ть г+",кот-е

данная прод-ция несет покуп-лю, особен-ти прод-ции.

Глава 4.Анализ рынка. Хар-ка рынка: доля пред-я, тенденции

развития, хар-ка потреб-лей, конкур-ть прсд-я.

Глава З.Производственн. план. Хар-ка лр-ва, описание технолог.

процесса,персонала.

Глава 6. Организац-й план. Структура упр-я и се хар-ка.

Глава 7. Анализ рисков.

Глава 8. Финанс. план. Явл-ся важнейшей частью БП. Состав-ся

на 3-5лст. Содержит: 1 )Отчет о прибылях и убытках.(за первый

г«щ докум-т д. б. разбит на месяцы или кварталы.) 2)Отчст о

движении денеж. ср-в(отражаст фактич. движение ср-в, содержит сальдо

накопл.дсмег, величину прибыли. 3)Балансовый отчет

(показывает насколько устойчиво фин. положение пред-я).


Планирование и учет с/с строит, работ.

Любой строит, объект имеет стоим-ть строит, прод-цин. При

формнр-нии цены у ч авс-ют проектировщик, заказчик, подрядчик.

До 1991 г. были тарифы в пост, ценах на с/с строит-ва, а сейчас:

-формир-е свобод, договор-х цен;-обсспеч-с набора нормативов

при самост-ти субъектов инвест. деят-ти;-опред-е с/с строит-ва при

разл. этапах инвест, цикла.

Методы опреде-я с/с:

(.Ресурсный, калькулирование с/с в текущих ценах и тарифах и

составление калькуляции.

2.Ресурсно-нндексный:сочетанне ресурсного и системы индексов.

3.Базисно-индсксный: система текущих и прогнозных индексов по отношению к базисному уровню.

4.Базисно-компенсашюнный:суммировние стоим-ти базисных цен

и удорожания ресурсов.

Структура сметной с/с стронт-ва: опред-ся по элементам:-строит.

работы.-монтаж оборуд-я,-вспомогат. затр;-прочие затр.

Смет. с/с=ПЗ(прямые затр.)+НР(наклад.расх)+ПН(план.накопл.)

ПЗ включает: з/п раб, стоим-ть матср-ов,экспл-цию машин.

1)з/п раб.:3=Т*Зфакт. мес./1

Т-норма трудосмк-ти; Зфакт. мес.-факт. з/п на 1 раб.;1-сред,мес.кол-во

раб. мсст.ИЛИ:3=Т(Зфакт.мес./t*Крайон.*Кпрочих выплат)

2)затр. на экспл-цию машшгЗ=а+з+б+э+с+г+р+п а-амортпзацня; з-з/п; б-замена быстро из наш-ся деталей; э-энсрго-носптслсГг. с-смазоч. матср-ов; г-гндравл. жидкости; р-ремонт; п-перебазированис машин.

3)стоим-тъ матер, pec-сов опред-ся исходя нз данных и норматив, потреб-ти в мат рее. и соответ-х цен на них. НР-админнстр. хоз. работы; командиров-е; з/п ИТР и т. д. М прим-ся курупнсн. нормы напр, д/пром-ти 102% от ФОТ ПН опред-ся в зависимости от объекта по договор, цене.


Временное полож-с о фин-и и кредитоп-и кап строительства в РФ.

—принято 21.03.94г. за Х«220, в кот. Опр-ся порядок фин-я гос-ой ннвестиц. программы (выбор приоритетов, форм-е перечня строек и объектов, сооружаемых для гос-ых нужд, взаимоотношения с заказчиками, процедуры открытия фнн-я из бд, в т.ч. на возвратном основе под залог имуш-ва рецепиентов; особ-ти смешанного финансирования).Спец.раздел постановления посвящен расчетам в капстроитсльстве. Ранее было распространено письмо Минфина РФ от 17.07.92г. за №56 «О порядке предоставления гос-ых кредитов на инвсстианужды п/п-иноссторам».

Акционирование как метод инвестирования.
В нашей стране ЦБ включаютакции,облигации,векселя,
казначейск. обяз-ва гос-ва,сберсгат. сертификаты и др.
Оборот ЦБ и сост-ет собственно фин.рынок.Он существенно
расширяет возмож-ти привлечения своб.денсж.ср-в д/инвсст-я.
Выпуск ЦБ д.способ-тъ мобилизации ср-в пред-я д/осущ-я
крупных инв-ций,смягчить послед-я уменьш-я объемов бд-го
и ликвидации ведомственного финан-я.В структуре источ-ков
фин-я инв-ций умсньш-ся доля долгосроч-х кредитов банков в
связи с ростом ставки %.Поэтому методом внешнего фин-я
мне.программ пред-тий стан-ся эмиссия денег.Этот процесс
заключ-ся в замещении банков-го кредита рыноч-ми долговыми
обяз-вами.Сущ-ет 2 группы ЦБ: 1 )опосредствующне отношения
совладения-акции2)отношення долгосроч-го займа-облигации,
простые и переводные векссля.банковскне акцепты,депозиты,
сертиф-ты и т.д. У частником рынка ЦБ д. стать инв-й институт(кот.
как юр.лицо созд-ся в любой орг-но-правовой форме.Учрсди-ми
инв-х институтов м.б. граждане и юр.лица.На рынке ЦБ в кач-ве
инв-х институтов м. выступать банки.Инв.институт м. осущ-ть
свою деят-ть на рынке ЦБ в качсстве:посредника(фин.брокера),
инв-го консультанта,инв.компании,мни.фонда.В функции инв.
компании входят: 1 )орг-ция выпуска ЦБ и выдача гарантии
по их размещению в пользу 3-их лиц.2)вложение ср-в в ЦБ
3)купля-продажа ЦБ от своего имени и за свой счет.
Инв.компании образуют свои фин.ресурсы т.засчет собств.ср-в и
эмиссии ЦБ.продавшнхся юр.лицам.Сред-ва физ.лиц не
учав-ют в формир-нии денсж.рес-х инв-х компаний.
Инв.фонд вправе привлекать дснеж.ср-ва населения,что
значит-но увелич-ст велич-ну его активов,а также обеспеч-ет
защиту населения от инфляции:


Основные показатели эффект-ти проектов. Инвсстир-е иред-ет предприним-ю деят-ть, следов-но вложение инв-ций д. принести опр. эффект, жто м.б. увелич. объема продаж, качества, прибыли, освоение нов. прод.дюв. рынков, снижение с/с улучшение эколог, обстановки.

Эффективн-ть м. б. -коммсрч-я(рост прибыли), -бюджстная(рост платежей в бюджет). Эффективность опред-ся показат-ми: 1.ЧДД=Сумма(Rt-3t)1/(1+Е)^1- (Kt/(l+E)^t t-шаг расчета (мес.,год) д/1-го года шаг 1мес, д/2-го квартал, л/последних год.

Т-горизонт расчета(срок жизни оборудован ия)д/остал-х периодов опрс-ют ликвндац-ю стоим-гь с учсто дисконтпр-я, кот пычит-ся из ЧДД.

Rt-фин. рез-ты после уплаты налогов.

31-текущие затр. на рсализ-цию проекта,если эти затр. не включены, то их вычитают с учетом дисконтнр-я. Дисконтирование-приведение текущей стоим-ти будущих фин. рез-тов к настоящей стоим-ти. Ро-сумма в банке, то % на нее:

простой: Рn=Ро(1+пг); сложный: Рn=Ро(1+г)^n,где .r-%,n-кол-во периодов, Ро-текущая стоим-ть будущих поступлений. Коэфф-тдисконтир-я-1/(1+Е)^t Ставка дисконтир-я опред-ся исходя из условий:

1)Сгавка рефинанснр-я ЦБ( под какой % ЦБ дает кредиты комм-м)

2)Уровень инфляции( в 2000г. 18% )

3)Уровень риска инвестора(3%-если простое наращивание пр-ва. 7%-сгарые тов. на нов. рынок, 15%-нов. тов. на нов. рынок, 20%-инвестиции в исследования) ЧДД>0, проект выгоден, ЧДД

2. ВИД пред-ет собой норму дисконта при которой величина приведенных эффектов=прнведенным капиталовложениям, или ту норму, при кот. ЧДД=0. Нельзя брать кредит под %>ВНД

3.ИД пред-ет собой отношение суммь; приведенных эффектов к величине кап.вложений. Д.б.>1. ИД=1/К*Сумма(Rt-3t)*1/(1+Е)^1

4.Срок окупаемости-это минимальный временной интервал,

от начала осуществления проекта за пределами которого

интегральный эффект становится и в дальнейшем остается

неотрицательным.

Если денежные поступления ежегодны и = по величине:

Tok.=l/R, I-инвестиции, R-поступления.

Если прибыль поступает неравномерно, то Ток. рассчитыв-ся

подсчетом числа лет, в течение которых инвестиции будут

погашены кумулятивным доходом.


Источники финансир-я АО.

Акц-е финансир-е пред-ст собой форму получ-я дополн, инв.ресурсов путем эмиссии ЦБ Эта форма пред-ет замену инв-го кредита рыноч-ми долговыми обяз-ми.что сказ-ся на структуре и цене капиталамивестнрованного в проект в сторону их оптимизации. Акц-е финансир-с включает формы: 1)Дополнит-я эмиссия ЦБ под конкрет-й инв.проект,что обеспеч-ст инвестору участие в у став и капитале пред-тии. при этом инвестор производит:а)эмиссию акций и размещение их среди заннтерссов-х инвесторов,включая гос-.\,нностр-х, и отсчест-х субъектов прсдпринимат-й дсят-тн.б)эмиссию долгов-х обязат-в в виде инв.облигаций,сертификатов в)формир-е специализ-х инв-х компаний и фондов,в т.ч. паевых в форме АО с эмиссией ЦБ и ннвестир-ем получ-х сред-в в инв.проект. Акц-е финансир-с явл-ся альтернативой кредитному финансир-ю.Акц-е фин-с-при нем инвестир-ся конкрет-я дсят-ть отрасли или пред-я и участие в устав, капитале пред-я. Корпорат-с фин-с заключ-ся в покупке ЦБ.


Програмное обсспеч-с ПЭВМ при оценке ипв.проектов.

В наст.время сущ-ст 3 наиб.раслр программы д/оцеики эффект-ти инв-х проектов:

1)Альт-инвест Пред-ет комплект взанмосвяз-х элсктр-х таблиц в среде пакета Microsoft Excel,его осн.хар-китибкость.открытость исключит-я адоптация. Естъ возмож-ть проследить логику расчетов и форм-я рез-тов из исход.данных.Расчеты м.пр-ся в моновалют, и двухвалют.режимах с учетом инфляции на внутр.рынке.Размер шага расчета не огранич-ся.

Расч-ет отчет о приб.и уб.,фин.план,показ-ли ликв-ти,платежесп-тн и ДР.Альт-инвест прим-д/оценки эффскт-ти инв.проектов. Альт-финансы-система комплексного анализа фин.сост-я пред-я.Альт-план-снстсма фин-го планир-я.Альт-прогноз.

2)Project Expert 5 for professional Windows. Позволяет построить
деталь-ю фин.модель,дей-го в усл-ях рынка пред-я с целью:
-разраб-ки дст.плана фин.развития пред-я;-раз-ки бд.прсд-я и
схемы фин-я;-разраб-ка инв.проекта и бизнсс-илана;-контоль
реализации;-разр-ка проекта эмиссии акций. '
Система закрытая,это облегчает работ)',но огранич-ет оозм-ть
прсктного анализа.М.осущ-ть оценку эффскт-тн проектов от 1мес.
до 50лстс возм-ю помесяч-го прогноза инфляции.М.исп-ть
до 10000 тов.н услуг.Расчет осуш-ся раздельно д/внсш. и
внутр.рынков.Разр-ся детальн.инв.план.

3)ТЭО-инвсст рсал-ся в Excel Открытые и прозрачн.схемы фин-х расчетов.Позв-ет шаг расчета 1мес,псп-ся 2валюты.учнт-ся ннфл. изменение ставок крсдитз,переоценка ОФ,м.уч-ть 15вплов прод. Предусм-ны разл.методы форм-я инв.проектов. Иностр.программы:

1)COMFAR(Computcr model for Feasibility Analysis and Reporting) Прошел м/днар.серт-цию,оцснка эфф-ти пр-ся на основе имитации потока реал-х денег.Имеется блок оценки эк.эфф-ти.снстема выдает больш.кол-во графиков,позв-х получить без допол-х затрат времени рсз-ты расчетов при варьир-хся данных."-"-нсоотв-е налогов.блока росс, налогам ;-год-шаг расчета;-трудн.учет пнфл.

2)PROSPI(Project profit screening and appraisal informational system) Создан на основе эл.таблиц и пред-чен д/форм-я инв.проекта. Отчет пред-ет законч-ю фин.хар-ку проекта с учетом заданных ограничений(по числу рес.по сроку инв-цнй),но пакет м.служить лишь д/быстрого просмотра разл.вариантов д/выявл-я тех, кот-е будут пригодны в будущем рассмотрении.

Гос.поддержка инв-й деят-ти.

Гос-во принимает на себя большую часть фим-я инв-х проектов развития произв-й и соц-й инфраструктуры.В наст.врсмя гос-во направляет до 80% инв-х ресурсов,цснтралнзованных в Федер. бд на удовлетв-е неотложных потрсб-тсй соц.сфсры, жилищного и мунииип-го строит-ва, здровоохранення. культ, и науки. Оставш-ся 20% централиз-х инв-х ресурсов исп-ся на стимулир-е частных отечеств-х и иностр-х инв-ций в произ-й сфере. Важным источ-м фим-я эк-ки яв-ся ср-ва фсдер.бд и внебд-х фондов.Д/улучшения эк.сит-ции желательно довести долю гос.инв-ций до 3% от ВВП из кот-х на развитие соц.сферы будет напр-ся 60-70%,а пр-й сферы 30-40%.Без ср-в Фсдер.бд. невозможно эффект-с развитие отраслей соц-го комплекса, а также жизненно важных отраслей произв-й сферы. Гос.регулир-е инв-й деят-ти,гос. поддержка инв-х проектов осущ-ся путем направления фин.ресурсов на выполнение федер.целевых программ и на др. федер.гос. нужды.Бд-е фин-е инв-х проектов осущ-ся в формах: 1)Фин.поддержка высокоэффект-х инв-х проектов на условиях размещения выделенных бд-х ср-в на конкурсной основе. 2) Центр ал изо в-с фин-е федер.инв-х программ. Принципиально новой особенн-ю инв.политики последнего времени яв-ся переход от распределения бд-х ассигнований на кап.строит-во м/д отраслями и регионами к избират-му частичному фин-ю конкрет-х ннв-х проектов на конкурсной основе.Приоритет-м напр-ем д/кот. н. господдержка в реал-ции инв-х проектов за счет ср-в федер.бд. опр-ся Министер-м эк-ки, фин-сов и др. федер.орг.власти.Опред-е конкрет-го состава инв-х проектов д/гос.поддержки осущ-ся в неск.этапов: 1)отбор строек и объектов д/включения в перечень д/федер. гос.нужд в соотв-ии с гос.инв-й программой с привлечением ср-в гос.бд,предоставлясмых на безвозвратн.или возврати, основе пр-ся на конкурсн.основе.

Основы методологии управл-я инв. процессами.

Упр-с проектами-исксство рук-ва и координации людских и матср-х ресурсов на протяжении жизненного цикла проекта путем применения системы соврем-х методов техники упр-я д/достижения опр-х в проекте рез-тов по составу и объему работ стоим-ти,времени,кач-ву и удовлетв-ю участников проекта. Крупнейшая мсждунар. орг-я в обл-ти упр-я проектами: м/днар. ассоц-я упр-я просктами(IРМА).С1997г.сущ-ст Россий-я ассоцц-я упр-я проектами (СОВМЕТ).яв-ся членом IPMA. Методы упр-я проектами позволяют: 1)опр-тъ цели проекта и провести его обоснование2)выявитъ структуру проскта(подцсли, осн.этапы раб.3)опр-ть нсобх.объем и источ-ки фин-я4)подобрать исполнителей ч/з торги и конкурсы5)подгот-ть и заключить контра-кты6)опр-ть сроки выпол-я проекта, сост-ть график его реал-ции 7)рассчитать смету и бюджет проскта8)планировать и учнт-ть риски9)обеспсчить контроль за ходом выпол-я проекта. Упр-с инв-ми проектами-это дсят-ть по планир-ю, орг-ции, коорд-ции,мотиваиии и контролю на протяжении жизненного цикла проекта путем применения системы совр.методов и техники упр-я,кот-я имеет цель обесп-ть нанб.эффект-ю рсал-цию в инв.проекте рез-тов по составу и объему работ,стоим-ти,кач-ву и удовл-ти уч-ков инв. проекта. Схемы упр-я проектами:

1)Осн.система:Рук-ль проекта-представитель заказчика фин. отв-ти

за принятие решения не несет им м.б. любая фирма-учас-к проскта.В

этом случае рук-ль проекта отвечает за коорд-цию

и упр-е ходом разраб-кн и реал-ции проекта,в контрактных

отношениях с участ-ми проекта не состоит^кроме заказчика).

"+"-объект-ть рук-ля,"-"-риск за судьбу проекта лежит на заказчике.

2)Систсма расшнр.упр-я:Рук-ль проекта принимает ответ-ть за проект в

пределах фикснр.сметной цены.Рук-ль обесп-ст

упр-е и коорд-цию процессов проекта по соглашениям м/д

ними и ум-ми проекта в пределах фикс.цены.Им м.б.подрядная

или консалтинговая фирма.Конс.фирма упр-сг проектом,

коорд-ет поставки и работы.Риск возлаг-ся на заказчика.

3)Система мод ключ: Рук-ль проскта-проектно-строит-я фирма с кот. заказчик закд-ст контракт "под ключ" с объявл-й стоим-ю проекта.


Орган-но-правовые условия инвестир-и. Правовая база включает в себя прежде всего фсдср.законы С опр.долей условности в их составе м.выделить 4группы

1)Базовые законы непосред-но регулир-с инв-ю дсят-ть. захват-е ее оси-с принципы и вводящие осн-с понятия этой дсят-ти(3-н "О иив-й дсят-ти в РСФСРнЗ-н"Об инв-ях")

2)3аконы,правообсспсчивающис отдельные виды инв.дсят-ти (Федер.3-н"0 соглашениях и разделе продукции"3-ниОлизннгс")

3)3аконодаг-с акты,регламентир-е деят-ть фин.институтов, • аккумулир-с инв.ресурсы(Фсдер.З-ннО негос-х пенсион-х фондах")

4)3аконы,касающиеся условий осуш-я инв-инй.устан-с налоговый режим, опрсд-е орг-но-правовую форму прсд-я-получ-ля инв-ций. легитимирующие инструменты привлечения и гарантирования последних.

Др.существснным инструментом правовой базы ннв-го процесса выступают законод-е акты.регулирующне в рамках их компетенции осущ-с этого прцссса.Ими опр-ся налоговый режим, форм-ся инструменты гарантирования инв-х ресурсов.


Договорные отношения м/д участ-ми инв.дсят-ти. Договор пред-ст собой осн-й юр.акт.из кот-го возникают обязательственные правоотношения.Он явл-ся главным сред-вом рсгулир-я товарно-дснсж-х связей,опрсд-щих содержание правоотношений,прав и обязанностей его уч-ков.Деят-ть пред-й м.происх-ть т. на договорной основе, поэтому рез-ты дсят-ти опр-ся системой догов-х отнош-П. Основа догов.отнош-й-правовая опред-ть и защищенность участников догов-х отнош-нии.Договор выступает как один из видов сдслок.Сделками призн-ся дей-я граждан и юр.лиц направл-е на устан-е,изменение или прекращение гражд-х прав и обязанностей.Сделки м.б. одно-,двух- и многостор-мн. Д/заключ-я договора необходимо согласованное волеизъявление 2-хсторон (2-х сторон.сделки),3-х и более сторон(многостор-с) и 1 стороны(1 сторон-е). Договор-это соглашение двух или нсск-х лиц об устан-нии, изменении или прекращении гражд-х прав и обязанностей. Существенной явл-ся определенная "свобода выбора". Граждане и юр.лица свободны в заключении договора. Стороны м. заключать договор в кот. содсрж-ся элементы разл.договоров,прсдусм-х законом.Условия договора опр-ся по соглашению сторон,кромс случаев когда содсрж-е опр-ся законом. Договора м.б.возмсздными и безвозмездными. Осн.виды договоров на прсд-тии:1)Д.купли-прдажи2)Дпоставки 3)Д.аренды4)Д.продажи5)Д.лизинга6)Д.подряда. Порядок заключ-я Дсостоит в том,что одна из сторон напр-ет другой свое предложение о заключении Д.(оферту),а др.стор. получив офсрту.принимает предложение заключить Д(акцспт). Лицо,сделавшее предложение-оферент,лицо,прииявшее-акцептант.С момента заключ-я Д.стороны обязаны вып-ть устан-с в нем обяз-ва.При заключении Д.предприн-ли стремятся применить правовые ср-ва,гарантнр-с в той или иной степени исп-е догов-х обяз-в.Всоотв-ии с ГК РФ сущ-ют след-с способы обеспечения обяз-в:-неустойка;-залог;-поручительство;-задаток; -удержание имущ-ва должника.-банковская гарантия.

Пред посылки роста инвестиций и задачи по их стимулмпоианию.

Анализ стат.данных показывает, что м/д ростом экономики и динамикой

капвлож-пй сущ-ет прямая связь. Рост ВВП (в%) рассм-ся по формуле:

2 +1/2темпа прироста капвлож-ий. Чтобы добиться, например 5%-го

увелич-я ВВП, капвлож-я д.- вырасти на 6%. Следовательно, чтобы

продолеть кризис np-ва в России, т.е. выйти на траекторию роста ВВП,

мало еспольз-ть такой рычаг как реальные инвестиции. Точка опоры

этого рычага - институциональные преобразования, смысл кот. в созд-и

либерализации экономики.

Условия, благоприятствующие деят-ти инвесторов:

Устойчивый побудительный мотив д/собственннка создает стабильность

эк условий. Нельзя допустить, чтобы чел. рассчитывал, реализуя

инв.проект, на 1 величину прибыли получал гораздо меньшую. Гос-во

берет на себя обяз-во не ухудшать усл-я ведения хоз.дсят-ти до полной

окупаемости инв.проекта.

Роль России в мировых потоках и в накоплениях мировых ПИИ (прям.

иностр. инвестиций) пока минимальна. Страна начала привлекать ПИИ

срав-но недавно (1987г.). Более того, ни масштабы иностр. инвестиций,

ни их кач-во не отвечают ни потребностям, ни возм-ям российской

экономики. Доля ПИИ в общем объеме иностр. капвлож-ий снижается

при росте доли портфельных и прочих инвестиций, что означает рост

внеш. дол га страны.

Россия выступает в основном в качестве импортера ПИИ, т.к. ПИИ

нужны д/развития и перестройки хоз-ва. В последние годы внутр.

инвестиции постоянно сокращаются, не давая стране возм-ть встать на

путь эк.роста. Фин-ый кризис 1998г. еще больше обострил ситуацию.

С 90-х гг. наша страна не т. импортировала, но и экспортировала капитал

за рубеж по каналам ряда совместных обществ, расположенных во

многих гос-ах.

Страна проигрывает конкуренцию за ПИИ на иностр.рынках. В 1997г.

приток иностр.инвестиций составлял 6241 млн.5, а Китай - 44236,

Мексика - 12477. Незначительные масштабы привлечения иностр.

капитала в РФ обусловлены неблагоприятным инв. климатом:

политическая нестабильность, затянувшийся кризис, незавершенность

процесса и т.д. Привлекательными д/иностр.инвесторов в РФ явл-ся

добыча и переработка природных ископаемых. Вопрос о дешевизне и

высоком кач-ве российских работ не однозначен. Россия нах-ся лишь на

3-м из 4-х выделенных групп из 49 гос-в. Третья группа объед-ет страны,

где размещение капитала возм-но, но усл-я д/этого недостаточно

благоприятные.

Предполагалось, что в 98-2000гг. наступит 2-ая фаза, д/кот. м.б. типичны

большие объемы инвестиций за счет эк.роста, но этого не произошло.

Усугубил ситуацию и фин-ый кризис, хотя прямые инвестиции в ходе

кризиса пострадали значительно меньше, чем портфельные.

Важной тенденцией в обл-ти современных ПИИ явл-ся усиленное

внимание к возм-ям регулир-я таких инвестиций на многостороннем

уровне.

Cm имуп ирование:

Многие страны д/привлеч-я инвестиций используют предоставление

различного рода льгот иностранным инвесторам. Стимулировать м. либо

путем отмены или сокращения существовавших ранее огр-ий (на

участие в опр-ых сектора, производствах, регионах), либо с пом.

введения нов.стимулов.

Льготы иностр.инвесторам м. разделить на 3 группы: 1)финансовые,

2)фискальные (налоговые и таможенные льготы). Они прим-ся по отн-ю

к уже вложенным инвестициям; 3)прочие (льготы по использованию

инфраструктуры: земли, связи). Любые льготы сопряжены с потерями

д/предоставляемых их стран. Многие страны предлагают бороться не с

льготами, а с негативным эффектом их прим-я (рост упр-я льготами,

повыш-е квалиф-и кадров).

Россия в своей политике изначально отдавала предплчтенне различного

рода льготам. Сегодня число льгот на федеральном уровне сократилось,

но на региональном их довольно много. В основном это налоговые и

таможенные льготы. Однако на такие льготы нет ср-в


Упрощение и осущ-е инв. деятельности

К высшему звену упр-я, наряду с др. отн-си рсгиональ.структуры упр-я

субъектами федерации: Советы министров республик в составе России.

администрации краев, областей, автономных образований. Отраслевые

структуры упр-я выступают, в больш-вс случаев, одним из учредителе»!

АО, кот. явл-ся ср.звеном упр-я.

В наст.врсмя эк., соц. и экологич. политика на местах осущ-ся вне связи

с пойти ко и фед-го прав-ва. Практически региональные органы упр-я

осущ-ют все ф-ии упр-я вне связи с задачами, решаемыми фед-ми

структурами. Однако возм»ти реал-и в.регионах orp-ны действующим

бд. налогами, кредитной и фин-ой системами.

Принципиально новое в объекте упр-я регионов - многосскторная собст-

ть. Наряду с гос-ым сектором созданы и продолжают расширятся

сектора частной, коллективной и совместной собст-тн Создано большое

кол-во произв. АО, холдингов, трастовых компаний, концернов В

послевоенное время появл-ся ФПГ (фин.-пром. группы) Они орг-ют

свою деят-ть в принципах ОАО. В ФПГ сосредотачиваются усилия

пром.п/п, банков, торг.домов, строит, и транспортных орг-нй

Притягательность объсд-я д/прсд-я осн.звена закл-ся в том, что объсд-я

позволяют обеспечить сохранность сложившихся связей по поставкам

сырья, рсал-и гот.прод-и, проводить согласованную нив.политику

В произв.сфере происходит комплексное совершснствов-е объекта упр-

я: измсн-с структуры пр-ва за счет увслич-я пр-ва тов-в народного

потребления, развития сферы услуг, дсконцентрацня пр-ва Наряду с

этим интенсивно идет процесс форм-я рыночной инфраструктуры в

регионах: коммерч.банки, биржы, страх.компании.

В усл-ях рыноч.отн-ий региональные объекты упр-я преобраз-ся самост-

ые и взаимосвяз-ые (технически и экономически) конгломераты произв-

ых, коммунальных и культурных комплексов.

Отраслевой орган федерации осущ-ст упр-с структурами ср.звена,

имеющими гос-ую долю собст-ти в уставном капитале, путем

назначения лиц в Советы директоров.

Местное самоупр-с в России обсспеч-ет самост.рсш-с нассл-я вопросов

местного значения: владения, поьз-я и распоряжения

муниц. собственностью.

Региональные органы упр-я воздействуют на произв.систему их

территорий всеми имеющимися методами упр-я.

Банк России предоставляет централизованные кредиты Прав-ву (на

пополнение обор.ср-в п/п, фнн-с правительственной

ннв.программы).Эти I составляли 20-30%.

Нссовсрш-во рыночных отн-ий в соврем.экономике РФ (мощный

налоговый пресс, высокие ставки % за кредит, отсут-е свободного

перелива капитала м/д отраслями народного хоз-ва) мешают

возрождению многих отраслей пром-ти и произв.инфраструктуры.

Дефицитность бд РФ и региональных бд субъектов РФ не позволяет в

этой ситуации ск.-ннбудь значительно протекционировать даже самые

престижные отрасли народного хоз-ва.

Упр-с произв.объединениями, п/п, фирмой складываются из рсал-и упр-я

деят-ти по нсск.направлениям.

Власти на местах — управы, администрации регионов осущ-ют в cou-у ю

сферу. На п/п выполн-ся большой объем управленческой работы.

заполняются все ф-ии (план-е, орг-я, регул-е, стимул-е, контроль).


Процессы кругооборота инвестиций в рыночном хозяйстве. Состояние инвестиционного рынка и его сегментов хар-ся такими показателями как спрос, предложение, цена, конкуренция. Т.к. инвестиционный рынок нах-ся-на этапе становления, то эти показатели постоянно меняются. Как и для всякого рынка, для сегментов инвестиционного рынка хар-ны 4 осн. стадии его развития:1.Подъем; 2 Бум; 3.Период стабильности; 4.Спад. Следует отметить, что для различных рынков в составе инвестиционного эти стадии не одинаковы, что даст возм-тъ переливания инвестиционного капитала из объектов рынка на спале в объекты рынка на подъеме. Кроме того, в рамках одного рынка, например, акций может иметься различная конъюнктура. На инвестиционном рынке, с од. ст., выступают деньги, с др., -нуждающийся в обновлении производственного потенциал. СХЕМА КРУГООБОРОТА ИНВЕСТИЦИЙ:

инвесторы

получатели

инвестирование



Отеч и зарубежные фин. институьы

Действующие гос предприятия



Отеч. и зарубежные част, инвесторы


Получение max дох-ти


Провед-е модерниз-и пр-ва


Получ-е первонач капитала


Вновь создаваемы с гос. пред-я

Частные пред-я


Завоев-е рынков сбыта


SS

интересов


Увелич-с оборота капитала


Повыш-е эффск-ти экономики


Регулир-е инвестиц. процесса


Рсал-я соц.-ориентиров анных проектов



Государство


На практике кроме осн. участников м.б. задействованы десятки посредников, т.е. заинтересованные лица, юр. и физ., от них зав-иг объем заключения, а в ряде случаев эффективность союза инвестора и получателя. Гл. участники инвестиционного процесса - это гос-во, различ. п/п или компании и част.лица,

1. Государство: любому уровню гос.власти нужны опр.Г денег. Возм-ен выпуск облигаций. Др. источником спроса на деньги м.б. текущие нужды гос-ва. Возм-сн выпуск краткосрочных облипший. В целом, гос-во - это чистый потребитель дсн.ср-в (оно использует больше, чем дает).

2. Предприятия. Большинство п/п, нсзав-мо от их типа, нуждаются в крупных ср-ах для поддержания их деят-ти. Их потреб-ти делятся на долгосрочные (модернизация) и краткосрочные (увелич-е оборота капитала).

3. Частные лица м. поставлять инвестиционному процессу деньги различ. способами. Спрос частных лиц на дсн.ср-ва принимает, гл.образом, форму займов для фин-я покупки имуш-ва, жилых домов, автомобилей. Част.лица - частные поставщики денег, т.е. они дают инвестиционному процессу больше, чем берут.


Особенности инвестиционной деятельности зa рубежом. Во всех развитых странах, начиная с сер.60х гг., рост инвестиции опережал рост прибылей. Стремление компенсировать падение прибылей, не допустить уменьш-я выплат дивидендов, а также снизить риски привело к сокращ-ю использования технических нововведений. Это проявилось в сниж-и эффскт-ти традиц. технологий, замедлении роста технич.параметров и продолжалось до тех пор, пока не сработали ценовые рыночные мех-мы и не разрушился послевоенный кризис, корпорации были вынуждены искать нов.реш-я.

Начало выхода из инвестиц.застоя запаздывало по срав. со сроками выхода из обшсэк. кризиса. В США капиталовложения превзошли докризисный ур. лишь ч/з 5 лет. Важной чертой этого периода была модернизационная направленность инвестицийна нов.технической базе. Радикальная технологическая реконструкция заняла в США не менее 7-8 лет, в Зап.Европе этот этап затянулся до ccp.SOx гг. В тсч. Кризиса 70х гг. осн.усилия по преодолению инвестиц. застоя предпринимались исследовательскими подразделениями самих корпораций. Именно они осуш-ли поиск базисных нововведений в перспективных направлениях (автоматиз-я, электроника, лазер.техника). В этот период роль гос-ва состояла не в том, чтобы вытаскивать нерентабельные пр-ва, а в том, чтобы оздаравливать фин.ситуацию. Гос-во как бы кредитует нововведения под будушис эффек-ыс структурные сдвиги.

В целом же, арсенал рыноч.мех-ов и гос-ой поддержки в кризисных ситуациях хорошо известен: приостановка инфляции, удешевл-с кредита, измен-е в ss налогообложения. Примечательно, что преодол-е самого масштабного инвестиц.кризиса 70х гг. завершилось налоговыми реформами.

На протяж-н всех послевоенных лет в развитых странах изменения в технологиях и ннституц. Структурах сделали периоды спадов менее продолжительными и разрушительными. Это объяс-ся тем, что повысилась маневренность фин.обеспсч-я инвестиц.процессов, как рез-т развитой кр.-дснсжной системы, возросла устойчивость хоз. структур вследствие новых информаатехнологий. Как свидетельствует опыт зарубежных стран даже на фоне замсдл-я роста цен и сниж-я % ставок за кредит спрос на кап.влож-я, как пр., продолжает падать (это наблюдалось в Польше и Литве).

В странах с рыноч. экономикой вся сфера обращ-я (и фин.сектор в особ-ти) обслуживает процесс инвестир-я, а не явл-ся конкурентом мат. пр-ву в борьбе за рес-сы.

Рыноч. и гос-ая системы настроены на координацию и зашиту интересов всех участников инвестиц.процесса. Решения о сроках, объемах, очередности капвлож-ий, страхов-и от рисков принимаются в рамках договорной координации м/д всеми участниками инвсстир-я. Это регламснтир-ся хоз.кодсксом.

В странах с большой ролью банковских источников фин-я (Япония) именно банки осуш-ют кредитный контроль над инвестиц.политикой корпорации, речь идет о развитой сети правовых институтов, регулирующих сложный комплекс взаимосвязей м/д участниками и посредниками и цвести ц. процесса.

Одной из наиболее стабильных потреб-сй явл-ся необх-ть поддерживать относительно высокий ур. жилищного строительства, которое всегда было выгодной сферой днловой активности. В кризис 90х гг. эта доля составляла 25-50%.


39 Ценные бумаги

Ценные бумаги, которые обращаются на рынке –свидетельство о том, что покупатель (инвестор) участвует в создании капитала предприятия, выпустившего ценные бумаги (эмитента).

С экономической точки зрения их можно охарактеризовать:

Ценная бумага – свидетельство участия юридического и физического лица либо в капитале акционерного общества, либо в предоставлении ссуды в форме займа.

Ценная бумага – долгосрочное обязательство эмитентов выплачивать вкладчикам ценных бумаг дивиденды от доходов. С юридической точки зрения ценные бумаги – это денежные документы предъявляемые вкладчиками для реализации имущественных прав выраженных в этих ценных бумагах.

Требования к ценным бумагам:

а). должна иметь номинальную цену;

б). должен устанавливаться срок ее обращения.

в). должен быть установлен фискальный режим: условия выплат.

Эти положения указаны в законе о выпуске ценных бумаг, а также оговорен надзор за выпуском ценных бумаг со стороны государства.

Рыночный курс зависит от нормы процента, размера выплат, срока функционирования и т.д.

Виды ценных бумаг:

а). долговые [например, облигация] (этот вид означает, что владелец данной ценной бумаги является кредитором, а не владельцем предприятия. В них твердо указано обязательство выплатить номинал долга);

б). долевые [акция] (показывает, что владелец этой ценной бумаги является владельцем или совладельцем предприятия - эмитента. На них указывается непосредственная доля держателя в реальной собственности).

По облигации в конце года выплачивается доход, который зафиксирован на ней и не зависит от экономического состояния предприятия (от ее успеха также). Этот вид ценных бумаг представляет собой наиболее нерисковый тип ценных бумаг, так как выплата по ней гарантирована. Права владельца облигации намного уже, чем у владельца акции.

Акция дает владельцу следующие права:

право посещения собраний акционеров;

право принятия управленческого решения;

право участия в распределении прибыли (доход по акции зависит от прибыли (не исключено полное отсутствие дохода)).

Однако в случае банкротства организации в I очередь удовлетворяются кредиторы организации (владельцы облигаций). После удовлетворения всех, рабочих и т.п. кредиторов удовлетворяются акционеры.

На финансовый рынок входят не только предприятия, но и государство. Ценные бумаги, которые выпускает государство:

— казначейские векселя;

— боны;

— ноты.

В Российской Федерации выпускаются следующие ценные бумаги:

государственные краткосрочные обязательства (ГКО);

облигации федерального займа (ОФЗ);

золотые сертификаты.

Финансовые рынки ценных бумаг делятся на:

первичные рынки ценных бумаг (осуществляют первичное размещение ценных бумаг;

вторичные рынки ценных бумаг.

В качестве финансовых посредников на первичных рынках ценных бумаг выступают банки и инвестиционные компании. На первичном рынке акции и облигации размещаются по эмиссионной цене (она, как правило, ниже номинала).

Вторичный рынок возникает, когда первичный владелец избавляется от облигаций и акций на фондовых биржах.


Методы расчета коэфф-та эффскт-ти ннв-ций.

Соврем-е показ-ли эффект-ти проекта основаны на учете стоим-ти фин ресурсов во времени,кот-я опр-ся нормой дисконта Значение нормы дисконта численно равно цене капитала(в пост иснс)д/инвсстора(НДбаз )в случае, если соблюд-ся след. условия!)обычн степень риска пректа2)расчет пр-ся в пост или текущих ценах При изменении структуры фин-я по интервалам планир-я норма дисконта также меняется Если риск реал-ции рассмотр-го проекта отлич-ся от типич-х проектов инвестора и н норму дисконта включить премию на риск НДриск=НДбаз +премия на риск При расчете в прогноз-х,тскущих ценах НДпрогн =НДриск+Велич инфляции(1)+НДриск*1 При расчете показ-лей эфф-ти дснеж-й поток шага 1прив-ся к нач (базов ) моменту времени ч/з перемножение на коэф-т дисконтирования Д/года t Кдисконт-я при пост норме дисконта имеет вид Кд=1/(1+НД)Аt Кд д/года t при изменяющ-ся по годам норме дисконта Кд=1,прн t=0 кд=1/П(1+НД),при t>0 Эффскт-ть инв проекта опр-ся на основе сопоставл-я притоков

и оттоков дсн ср-в, связ-х с его рсал-цией Оценка эффект-ти инв проекта, а также сравнение проектов м/д собой осущ-ся при помощи след.показ-лей

1 )ЧДД-сумма текущих эффектов за весь расчет период, привсд-я к начальному интервалу планиров-я При пост норме дисконта ЧДД=Сумма(Рt-3t)/(1+НД)д б >0

2)ВНД-та норма дисконта при кот дисконтные потоки денеж-x ср-ваднсконтным оттокам,или ЧДД=0 Если ВНД>НД,проект эффективен

3)ИД-отношенне суммы приведенных эфектов от текущей дсят-ти по проекту к первонач капиталовложениям ИД=ЧДД/К,дб>1

4)Ток -миним-й интервал от начала осущ-я проски, зa пpe-дспами кот-го интсграль-й эффект стан-ся и ост-ся неотриц Показатели эффскт-ти подлежат расчету для 1) иивсстир-я проекта в цслом2) конкрст участ-коп проекта


7 Виды н формы инвестиций.

Типы И:

1)По орг. формам:а)И проект (предполагает опр.законченный объект И-й деят-ти и реализацию, как правило одной формы И) б)портфельные( И в фин. вложения, вкл-ют разл. формы).

2)По объектам И-й деят-ти:а)реальные(долгосрочные и краткоср, вложение ср-в в реал-е активы.как в матер-с, так и в нематер-с. Реальные И делятся на.-И д/повышсния эффекти-ти собств. пр-ва -И в расширение пр-ва,-И в создание нов. пр-ва,-И в несобств. пр-во, напр. гос. заказ). б)финансовые(-вложения в ЦБ, -вложения в банк, депозиты, сертификаты.)

3)По формам собственности на И-с ресурсы(-частные И,-гос-е, -нностр-е,-смешанные)

4)По хар-ру участия в ннвсстировании(прямые и косвенные, прямые-непосред-но в матер, объект.реальные и ннтсллект-е; косвснные-хар-ся наличием посредника,налр. фин. И) В больш-ое учебников И делятся на прямые и портфельные. В отличие от прямых, портфельные часто носят временный и спекулятивный хар-р. Прямые И имеют цель получение не только дивидендов, но и чистой предприн-й прибыли, а также выгод контроля над фирмой. Они предполагают >высокую рентаб-тъ, чем портф-е.Цель портфел-х И-получение дивидендов, лучше превышающих банков.% и достижение наиб, оптим-го риска. Способ снижения риска: покупка ЦБ (облигаций, акций).

Опцион-ЦБ даюшие инвестору право купить или продать др. ЦБ по спец.оговоренной цене.


11 Понятие инвестиционного проекта

В международной практике план развития предприятия представляется в виде специальным образом оформленного бизнес-плана, который, по существу, представляет собой структурированное описание проекта развития предприятия. Если проект связан с привлечением инвестиций, то он носит название “инвестиционного проекта”. Обычно любой новый проект предприятия в той или иной мере связан с привлечением новых инвестиций. В наиболее общем понимании проект - это специальным образом оформленное предложение об изменении деятельности предприятия, преследующее определенную цель.

Проекты принято подразделять на тактические и стратегические. К числу последних обычно относятся проекты, предусматривающие изменение формы собственности (создание арендного предприятия, акционерного общества, частного предприятия, совместного предприятия и т.д.), или кардинальное изменение характера производства (выпуск новой продукции, переход к полностью автоматизированному производству, и т.п.). Тактические проекты обычно связаны с изменением объемов выпускаемой продукции, повышением качества продукции, модернизацией оборудования.

Для отечественной практики понятие проекта не является новым. Его отличительное качество прежних времен заключалось в том, что основные направления развития предприятия, как правило, определялись на вышестоящем, по отношению к предприятию, уровне управления экономикой отрасли. В новых экономических условиях предприятие в лице его собственников и высшего состава управления должно само беспокоиться о своей дальнейшей судьбе, решая самостоятельно все стратегические и тактические вопросы. Такая деятельность в области инвестиционного проектирования должна быть специальным образом организована.

Общая процедура упорядочения инвестиционной деятельности предприятия по отношению к конкретному проекту формализуется в виде так называемого проектного цикла, который имеет следующие этапы.

  1. Формулировка проекта (иногда используется термин “идентификация”). На данном этапе высший состав руководства предприятия анализирует текущее состояние предприятия и определяет наиболее приоритетные направления его дальнейшего развития. Результат данного анализа оформляется в виде некоторой бизнес идеи, которая направлена на решение наиболее важных для предприятия задач. Уже на этом этапе необходимо иметь более или менее убедительную аргументацию в отношении выполнимости этой идеи. На данном этапе может появиться несколько идей дальнейшего развития предприятия. Если все они представляются в одинаковой степени полезными и осуществимыми, то далее производится параллельная разработка нескольких инвестиционных проектов с тем, чтобы решение о наиболее приемлемых из них сделать на завершающей стадии разработки.

  2. Разработка (подготовка) проекта. После того, как бизнес идея проекта прошла свою первую проверку, необходимо развивать ее до того момента, когда можно будет принять твердое решение. Это решение может быть как положительным, так и отрицательным. На этом этапе требуется постепенное уточнение и совершенствование плана проекта во всех его измерениях - коммерческом, техническом, финансовом, экономическом, институциональном и т.д. Вопросом чрезвычайной важности на этапе разработки проекта является поиск и сбор исходной информации для решения отдельных задач проекта. Необходимо сознавать, что от степени достоверности исходной информации и умения правильно интерпретировать данные, появляющиеся в процессе проектного анализа, зависит успех реализации проекта.

  3. Экспертиза проекта. Перед началом осуществления проекта его квалифицированная экспертиза является весьма желательным этапом жизненного цикла проекта. Если финансирование проекта проводится с помощью существенной доли стратегического инвестора (кредитного или прямого), инвестор сам проведет эту экспертизу, например с помощью какой-либо авторитетной консалтинговой фирмы, предпочитая потратить некоторую сумму на этом этапе, нежели потерять большую часть своих денег в процессе выполнения проекта. Если предприятие планирует осуществление инвестиционного проекта преимущественно за счет собственных средств, то экспертиза проекта также весьма желательна для проверки правильности основных положений проекта.

  4. Осуществление проекта. Стадия осуществления охватывает реальное развитие бизнес идеи до того момента, когда проект полностью входит в эксплуатацию. Сюда входит отслеживание и анализ всех видов деятельности по мере их выполнения и контроль со стороны надзирающих органов внутри страны и/или иностранного или отечественного инвестора. Данная стадия включает также основную часть реализации проекта, задача которой, в конечном итоге, состоит в проверке достаточности денежных потоков, генерируемых проектом для покрытия исходной инвестиции и обеспечения желаемой инвесторами отдачи на вложенные деньги.

  5. Оценка результатов. Оценка результатов производится как по завершению проекта в целом, так и в процессе его выполнения. Основная цель этого вида деятельности заключается в получении реальной обратной связи между заложенными в проект идеями и степенью их фактического выполнения. Результаты подобного сравнения создают бесценный опыт разработчиков проекта, позволяя использовать его при разработке и осуществлении других проектов.


20 Основные показатели эффект-ти проектов.

Инвсстир-е иред-ет предприним-ю деят-ть, следов-но вложение инв-ций д. принести опр. эффект, жто м.б. увелич. объема продаж, качества, прибыли, освоение нов. прод.дюв. рынков, снижение с/с улучшение эколог, обстановки.

Эффективн-ть м. б. -коммсрч-я(рост прибыли), -бюджстная(рост платежей в бюджет). Эффективность опред-ся показат-ми: 1.ЧДД=Сумма(Rt-3t)1/(1+Е)^1- (Kt/(l+E)^t t-шаг расчета (мес.,год) д/1-го года шаг 1мес, д/2-го квартал, л/последних год.

Т-горизонт расчета(срок жизни оборудован ия)д/остал-х периодов опрс-ют ликвндац-ю стоим-гь с учсто дисконтпр-я, кот пычит-ся из ЧДД.

Rt-фин. рез-ты после уплаты налогов.

31-текущие затр. на рсализ-цию проекта,если эти затр. не включены, то их вычитают с учетом дисконтнр-я. Дисконтирование-приведение текущей стоим-ти будущих фин. рез-тов к настоящей стоим-ти. Ро-сумма в банке, то % на нее:

простой: Рn=Ро(1+пг); сложный: Рn=Ро(1+г)^n,где .r-%,n-кол-во периодов, Ро-текущая стоим-ть будущих поступлений. Коэфф-тдисконтир-я-1/(1+Е)^t Ставка дисконтир-я опред-ся исходя из условий:

1)Сгавка рефинанснр-я ЦБ( под какой % ЦБ дает кредиты комм-м)

2)Уровень инфляции( в 2000г. 18% )

3)Уровень риска инвестора(3%-если простое наращивание пр-ва. 7%-сгарые тов. на нов. рынок, 15%-нов. тов. на нов. рынок, 20%-инвестиции в исследования) ЧДД>0, проект выгоден, ЧДД

2. ВИД пред-ет собой норму дисконта при которой величина приведенных эффектов=прнведенным капиталовложениям, или ту норму, при кот. ЧДД=0. Нельзя брать кредит под %>ВНД

3.ИД пред-ет собой отношение суммь; приведенных эффектов к величине кап.вложений. Д.б.>1. ИД=1/К*Сумма(Rt-3t)*1/(1+Е)^1

4.Срок окупаемости-это минимальный временной интервал, от начала осуществления проекта за пределами которого интегральный эффект становится и в дальнейшем остается неотрицательным. Если денежные поступления ежегодны и = по величине: Tok.=l/R, I-инвестиции, R-поступления.

Если прибыль поступает неравномерно, то Ток. рассчитыв-ся подсчетом числа лет, в течение которых инвестиции будут погашены кумулятивным доходом.


12 Обоснование ставки дисконтирования

Одной из самых сложных и, в то же время, крайне актуальных задач, которую необходимо решать в процессе выполнения работ по обоснованию и оценке инвестиционных проектов, является задача определения ставки дисконтирования для выполнения соответствующих финансово-экономических расчетов.

К сожалению, в настоящее время в большинстве разрабатываемых российскими инициаторами или консультационными фирмами бизнес-планах очень редко уделяется серьезное внимание обоснованию выбранной ими ставке дисконтирования. Чаще всего этот коэффициент берется либо как данный “свыше” (то есть без всякого обоснования), как наиболее типичный или распространенный (в этом случае он скорее напоминает ставку дисконтирования, принятую в западных методиках инвестиционных расчетов) или определяется равным доходности одного из наиболее популярных рыночных инструментов (например, доходности по банковским депозитам или ставке по банковским кредитам). Естественно, что столь “приближенное” значение выбранного коэффициента приводит к финансово-экономическим показателям соответствующей точности. А, как правило, чувствительность расчетов к этой величине достаточно велика.

Итак, в теории инвестиционного анализа предполагается, что ставка дисконтирования должна включать минимально гарантированный уровень доходности (не зависящий от вида инвестиционных вложений), темп инфляции, и коэффициент, учитывающий степень риска конкретного инвестирования. То есть этот показатель отражает минимально допустимую отдачу на вложенный капитал (при которой инвестор предпочтет участие в проекте альтернативному вложению тех же средств в другой проект с сопоставимой степенью риска).

В общем случае предполагается взаимное влияние трех отмеченных факторов (минимальной доходности, инфляции и риска), поэтому можно предположить, что:

(1 + E) = (1+ R) (1 + I) (1 + b ),

где E — ставка дисконтирования;
R — минимально гарантированная реальная норма доходности;
I — процент инфляции;
b — рисковая поправка.

Таким образом, мы предполагаем мультипликативное влияние выбранных нами факторов для расчета ставки дисконтирования (для малых значений R, I и b можно использовать вариант простого арифметического сложения).

Попробуем использовать имеющиеся сведения по индикаторам доходности финансовых инструментов на российском рынке в конкретный момент времени для определения минимально возможной (без риска конкретного варианта инвестирования) нормы доходности капитала на российском рынке в этот момент времени, а также определения рыночной оценки риска различных финансовых инструментов по фактическим показателям. В результате наших оценок необходимо идентифицировать:

  • минимально гарантированную норму доходности в России;

  • инфляционную составляющую (в российской валюте и в виде валютной составляющей);

  • общеэкономический (страновой) риск и риск различных финансовых инструментов.

Расчеты полученных значений доходности различных финансовых инструментов за 1996 г. и 1 половину 1997 г. представлены в Таблице 2. Для каждого финансового индикатора приведено значение квартальной доходности, полученное как значение эффективной доходности месячных величин; а также доходность за период (1-й квартал, 6 и 9 месяцев года, годовое значение) нарастающим итогом, также рассчитанное методом эффективной доходности.

Далее предпринята попытка расчета доходности выбранных финансовых инструментов в постоянных ценах (т.е. очищенной от инфляционной составляющей) и выраженной в относительно стабильной денежной единице (доллар США).

Базовыми характеристиками для такого расчета служили 2 показателя: величина общей инфляции в России и валютная доходность (темп падения рубля). На основе этих двух величин рассчитывалась 3-я базовая величина — долларовая инфляция в России (т.е. российская инфляция, выраженная в долларах США) по формуле:

(1 + IR) = (1 + D$) (1 + I$), = > I$ = (1 + IR)/ (1 + D$) — 1

где

IR — рублевая инфляция в России;
D$ — темп падения рубля по отношению к доллару США;
I$ — темп долларовой инфляции в России.

Таким образом, любой финансовый индикатор доходности (AR), выраженный в рублях, пересчитывался в валютный эквивалент (A$) по формуле:

A$ = (AR +1)/(1+D$) - 1,

а затем очищался от “так называемой” долларовой инфляции:

Aп = (1+ A$)/(1+ I$) - 1,

что, впрочем, эквивалентно очищению текущей рублевой доходности (AR) от рублевой инфляции:

Aп = (1+ AR)/(1+ IR) - 1.

Полученное значение и показывает доходность данного вида инвестирования в постоянных ценах. Таким образом, этот показатель включает в себя минимально гарантированный безрисковый уровень доходности, общеэкономический (в т.ч. страновой) риск и риск конкретного варианта инвестирования (рыночную оценку этого риска).

Вначале предполагалось, что все представленные в таблице варианты вложения капитала соответствуют более низкой степени риска инвестирования, чем подлежащие оценке инвестиционные проекты, предусматривающие прямые инвестиции. Поэтому искомая нами ставка дисконтирования должна быть не ниже полученных значений. Тем не менее, ряд дополнительных поправок пришлось сделать по результатам анализа результирующих значений.

Таблица вырезана за ненадобностью

Итак, отбросив из рассмотрения ГКО и ОФЗ, а также ставку INSTAR как инструмент краткосрочного инвестирования (что тоже имеет историческое объяснение “витавшим в 1996 г. в воздухе слухом о готовящемся банковском кризисе” и значительной статистикой “лопнувших” банков, что увеличило риск по подобным вложениям), можно сделать вывод о том, что большинство рыночных инструментов в 1996 г. имели доходность в диапазоне 9-26% в постоянных ценах. (Вполне естественно, что наиболее низкое, консервативное значение соответствует государственной оценке приведения стоимости основных средств при их реализации).

На наш взгляд, из представленных вариантов наиболее надежным вариантом инвестирования капитала в 1996 г. были валютные облигации ВЭБа. Поскольку эти ценные бумаги носят долгосрочный характер, имеют статус государственных ценных бумаг (высшая категория надежности) и номинированы в долларах США (отсутствие валютного риска), доходность по данному инструменту — 12,7%, по нашему мнению, может служить индикатором минимального гарантированного уровня доходности инвестирования в российских условиях (т.е. с учетом странового риска) и поэтому может использоваться в качестве базового значения для определения ставки дисконтирования финансово-экономических показателей при расчетах в постоянных ценах. Этот вывод корреспондирует с аналогичным показателем в развитых странах (6,85% — в США, 4-8% — в развитых странах Европы).

Соответствующим ему текущим рублевым эквивалентом (читай — базой для определения ставки дисконтирования при расчетах инвестиционных проектов в текущих ценах, выраженных в рублях) является ставка в (1+0,127)*(1+0,226)-1=0,382 (38,2%). А текущий валютный эквивалент (читай — база для определения ставки дисконтирования при расчетах инвестиционных проектов в текущих ценах, выраженных в долларах США) будет соответствовать собственно доходности инструмента в его “первозданном” виде — 15,8%.

Полученные три эквивалента и есть ставка дисконтирования для безрисковых проектов, реализуемых в России в 1996 г. Безусловно, полученное значение не учитывает надбавки за риск конкретного проекта. И хотя обсуждение этого вопроса выходит за рамки данной статьи, следует отметить, что поскольку для большинства инвестиционных проектов риск превышает риск инвестирования в те рыночные инструменты, которые охарактеризованы в таблице 1, надбавка за риск должна быть не ниже 13% для расчетов в постоянных ценах, 14% — при расчетах в текущих валютных ценах и 16% при расчетах в текущих рублевых ценах.

Таким образом, в общем виде по результатам 1996 г. предполагаемая ставка дисконтирования по расчетам инвестиционных проектов в постоянных ценах не могла быть ниже 26%. В остальном степень риска конкретного инвестирования должна соотноситься с его рискованностью. В конечном итоге, принятое для расчетов значение ставки дисконтирования должно хорошо вписывается в теоретическое положение о более высокой доходности более рискованных инструментов.

Принимая во внимание погрешности по выбору возможных индикаторов доходности и проведя рассуждения, аналогичные для результатов 1996 г., получаем следующие выводы для 1 половины 1997 г.:

ь поскольку за этот период констатируется наличие отрицательного значения валютной инфляции в России (в рамках того определения, которое сделано в начале данной статьи), что фактически означает опережающий рост валютных вложений по сравнению с темпами рублевой инфляции, позволим в качестве базового значения для определения ставки дисконтирования выбрать валютный эквивалент в текущих ценах — 12,4% (для валютных облигаций ВЭБа) и его рублевый эквивалент — 21,5%. (Кстати при выборе базового индикатора, на основе значения которого строится ставка дисконтирования, следует исходить из следующего правила: стараться, по возможности, выбирать инструмент, который обеспечивает доход в той валюте, в которой предстоит выполнять финансово-экономические расчеты, дабы избежать при определении ставки дисконтирования валютного риска);

Надбавки за риск в валюте — не менее 15%, в рублях — не менее 16,5%, — примерно соответствуют аналогичным значениям за 1996 г. Именно так инвесторы оценивают необходимую долю надбавки за риск вложения в российские финансовые инструменты.

Таким образом, по результатам 1 половины 1997 г. предполагаемая ставка дисконтирования для расчетов инвестиционных проектов в постоянных ценах не должна быть ниже 20-27% (с учетом погрешности выбора базовых индикаторов).


30 Инвестиции в инновации

Главной проблемой поддержки и развития научно-технического потенциала остается проблема инвестирования средств в НИОКР. Система финансирования научно-технического развития представляет собой весьма сложный и постоянно развивающийся механизм. До 1991 г. он в основном базировался на бюджетных ассигнованиях, а также децентрализованных источниках целевого назначения, которые образовывались в структурах управления по соответствующим жестким нормативам. В 1990-1991 гг. в нашей стране начались реорганизационные мероприятия, связанные с финансированием НТП. Было отменено регламентированное распределение прибыли по фондам экономического стимулирования, ликвидировано большинство отраслевых централизованных фондов, заметно упрощена система контроля за оплатой труда, либерализованы цены. Естественно, что все эти перемены имели весьма важное значение. В настоящее время в качестве основных источников средств, используемых для финансирования инновационной деятельности выступают:

  • бюджетные ассигнования, выделяемые на федеральном и региональном уровнях;

  • средства специальных внебюджетных фондов финансирования НИОКР, которые образуются ИП, региональными органами управления;

  • собственные средства предприятий (промышленные инвестиции из прибыли и в составе издержек производства);

  • финансовые ресурсы различных типов коммерческих структур (инвестиционных компаний, коммерческих банков, страховых обществ, ФПГ и т.п.);

  • кредитные ресурсы специально уполномоченных правительством инвестиционных банков;

  • конверсионные кредиты для ИП оборонного комплекса;

  • иностранные инвестиции промышленных и коммерческих фирм и компаний;

  • средства национальных и зарубежных научных фондов;

  • частные накопления физических лиц.

В последние годы наметилась тенденция уменьшения доли бюджетных ассигнований в структуре источников инновационного финансирования при одновременном увеличении нагрузки на собственные средства предприятий

Цикличность инноваций

Несмотря на обилие работ по проблеме цикличности, до сих пор нет единой концепции по поводу причины существования этого явления.

Вопрос о причинах цикличности современных национальных экономик в зависимости от типов цикличности трактуется раз­ными экономическими школами с неодинаковой степенью рав­нозначности. Так, в оценках причин «длинных волн» и структур­ных кризисов подходы различных экономистов в настоящее вре­мя во многом схожи (по крайней мере, идеи Кондратьева и Шумпетера признаются фактически всеми). Причины же «классичес­ких», т. е. промышленных (экономических), циклов определяют­ся по-разному.

Н.Д.Кондратьев – автор теории больших циклов хозяйственной конъюнктуры. Он обосновал идею множественности циклов и разделил их на короткие (продолжительность 3 – 3,5 года), торгово-промышленные (средние) циклы (7 – 11 лет), большие циклы (48 – 55 лет).

Для обоснования больших циклов Н.Д.Кондратьев проанализировал обширный фактический материал. Были проанализированы статистические данные по четырем ведущим капиталистическим странам – Англии, Франции, Германии, США. Была исследована динамика цен, процента на капитал, заработной платы, объема внешней торговли, а также производства основных видов продукции промышленности.

После обработки полученных кривых зависимостей указанных показателей от времени по методам математической статистики обнаружены хорошо выраженные циклы экономической динамики длиной 48 - 55 лет. На подавляющем большинстве кривых эти циклы четко видны безо всякой математической обработки. Периоды колебаний и основные (верхние и нижние) точки кривых зависимостей разных показателей совпадают (±3 года).


Таблица 1.

Хронология больших циклов экономической динамики по Кондратьеву (составлена в 1925 г.).


I повышательная волна

1785-1790 по 1810-1817

I понижательная волна

1810-1817 по 1844-1851

II повышательная волна

1844-1851 по 1870-1875

II понижательная волна

1870-1875 по 1890-1896

III повышательная волна

1890-1896 по 1914-1920

III понижательная волна

1914-1920 по ?


Кондратьевым было сделано важное наблюдение относительно характера этих циклов: перед началом и в начале повышательной волны каждого длинного экономического цикла наблюдаются глубокие изменения в условиях экономической жизни общества. Эти изменения выражены в значительных изменениях в технике (чему предшествуют в свою очередь значительные технические открытия и изобретения), вовлечении в мировые экономические связи новых стран, изменении добычи золота и денежного обращения.

Хотя Кондратьевым был рассмотрен период длиной 140 лет (всего 2.5 длины волны большого цикла), он делает вывод, что наличие таких циклов весьма вероятно, и их существование не может быть объяснено случайными, привходящими величинами. По его мнению, их причины необходимо искать в особенностях, присущих капиталистической системе хозяйства.

Главную роль Кондратьев отводил научно-техническим новациям. В развитии первой повышательной волны (конец XVIII в.) решающую роль сыграли изобретения и сдвиги в текстильной промышленности и производстве чугуна. Рост в период второй волны (середина XIX в.) был обусловлен прежде всего строительством железных дорог, развитием морского транспорта. Третья повышательная волна (конец XIX – начало XX в.) была связана с изобретениями в сфере электроники и массовым внедрением электричества, радио и других новшеств.

Инновации переводят хозяйственную конъюнктуру с понижательной на повышательную тенденцию, вызывая волнообразование.

Н.Д.Кондратьев показал, что нововведения распределяются по времени неравномерно, появляясь группами, или, говоря современным языком, кластерами. Таким образом, в исследованиях Н.Д.Кондратьева впервые просматриваются основы так называемого кластерного подхода.

В многих теориях объяснение экономических колебаний сводится к техническим новшествам и совершенствованием, к вовлечению в эксплуатацию новых ресурсов и освоению новых территорий. Эта точка зрения присуща таким экономистам как Виксель, Шпитгоф, Шумпетер.

Эпохи повышенной экономической активности представляют собой периоды, на протяжение которых развитие техники и открытие новых ресурсов создают благоприятную основу для роста, и, в первую очередь, для роста инвестиций. В такие периоды темп технического прогресса намного ускоряется по сравнению с тем, что можно было бы ожидать при обычном действии многочисленных изобретений, каждое из которых имеет относительно небольшое значение. В длительные периоды экспансии вводится в действие новая, можно сказать революционная техника, которая глубоко меняет характер всей экономики. Эта техника, создаёт основу для огромного увеличения массы капитальных благ и роста инвестиций.

Как правило, банкиры и инвесторы скептически относятся к новым рискованным начинаниям, и далеко не каждый способен добиться финансовой поддержки. Но после того, как новый замысел воплотится в действующее предприятие, другим уже нетрудно доставать кредит и капитал для аналогичных предприятий. Если новый процесс успешно приведён в действие, то другие могут попросту копировать его. Каждый раз, когда появляется несколько удачных новаторов, их примеру тот час следуют другие. Таким образом движущий толчок, даваемый новатором, порождает движение последователей, привлечённых соблазном возможностей извлечения прибыли.

Бум - это явление, вызываемое движениями предпринимателей, устремляющимся к новым возможностям. Бум может усиливаться преувеличено оптимистическими ожиданиями. Сущность бума можно свести к внедрению в производственную систему нововведений.

Нарушения, возникающие из нововведений не могут рассосаться постепенно, на ходу, потому что почти все из них носят капитальный характер. Они рассматривают существующую систему и вызывают необходимость особого процесса приспособления. В период рецессии экономическая система переходит к новому состоянию равновесия, следующему за нарушениями, вызванными бумом. Если нововведения появляются одновременно и в большом количестве, то условия меняются резко, и процесс приспособления становится чрезвычайно трудным. Постепенно, однако это приспособление осуществляется, и достигается новое состояние равновесия. Период депрессии можно определить как период, на протяжении которого завершается приспособление к новой промышленной ситуации, которая создаётся в предшествующий период внедрения нововведений. Перестройка системы является неизбежной. Этот процесс и воплощает в себя сущность депрессии, и его осуществления связано с потерями, сопротивлением, крушением надежд.

Таким образом, множество нововведений, появляющихся в период процветания, является как раз тем самым фактором, который нарушает равновесие и настолько изменяет условия промышленной жизни, что после этого неизбежно наступает период перестройки цен, стоимостей и производства.

6 Инвестиционные риски

  • метод корректировки нормы дисконта;

  • метод достоверных эквивалентов (коэффициентов достоверности);

  • анализ чувствительности критериев эффективности (чистый дисконтированный доход (NPV), внутренняя норма доходности (IRR) и др.);

  • метод сценариев;

  • анализ вероятностных распределений потоков платежей;

  • деревья решений;

  • метод Монте-Карло (имитационное моделирование) и др.

Метод корректировки нормы дисконта. Достоинства этого метода — в простоте расчетов, которые могут быть выполнены с использованием даже обыкновенного калькулятора, а также в понятности и доступности. Вместе с тем метод имеет существенные недостатки.

Метод корректировки нормы дисконта осуществляет приведение будущих потоков платежей к настоящему моменту времени (т.е. обыкновенное дисконтирование по более высокой норме), но не дает никакой информации о степени риска (возможных отклонениях результатов). При этом полученные результаты существенно зависят только от величины надбавки за риск.

Он также предполагает увеличение риска во времени с постоянным коэффициентом, что вряд ли может считаться корректным, так как для многих проектов характерно наличие рисков в начальные периоды с постепенным снижением их к концу реализации. Таким образом, прибыльные проекты, не предполагающие со временем существенного увеличения риска, могут быть оценены неверно и отклонены.

Данный метод не несет никакой информации о вероятностных распределениях будущих потоков платежей и не позволяет получить их оценку.

Наконец, обратная сторона простоты метода состоит в существенных ограничениях возможностей моделирования различных вариантов, которое сводится к анализу зависимости критериев NPV(IRR,PI и др.) „от изменений только одного показателя — нормы дисконта.

Несмотря на отмеченные недостатки, метод корректировки нормы дисконта широко применяется на практике.

Метод достоверных эквивалентов. Недостатками этого метода следует признать:

  • сложность расчета коэффициентов достоверности, адекватных риску на каждом этапе проекта;

  • невозможность провести анализ вероятностных распределений ключевых параметров.

Анализ чувствительности. Данный метод является хорошей иллюстрацией влияния отдельных исходных факторов на конечный результат проекта.

Главным недостатком данного метода является предпосылка о том, что изменение одного фактора рассматривается изолированно, тогда как на практике все экономические факторы в той или иной степени коррелированны.

По этой причине применение данного метода на практике как самостоятельного инструмента анализа риска, по мнению авторов весьма ограничено, если вообще возможно.

Метод сценариев. В целом метод позволяет получать достаточно наглядную картину для различных вариантов реализации проектов, а также предоставляет информацию о чувствительности и возможных отклонениях, а применение программных средств типа Excel позволяет значительно повысить эффективность подобного анализа путем практически неограниченного увеличения числа сценариев и введения дополнительных переменных.

Анализ вероятностных распределений потоков платежей. В целом применение этого метода анализа рисков позволяет получить полезную информацию об ожидаемых значениях NPV и чистых поступлений, а также провести анализ их вероятностных распределений.

Вместе с тем использование этого метода предполагает, что вероятности для всех вариантов денежных поступлений известны либо могут быть точно определены. В действительности в некоторых случаях распределение вероятностей может быть задано с высокой степенью достоверности на основе анализа прошлого опыта при наличии больших объемов фактических данных. Однако чаще всего такие данные недоступны, поэтому распределения задаются исходя из предположений экспертов и несут в себе большую долю субъективизма.

Деревья решений. Ограничением практического использования данного метода является исходная предпосылка о том, что проект должен иметь обозримое или разумное число вариантов развития. Метод особенно полезен в ситуациях, когда решения, принимаемые в каждый момент времени, сильно зависят от решений, принятых ранее, и в свою очередь определяют сценарии дальнейшего развития событий.

Имитационное моделирование. Практическое применение данного метода продемонстрировало широкие возможности его использования инвестиционном проектировании, особенно в условиях неопределённости и риска. Данный метод особенно удобен для практического применения тем, что удачно сочетается с другими экономико-статистическими методами, а также с теорией игр и другими методами исследования операций. Практическое применение авторами данного метода показало, что зачастую он даёт более оптимистичные оценки, чем другие методы, например анализ сценариев, что, очевидно обусловлено перебором промежуточных вариантов.

Многообразие ситуаций неопределённости делает возможным применение любого из описанных методов в качестве инструмента анализа рисков, однако, по мнению авторов, наиболее перспективными для практического использования являются методы сценарного анализа и имитационного моделирования, которые могут быть дополнены или интегрированы в другие методики.

Риск и его виды

Такая трактовка риска позволила унифицировать подход к его различным видам. С позиции конкретного предприятия существует большое число видов самых разнообразных рисков, которые могут повлиять на уровень доходности реализуемых проектов: риск процентной ставки, валютные риски, инфляционный, политический, страновый и многие другие виды рисков. Однако, с позиции инвестора все эти риска могут быть объединены в одну группу – общий риск или риск отдельных ценных бумаг (рис. 5.4.1). Наряду с перечисленными видами общего риска, внешними по отношению к предприятию, существуют внутренние общие риски, для измерения которых используются показатели операционного и финансового левериджа. Первый из них был рассмотрен в гл. 3 данного пособия, о втором речь пойдет несколько позже.

Инвестор как правило не держит только один вид ценных бумаг. Житейский принцип “не складывать все яйца в одну корзину” подсказывает, что значительно безопаснее обладать набором из нескольких финансовых инструментов, выпущенных различными эмитентами: так называемым портфелем инвестиций. В этом случае более важным для инвестора является не уровень общего риска каждой ценной бумаги в отдельности, а совокупный риск инвестиционного портфеля или рыночный риск. Объединяя различные финансовые инструменты в портфель, инвестор стремится максимально диверсифицировать риск, то есть избежать одновременного изменения доходности каждого инструмента в одном и том же направлении. Та часть рыночного риска, которая поддается такой диверсификации называется несистематическим или диверсифицируемым риском. Величина рыночного риска, не поддающаяся диверсификации называется систематическим (недиверсифицируемым) риском. Чем меньше бумаг в портфеле, тем выше величина несистематического риска, которая может быть снижена путем диверсификации портфеля, то есть путем помещения в него все большего числа различных финансовых активов. Считается, что портфель, состоящий из 40 случайным образом отобранных акций, является в достаточной степени диверсифицируемым и добавление в него каждой новой акции уже не будет давать столь же высокого снижения несистематического риска, как это было для первых 40 ценных бумаг.

Пределом для диверсификации служит уровень риска, присущий данному финансовому рынку в целом. Такой риск называется систематическим, он определяется не спецификой отдельных бумаг, обращающихся на рынке, а общими тенденциями, характерными для рынка в целом: общим ростом или понижением деловой активности. Индикаторами общего состояния рынка являются рассмотренные в предыдущей главе индексы, например – DJIA или S&P 500. Репрезентативность этих индексов позволяет использовать их для характеристики состояния конкретного финансового рынка (например NYSE) в целом. Можно сказать, что фондовые индексы отражают поведение некой “средней” акции, вобравшей в себя все специфические особенности отдельных активов, обращающихся на данном рынке.

Диверсификация инвестиционного портфеля является наиболее очевидным и простым способом минимизации риска. Если воспользоваться статистической терминологией, диверсифицируемый риск отражается в степени корреляции между отдельными активами, входящими в портфель. Наличие высокой положительной корреляции (коэффициент корреляции близкий к +1) увеличивает несистематический риск портфеля; при отрицательных значениях коэффициента корреляции этот риск минимизируется. Однако, наряду со взаимосвязями между акциями, входящими в портфель, существует корреляция их доходности с доходностью рынка в целом, то есть поведением “средней” акции. Влияние этой связи нельзя устранить путем простой диверсификации портфеля, поэтому управление инвестиционным риском предполагает использование более сложных методов. Для правильного понимания их сути необходимо более подробно рассмотреть общие принципы количественного измерения риска.


Рисунок 5.4.1. Классификация инвестиционных рисков


18 Срок окупаемости проекта.

Ток-это такой период, требуемый д/возмсщсния начального капитала посредством накопленных чистых потоков реал-х денег.гснсрировйнных проектом.Из рисунка видно, что по мере "расцветанпроскта наступает такой период времени t* когда дисконтируемый поток затрат весь окупается дисконтируемым потоком доходов. Проект принимается, если если рассчитанный Ток не превышает срока жизни проекта. Данный критерий д. учит-ся при принятии инв.решения. Т0.-это миним. временной интервал от начала осущ-я проекта, за пределами кот-го интегральный эффект станов-ся и в дальнейшем остается неотриц-м. Onp-ся бездисконт-й и дисконт-й Ток. Если доход распределен по годам равномерно, то Ток. рассчит-ся делением еднновремен-х затрат на величину годового дохода. Если прибыль распределена неравномерно, то Ток.

рассчнт-ся подсчетом числа лет, в течение которых инвестиция д.б. погашена кумулятивным доходом.

срок окупаемости инвестиционного проекта - срок со дня начала финансирования инвестиционного проекта до дня, когда разность между накопленной суммой чистой прибыли с амортизационными отчислениями и объемом инвестиционных затрат приобретает положительное значение


13 Источники финансир-я АО.

Акц-е финансир-е пред-ст собой форму получ-я дополн, инв.ресурсов путем эмиссии ЦБ Эта форма пред-ет замену инв-го кредита рыноч-ми долговыми обяз-ми.что сказ-ся на структуре и цене капиталамивестнрованного в проект в сторону их оптимизации. Акц-е финансир-с включает формы: 1)Дополнит-я эмиссия ЦБ под конкрет-й инв.проект,что обеспеч-ст инвестору участие в у став и капитале пред-тии. при этом инвестор производит:а)эмиссию акций и размещение их среди заннтерссов-х инвесторов,включая гос-.\,нностр-х, и отсчест-х субъектов прсдпринимат-й дсят-тн.б)эмиссию долгов-х обязат-в в виде инв.облигаций,сертификатов в)формир-е специализ-х инв-х компаний и фондов,в т.ч. паевых в форме АО с эмиссией ЦБ и ннвестир-ем получ-х сред-в в инв.проект. Акц-е финансир-с явл-ся альтернативой кредитному финансир-ю.Акц-е фин-с-при нем инвестир-ся конкрет-я дсят-ть отрасли или пред-я и участие в устав, капитале пред-я. Корпорат-с фин-с заключ-ся в покупке ЦБ.


Гос.поддержка инв-й деят-ти.

Гос-во принимает на себя большую часть фим-я инв-х проектов развития произв-й и соц-й инфраструктуры.В наст.врсмя гос-во направляет до 80% инв-х ресурсов,цснтралнзованных в Федер. бд на удовлетв-е неотложных потрсб-тсй соц.сфсры, жилищного и мунииип-го строит-ва, здровоохранення. культ, и науки. Оставш-ся 20% централиз-х инв-х ресурсов исп-ся на стимулир-е частных отечеств-х и иностр-х инв-ций в произ-й сфере. Важным источ-м фим-я эк-ки яв-ся ср-ва фсдер.бд и внебд-х фондов.Д/улучшения эк.сит-ции желательно довести долю гос.инв-ций до 3% от ВВП из кот-х на развитие соц.сферы будет напр-ся 60-70%,а пр-й сферы 30-40%.Без ср-в Фсдер.бд. невозможно эффект-с развитие отраслей соц-го комплекса, а также жизненно важных отраслей произв-й сферы. Гос.регулир-е инв-й деят-ти,гос. поддержка инв-х проектов осущ-ся путем направления фин.ресурсов на выполнение федер.целевых программ и на др. федер.гос. нужды.Бд-е фин-е инв-х проектов осущ-ся в формах: 1)Фин.поддержка высокоэффект-х инв-х проектов на условиях размещения выделенных бд-х ср-в на конкурсной основе. 2) Центр ал изо в-с фин-е федер.инв-х программ. Принципиально новой особенн-ю инв.политики последнего времени яв-ся переход от распределения бд-х ассигнований на кап.строит-во м/д отраслями и регионами к избират-му частичному фин-ю конкрет-х ннв-х проектов на конкурсной основе.Приоритет-м напр-ем д/кот. н. господдержка в реал-ции инв-х проектов за счет ср-в федер.бд. опр-ся Министер-м эк-ки, фин-сов и др. федер.орг.власти.Опред-е конкрет-го состава инв-х проектов д/гос.поддержки осущ-ся в неск.этапов: 1)отбор строек и объектов д/включения в перечень д/федер. гос.нужд в соотв-ии с гос.инв-й программой с привлечением ср-в гос.бд,предоставлясмых на безвозвратн.или возврати, основе пр-ся на конкурсн.основе.


22 Точка безубыточности


Безубыточный объем выпуска будет достигнут тогда, когда доход от продаж будет полностью покрывать валовые затраты.

Пусть Q- объем выпуска, шт

Тогда доход от продаж будет равен 87,5Q$, где 87,5- цена единицы изделия без НДС. Суммарные переменные затраты 50,8Q$, а суммарные постоянные затраты 129033$. Тогда безубыточный объем выпуска определим из условия 0=Q(87,5-50,8)-129033. Откуда Q=3516 шт.


24 Индекс доходности

Индекс доходности (ИД) - отношение I приведенных эффектов квеличине кап влож-ий


д б > 1 ИД показывает относительную прибыльность (дох-ть или дисконтированную рент-ть) проекта Он отражает эффективность вложений


35 Ипотечное кредитование

Залог жилого помещения является способом обеспечения обязательств по кредитному договору. Сущность договора залога квартиры заключается в том, что кредитор по обеспеченному залогом обязательству (залогодержатель) имеет право в случае неисполнения должником этого обязательства получить удовлетворение из стоимости заложенного имущества преимущественно перед другими кредиторами лица, которому принадлежит это имущество (залогодателя), за изъятиями, установленными законом.

Каковы преимущества ипотеки?

  1. Ипотека обеспечивает наличие и сохранность этого имущества на тот момент, когда должнику придется рассчитываться с кредитором.

  2. Ипотека обеспечивает кредитору-залогодержателю возможность удовлетворить свои требования за счет предмета залога преимущественно перед другими кредиторами.

  3. Реальная опасность потерять заложенное имущество в случае неисполнения обязательств по кредитному договору является хорошим стимулом для должника исполнить свои обязательства надлежащим образом.

В качестве залогодателя имущества могут выступать либо сам заемщик по кредитному договору, либо третье лицо.

Договор ипотеки подлежит нотариальному удостоверению с последующей государственной регистрацией. Несоблюдение данного требования влечет его недействительность.

Существенными условиями договора ипотеки жилого помещения являются:

  • предмет ипотеки;

  • оценка заложенного имущества;

  • существо, размер и срок исполнения основного обязательства, обеспечиваемого ипотекой;

  • право, в силу которого имущество, являющееся предметом ипотеки, принадлежит залогодателю;

  • наименование органа государственной регистрации прав на недвижимое имущество, зарегистрировавшего право залогодателя на предмет ипотеки.


Залогодатель может предоставить в залог недвижимое имущество, уже находящееся в залоге по другому договору ипотеки (последующий залог) при соблюдении двух обязательных условий.

1. Такой порядок передачи в залог имущества возможен, если последующий залог не запрещен предшествующим договором о залоге.

2. Залогодатель обязан сообщать каждому новому залогодержателю сведения обо всех существующих залогах этого имущества, то есть существенные условия предыдущего залога (о предмете залога, его оценке, существе, размере и сроке исполнения обязательства, обеспеченного залогом).

В случае невыполнения этой обязанности залогодатель должен возместить соответствующему залогодержателю все причиненные им убытки.

Диспозитивные нормы, закрепленные в законодательстве в отношениях, регулируемых договором ипотеки:

  • залог обеспечивает требование залогодержателя в том объеме, какой оно имеет к моменту удовлетворения. Таким образом, в объем требований кредитора, погашаемых за счет выручки от продажи заложенного имущества, включаются собственно суммы долга, проценты по предоставленному кредиту, неустойка (штраф, пени), убытки, образовавшиеся в связи с неисполнением заемщиком своего обязательства, дополнительные расходы залогодержателя, понесенные им в связи с обращением взыскания на заложенное имущество;

  • независимо от того, у кого - залогодателя или залогодержателя - находится заложенное имущество, другой стороне предоставлено право контролировать обеспечение его сохранности и в этих целях проверять по документам и фактически наличие, количество, состояние и условия хранения заложенного имущества, находящегося у другой стороны;

  • сторона, у которой находится заложенное имущество, должна выполнять следующие обязательства:

  • осуществлять страхование этого имущества в полной его стоимости от рисков утраты или повреждения, которое во всех случаях производится за счет залогодателя;

  • защищать заложенное имущество от требований и иных посягательств других лиц, а также принимать иные меры, необходимые для обеспечения его сохранности;

  • немедленно уведомлять другую сторону о возникновении угрозы утраты или повреждения заложенного имущества.

  • невыполнение вышеперечисленных обязательств залогодержателем, если имущество находится у него, может повлечь для него досрочное прекращение залога;

  • залогодержатель может получить удовлетворение своих требований и из страхового возмещения за утрату или повреждение заложенного имущества независимо от того, в чью пользу оно застраховано;

  • требования последующего залогодержателя удовлетворяются из стоимости заложенного имущества лишь после удовлетворения требований предшествующих залогодержателей;

  • риск случайной гибели или случайного повреждения заложенного имущества несет залогодатель, если иное не предусмотрено договором о залоге. Это правило будет действовать даже тогда, когда заложенное имущество, которое утрачено или повреждено, находилось в этот момент у залогодержателя;

  • залогодатель имеет право пользоваться предметом залога и извлекать из него и доходы;

  • залогодатель может распорядиться имуществом, в том числе путем его отчуждения, передачи в аренду или безвозмездное пользование другому лицу только с согласия залогодателя;

  • залогодержатель, у которого находилось или должно было находиться заложенное имущество, вправе истребовать его из чужого незаконного владения, в том числе из владения залогодателя. В случаях же, когда по условиям договора залогодержателю предоставлено право пользоваться переданным ему предметом залога, он может требовать от других лиц, в том числе и от залогодателя, устранения всяких нарушений его права, хотя бы эти нарушения не были соединены с лишением владения.


Основные условия, необходимые для решения проблемы. Создание надежной системы долгосрочного ипотечного жилищного кредитования и размеры потенциального рынка ипотечного кредитования зависят от ряда факторов:

  • наличия эффективно действующей законодательной базы;

  • наличия достаточного платежеспособного спроса на ипотечные кредиты со стороны населения;

  • доступности жилищных кредитов для населения, определяемой величиной процентных ставок, продолжительностью кредитного периода, уровнем цен на жилье и уровнем доходов населения;

  • уровня развития банковской системы;

  • состояния и перспектив развития рынка жилья, жилищного строительства;

  • создания условий для эффективного привлечения в сферу банковского кредитования долгосрочных кредитных ресурсов для предоставления кредитов на приобретение жилья.


42 Портфельные инвестиции

Портфельное инвестирование позволяет планировать, оценивать, контролировать конечные результаты всей инвестиционной деятельности в различных секторах фондового рынка.

Как правило, портфель представляет собой определенный набор из корпоративных акций, облигаций с различной степенью обеспечения и риска, а также бумаг с фиксированным доходом, гарантированным государством, то есть с минимальным риском потерь по основной сумме и текущим поступлениям.

Например, до недавнего времени банки исходя из зарубежного опыта, формируя инвестиционный портфель, набирали его в следующем соотношении: в общей сумме ценных бумаг около 70 процентов — государственные ценные бумаги, около 25 процентов — муниципальные ценные бумаги и около 5 процентов — прочие бумаги. Таким образом, запас ликвидных активов составляет примерно 1/3 портфеля, а инвестиции с целью получения прибыли — 2/3. Как правило, такая структура портфеля характерна для крупного банка, мелкие же банки в своем портфеле имеют 90 процентов и более государственных и муниципальных ценных бумаг.

Теоретически портфель может состоять из бумаг одного вида, а также менять свою структуру путем замещения одних бумаг другими. Однако каждая ценная бумага в отдельности не может достигать подобного результата.

Основная задача портфельного инвестирования — улучшить условия инвестирования, придав совокупности ценных бумаг такие инвестиционные характеристики, которые недостижимы с позиции отдельно взятой ценной бумаги, и возможны только при их комбинации.

Только в процессе формирования портфеля достигается новое инвестиционное качество с заданными характеристиками. Таким образом, портфель ценных бумаг является тем инструментом, с помощью которого инвестору обеспечивается требуемая устойчивость дохода при минимальном риске.

Считается, что возможность проведения портфельных инвестиций говорит о зрелости рынка, и это, на наш взгляд, совершенно справедливо. Еще в 1994 г. в России полемика относительно методов портфельного инвестирования была сугубо теоретической, хотя уже тогда существовали банки и финансовые компании, которые брали средства клиентов в доверительное управление. Однако лишь немногие из них подходили при этом к портфельному инвестированию как к сложному финансовому объекту, обладающему тонкой спецификой и подчиняющемуся соответствующей теории.

Практика показывает, что портфельным инвестированием сегодня интересуются два типа клиентов. К первому относятся те, перед кем остро стоит проблема размещения временно свободных средств (крупные и инертные государственные корпорации, выросшие из бывших министерств, различные фонды, создаваемые при министерствах, и другие подобные структуры, а также клиенты из тех регионов, где рынок не способен освоить крупные средства). Ко второму типу относятся те, кто, уловив эту потребность "денежных мешков" и остро нуждаясь в оборотных средствах, выдвигают идею портфеля в качестве "приманки" (не очень крупные банки, финансовые компании и небольшие брокерские конторы).

Конечно, многие клиенты не до конца отдают себе отчет, что такое портфель активов, и в процессе общения с ними часто выясняется, что на данном этапе они нуждаются в более простых формах сотрудничества. Да и уровень развития рынков в различных регионах разный - во многих регионах процесс формирования класса профессиональных участников рынка и квалифицированных инвесторов еще далеко не завершен. Тем не менее, усиление клиентского спроса на услуги по формированию инвестиционного портфеля в последнее время очевидно. Это говорит о том, что вопрос назрел. Однако, как происходит со всем новым, процессу формирования инвестиционного портфеля сопутствует ряд проблем, которые и будут рассмотрены далее.

Принципы формирования инвестиционного портфеля

При формировании инвестиционного портфеля следует руководствоваться следующими соображениями:

безопасность вложений (неуязвимость инвестиций от потрясений на рынке инвестиционного капитала),

стабильность получения дохода,

ликвидность вложений, то есть их способность участвовать в немедленном приобретении товара (работ, услуг), или быстро и без потерь в цене превращаться в наличные деньги.

Ни одна из инвестиционных ценностей не обладает всеми перечисленными выше свойствами. Поэтому неизбежен компромисс. Если ценная бумага надежна, то доходность будет низкой, так как те, кто предпочитают надежность, будут предлагать высокую цену и собьют доходность. Главная цель при формировании портфеля состоит в достижении наиболее оптимального сочетания между риском и доходом для инвестора. Иными словами, соответствующий набор инвестиционных инструментов призван снизить риск вкладчика до минимума и одновременно увеличить его доход до максимума.

Основной вопрос при ведении портфеля - как определить пропорции между ценными бумагами с различными свойствами. Так, основными принципами построения классического консервативного (малорискового) портфеля являются: принцип консервативности, принцип диверсификации и принцип достаточной ликвидности.


Капитальные вложения

капитальные вложения - инвестиции в основной капитал (основные средства), в том числе затраты на новое строительство, расширение, реконструкцию и техническое перевооружение действующих предприятий, приобретение машин, оборудования, инструмента, инвентаря, проектно - изыскательские работы и другие затраты;

Объекты капитальных вложений
1. Объектами капитальных вложений в Российской Федерации являются находящиеся в частной, государственной, муниципальной и иных формах собственности различные виды вновь создаваемого и (или) модернизируемого имущества, за изъятиями, устанавливаемыми федеральными законами.
2. Запрещаются капитальные вложения в объекты, создание и использование которых не соответствуют законодательству Российской Федерации и утвержденным в установленном порядке стандартам (нормам и правилам).


Субъекты инвестиционной деятельности, осуществляемой в форме капитальных вложений
1. Субъектами инвестиционной деятельности, осуществляемой в форме капитальных вложений (далее - субъекты инвестиционной деятельности), являются инвесторы, заказчики, подрядчики, пользователи объектов капитальных вложений и другие лица.
2. Инвесторы осуществляют капитальные вложения на территории Российской Федерации с использованием собственных и (или) привлеченных средств в соответствии с законодательством Российской Федерации. Инвесторами могут быть физические и юридические лица, создаваемые на основе договора о совместной деятельности и не имеющие статуса юридического лица объединения юридических лиц, государственные органы, органы местного самоуправления, а также иностранные субъекты предпринимательской деятельности (далее - иностранные инвесторы).
3. Заказчики - уполномоченные на то инвесторами физические и юридические лица, которые осуществляют реализацию инвестиционных проектов. При этом они не вмешиваются в предпринимательскую и (или) иную деятельность других субъектов инвестиционной деятельности, если иное не предусмотрено договором между ними. Заказчиками могут быть инвесторы.
Заказчик, не являющийся инвестором, наделяется правами владения, пользования и распоряжения капитальными вложениями на период и в пределах полномочий, которые установлены договором и (или) государственным контрактом в соответствии с законодательством Российской Федерации.
4. Подрядчики - физические и юридические лица, которые выполняют работы по договору подряда и (или) государственному контракту, заключаемым с заказчиками в соответствии с Гражданским кодексом Российской Федерации. Подрядчики обязаны иметь лицензию на осуществление ими тех видов деятельности, которые подлежат лицензированию в соответствии с федеральным законом.
5. Пользователи объектов капитальных вложений - физические и юридические лица, в том числе иностранные, а также государственные органы, органы местного самоуправления, иностранные государства, международные объединения и организации, для которых создаются указанные объекты. Пользователями объектов капитальных вложений могут быть инвесторы.
6. Субъект инвестиционной деятельности вправе совмещать функции двух и более субъектов, если иное не установлено договором и (или) государственным контрактом, заключаемыми между ними.

Источники финансирования капитальных вложений
Финансирование капитальных вложений осуществляется инвесторами за счет собственных и (или) привлеченных средств.


41 Иностранные инвестиции

В основном Россия привлекает капитал в виде прямых и портфельных инвестиций, ссудных капиталовложений и путем размещения облигационных займов на международном рынке капиталов.

Прямые инвестиции обеспечивают иностранным инвесторам, юридическим и физическим лицам право на управление предприятием и представляют собой преимущественно взносы в уставные фонды совместных предприятий и кредиты, полученные от зарубежных совладельцев предприятий.

Прямые вложения осуществляются как в свободно конвертируемой валюте, так и в национальной валюте.

Сравнивая относительную предпочтительность привлечения капитала в различных формах, следует подчеркнуть, что прямые инвестиции имеют ряд преимуществ. Прежде всего активизируется деятельность частного сектора, расширяется выход на внешние рынки и облегчается доступ к новым технологиям и методам управления. В этом случае больше вероятность реинвестирования прибыли внутри страны, чем вывоза в страну базирования. Кроме того, приток предпринимательского капитала не увеличивает размер внешней задолженности.

Следует подчеркнуть, что, несмотря на постоянное снижение удельного веса прямых инвестиций в общем размере иностранных капиталовложений в экономику России с 70% в 1991-1995 годах [6] до 40 % в 2000 году [4, 2)], эта форма привлечения капитала остается наиболее важной для экономики страны. Объем прямых инвестиций в 1999 году составил 4, 26 млрд. долл., а в 2000 году – 4, 43 млрд. долл. [4, 1)].

Процесс приватизации государственной собственности, акционирование промышленных предприятий привели к формированию в России фондового рынка, создали объективные предпосылки иностранным инвесторам для портфельных капиталовложений.


Под портфельными инвестициями понимается покупка нерезидентами акций, векселей и других долговых ценных бумаг, составляющих менее 10% акционерного капитала предприятия. Портфельные инвестиции не дают вкладчикам права участвовать в управлении предприятием.

С 1991 по 1993 г. объем портфельных инвестиций в России оценивался в 60 млн. долл. Начиная с 1994 г. прослеживается тенденция к увеличению импорта в Россию портфельных инвестиций. Максимального уровня объем заказов западных фирм на покупку акций российских приватизированных предприятий достиг в августе 1994 г. и составил 500 млн. долл. В ноябре он опустился до 300 млн. долл., а в декабре – до 100 млн. долл. [1, 310]. Только в первой половине 1994 г. иностранные инвесторы скупили 2-5% доли уставного капитала таких компаний, как "Коминефть", "Томскнефть", "Юганскнефть", "Пурнефтегаз", "ЛУКойл", "ЛУКойл-Когалымнефтегаз", "ЛУКойл-Уралнефтегаз" и др.

Постепенно иностранные портфельные инвестиции начали перемещаться и в другие отрасли российской экономики, прежде всего в связь и средства телекоммуникаций, в пищевую, деревообрабатывающую, цементную промышленность.

В настоящее время для западных инвесторов данная форма капиталовложений в экономику России относится к рисковым инвестициям. По оценкам западных брокерских фирм, иностранные инвесторы, которые ранее приобрели акции российских приватизированных предприятий, потеряли за последний квартал 1994 г. около 75% вложенных сумм из-за падения курсовой стоимости этих ценных бумаг.

В конце 1997 г. отток средств нерезидентов с фондового рынка России составил около 7,5 млрд. долл. Вместе с тем портфельные инвестиции вплоть до краха рынка ГКО оставались одной из наиболее прибыльных форм капиталовложений в отдельные отрасли и сферы экономики России.

Объем портфельных инвестиций в 1999 г. составил 31 млн. долл., снизившись по сравнению с 1998 г. более чем в пять раз [7]. Большая часть валютных инвестиций приходилась на вложения в краткосрочные долговые ценные бумаги, а рублевые инвестиции направлялись преимущественно на покупку акций российских компаний. Доля портфельных инвестиций в общем объеме составила в 2000 году 0,7 % [4, 2)].

В последние годы в мировой экономике прослеживается устойчивая тенденция к росту ссудных инвестиций. Как показывает мировой опыт, практически ни одно государство в мире при создании развитой рыночной экономики не могло обойтись без внешних заемных финансовых ресурсов.

В современном мире экспорт ссудного капитала осуществляется как по государственной, так и по частной линии, на двусторонней и многосторонней основе, на льготных и коммерческих условиях. По целевому назначению это могут быть официальная государственная помощь развитию, кредиты на осуществление конкретных инвестиционных проектов, техническая помощь, экспортные кредиты, облигационные займы и др.

Большая часть ссудных инвестиций приходится на международные финансовые организации (МБРР, МВФ, ЕБРР и др.), крупные коммерческие банки и банковские консорциумы, национальные фонды экономического сотрудничества с зарубежными странами и др.

В 2000 году России удалось привлечь кредитов Мирового банка реконструкции и развития (МБРР) на общую сумму 551,9 млн. долл. и Европейского банка реконструкции и развития (ЕБРР) на 31,9 млн. долл. [4, 1)]

Новой формой привлечения иностранного капитала для России стало размещение за рубежом облигационных займов в виде выпуска евробондов, номинированных в ведущих валютах стран мира.

Условия привлечения средств с международных рынков капитала для России оказались более привлекательны, чем заимствования на внутреннем рынке и выпуск государственных казначейских обязательств (ГКО).

Основной организационной формой деятельности иностранного капитала в России являются совместные предприятия (СП). Согласно российскому законодательству предприятия с участием иностранного капитала может быть организовано в форме открытого или закрытого акционерного общества и зарегистрировано как российская компания.


Процесс активного создания СП в России начался в период либерализации внешнеэкономических связей. Первое совместное предприятие было создано в России в 1989 г. В 1991 г. в России было зарегистрировано 1825 СП, в 1992 г. – 2533, в 1993 г. – 6359, в 1994 г. – 11131, в 1995 г. – 14550 СП. На начало 1999 г. в России в Государственный реестр было внесено около 25 тыс. совместных компаний с участием иностранного капитала [3, 118].

Доля иностранного капитала в совместных предприятиях, созданных на территории России, составляет в среднем 35-45%, причем прослеживается тенденция к росту этого показателя, что прежде всего связано со стремлением получить льготы при налогообложении.

Большинство совместных предприятий создавалось в основном в сфере мелкого и среднего бизнеса, в сфере услуг и в тех отраслях экономики, где гарантирована быстрая окупаемость вложений и доходы в свободно конвертируемой валюте.

При создании совместных предприятий используются различные организационно-правовые формы, включая предприятия со 100%-ным иностранным капиталом, причем доля предприятий, полностью контролируемых иностранными инвесторами неуклонно растет.

Российское законодательство предусматривает возможность создания на территории страны отделений и филиалов иностранных компаний, которые должны быть зарегистрированы как российские компании со 100%-ным иностранным капиталом. По такому принципу в России функционируют отделения зарубежных коммерческих и государственных банков.


37 Лизинг и форфейтинг.

Лизинг появился и стал бурно развиваться в 50-х — начале 60-х годов в США. Как форма аренды оборудования и недвижимости идея лизинга далеко не нова, в сельском хозяйстве аренда земли и средств производства известна очень давно. Аренда складов, машин и оборудования достаточно широко практиковались еще в прошлом веке. Во второй половине 20 века банки вместо денежных ссуд в отдельных случаях стали предоставлять клиентам в аренду машины и оборудование, таким образом, старые арендные отношения перешли на новую экономическую платформу и, как считают специалисты, стали разновидностью

банковских кредитов.

Под лизингом понимается сдача в аренду предметов длительного пользования: зданий, машин, самолетов, автомобилей, компьютеров, контрольного оборудования.
Лизинг — это предоставление права на пользование движимым или недвижимым имуществом путем передачи его во владение на определенный срок или неопределенное время за периодически выплачиваемую компенсацию.

Лизинг представляет собой, как правило, трехсторонний комплекс отношений, в которых лизинговая компания по просьбе и указанию пользователя приобретает у изготовителя оборудование, которое затем сдает ему во временное пользование.

В состав комплекса входят два договора:

  1. договор купли-продажи (между лизинговой компанией и изготовителем на приобретение оборудования, где изготовитель продавец, а лизинговая компания-получатель)

  2. договор лизинга (между лизинговой компанией и пользователем, в силу которого первая передает второму во временное пользование оборудование, купленное у изготовителя специально для этой цели).

Существуют различные формы и виды лизинга.

По объекту сделки лизинг подразделяется на лизинг потребительских товаров длительного пользования и лизинг инвестиционных товаров; арендаторами при лизинговой сделки могут быть как частные лица, так и предприятия, арендодателями при лизинговой сделках являются промышленные предприятия, которые довольно часто имеют собственные лизинговые компании, специальные лизинговые компании, которые во многих случаях представляют собой дочерние фирмы банков, а также ряд независимых от банков специальных лизинговых институтов, особенно широко распространенных при финансовом лизинге.

По характеру различают финансовый (капитальный) лизинг и операционный.


Особые виды лизинга.

Аренда автотранспортных средств.

Лизинг автотранспортных средств стал важной и довольно своеобразной областью арендных операций, который заслуживает определенного внимания. Прежде всего, все более широкое предпочтение лизинга перед покупкой в рассрочку как для частных лиц, так и для предприятий связано с низким первоначальным платежом, а равно как и ежемесячных взносов. При этом, однако, лицо, не использующее арендованный автомобиль для деловых целей, лишено возможности вычитать из облагаемого налогом дохода сумму выплачиваемых процентов. Лизинг также выгоден для автомобильных дилеров, так как стимулирует желание купить автомобиль, а сам дилер может воспользоваться налоговым инвестиционным кредитом и ускоренным начислением износа.

Аренда с привлечением средств.

Этот вид лизинга предусматривает получение арендодателем долгосрочного займа у одного или нескольких кредиторов на сумму до 80% стоимости сдаваемых в аренду активов. В сделке лизинга с привлечением средств арендодатель кроме дохода в виде процента и быстрого возмещения капиталовложений за счет изъятия из-под налогообложения амортизационных отчисления и процентных платежей в первые годы лизинга, получает также вознаграждение за организацию финансирования. Арендодатель берет долгосрочную ссуду (без права обратного требования к арендатору), причем арендные платежи и оборудование служат обеспечением ссуды. Для снижения налогов арендодатель отсчитывается по лизинговым платежам как по статье дохода, и в этом случае получает право вычитать амортизационные начисления по лизинговому оборудованию, а также и ссудный процент по долгосрочному займу из суммы, облагаемой налогом. Таким образом, в первые годы лизинга арендодатель несет крупные убытки из-за налогов, но имеет значительные поступления денежных средств, которые на последующих этапах идут на убыль.


ФОРФЕЙТИНГ - это покупка долга, выраженного в оборотном документе, у кредитора на безоборотной основе. Это означает, что покупатель долга (форфейтер) принимает на себя обязательство об отказе - форфейтинге - от обращения регрессивного требования к кредитору при невозможности получения удовлетворения у должника. Покупка оборотного обязательства происходит, естественно, со скидкой.

Механизм форфейтинга используется в двух видах сделок:

· в финансовых сделках - в целях быстрой реализации долгосрочных финансовых обязательств;

· в экспортных сделках - для содействия поступлению наличных денег экспортеру, предоставившему кредит иностранному покупателю.

Основными оборотными документами, используемыми в качестве форфейтинговых инструментов, являются векселя. Однако объектом форфейтинга могут стать и другие виды ценных бумаг. Важно, чтобы эти бумаги были “чистыми” (содержащими только абстрактное обязательство).

Форфейтинговые бумаги

Основным видом форфейтинговых ценных бумаг являются ВЕКСЕЛЯ - ПЕРЕВОДНЫЕ и ПРОСТЫЕ. Операции с ними обычно осуществляются быстро и просто, без неожиданных осложнений.

Кроме векселей объектом форфейтинга могут быть обязательства в форме аккредитива. АККРЕДИТИВ, как известно, - это расчетный или денежный документ, представляющий собой поручение одного банка (кредитного учреждения) другому произвести за счет специально забронированных средств оплату товарно-транспортных документов за отгруженный товар или выплатить предъявителю аккредитива определенную сумму денег. Документарный аккредитив может быть ОТЗЫВНЫМ и БЕЗОТЗЫВНЫМ. Безотзывный аккредитив является твердым обязательством банка-эмитента произвести платежи по предоставлении ему коммерческих документов, предусмотренных аккредитивом, и соблюдении всех его условий.


15 Государственное регулирование инвестиционной деятельности

Анализ состояния и тенденций развития отраслей агропромышленного комплекса (АПК) России свидетельствует, что технический уровень производства не удовлетворяет современным требованиям. Мировому уровню соответствует не более 15% важнейших групп машин и механизмов, имеющихся в этих отраслях. Удельный вес устаревшей техники, требующей безотлагательной замены, превышает 27%. Потребность в важнейших видах оборудования для пищевой и перерабатывающей промышленности удовлетворяется на 55%.

Возможности проведения инновационных процессов в пищевой и перерабатывающей промышленности серьезно ограничены существующей возрастной структурой основных производственных фондов (ОПФ). Во всех отраслях АПК фактический срок их службы значительно превышает нормативный. Более одной трети машин и оборудования отработало уже два и более амортизационных срока. Наиболее тяжелое положение в сельском хозяйстве и пищевой промышленности, где физически изношенных ОПФ достигает 85%. В целом же по стране эта величина составляет 50%. Доля импортного оборудования в активной части ОПФ - 27%. На отдельных производствах отечественного оборудования практически нет.

Решение данных проблем определяет уровень экономического развития. Сейчас, когда снижается инвестиционная активность, необходимо значительно ускорить темпы обновления производства за счет внедрения перспективных технологий, техники, инноваций.

Как показывает практика развития рыночных отношений, инновации служат главной движущей силой развития общественного производства и тесно взаимодействуют с инвестиционной деятельностью.

Инвестирование средств в инновационный сектор производства позволит повысить уровень общественного производства, улучшить качество продукции, способствует созданию социально-привлекательных рабочих мест с высоким уровнем оплаты. Новые технологии обеспечивают повышение доходов предприятия. Рост налоговых поступлений в казну государства позволит увеличить долю инвестируемых средств, направленных на социальную сферу (жилищное строительство, медицина, наука, образование). Повышение активизации деятельности социально-ориентированной политики государства способствует разрешению многих социальных проблем и установлению более гармоничного развития общества.

Итак, функционирование хозяйственного комплекса страны немыслимо без инвестиций, обеспечивающих непрерывность воспроизводства, разработку и реализацию производственных, инновационных и социальных программ и проектов, позволяющих увеличить объемы производства, повысить эффективность функционирования общественного производства.

В условиях кризиса для России, инвестиции являются важнейшим средством структурного преобразования социального и производственного потенциала, подчинения его требованиям рынка.

Государственное управление инвестиционной сферой предполагает форму некоего «принуждения», без которого оно лишено смысла, поскольку, если бы рынок сам регулировал перелив капитала исходя из государственных интересов, то любое вмешательство государства в инвестиционный процесс было бы излишним.

Поэтому государство должно соединить интересы общества, понимаемые, прежде всего как сохранение его благополучия, с интересами предпринимательской деятельности, в том числе путем регулирования инвестиционных потоков.

В ситуации продолжающегося кризиса, дестабилизации экономики, воздействие государства на инвестиционный процесс приобретает особое значение, т.к. оживление инвестиционной деятельности - одно из условий выхода России из экономического кризиса и создания предпосылок для устойчивого развития.

Государственная инвестиционная политика должна быть нацелена на создание благоприятного инвестиционного климата в стране, на стимулирование привлечения частного капитала как национального, так и иностранного, а так же поиск новых форм совместного (частного и государственного) инвестирования в перспективные проекты.

Вмешательство государства должно отвечать интересам всех слоев общества, для того чтобы достичь наиболее эффективного общественного производства. Общественное производство может считаться эффективным только тогда, когда происходит гармоничное развитие всех структур общества, т.е. когда наряду с производственным сектором, инвестиции обеспечивают необходимое развитие социальной, экономической и культурной сферы.

Государство определяет инвестиционную политику потому, что только оно наделено политической властью и обладает способностью реализовать свою волю в правовых актах, регулирующих инвестиционные потоки, приоритетном финансировании и т.д.

Инвестиционная политика не может осуществляться сама по себе, в отрыве от социальной и экономической политики государства.

Реализация инвестиционной политики по сути своей направлена на улучшение социально-экономического положения в обществе в целом. Решение экономических проблем тесно связано с социальными проблемами, поэтому инвестиционную политику, как считают некоторые специалисты, можно считать важнейшим направлением социально-экономической политики государства, позволяющим добиться поставленных целей посредством государственного управления финансовыми средствами независимо от источников их образования.

Важной тактической формой управления инвестиционными потоками являются государственные финансовые ресурсы. Они призваны стимулировать развитие общественного производства или решение социальных проблем, возможно путем долевого участия государства в строительстве предприятий, подготовки площадок для строительства объектов производственной и социальной инфраструктуры с тем, чтобы сделать в дальнейшем регион привлекательным для частного инвестирования.

Кроме того, для повышения инвестиционной активности со стороны населения государство должно обеспечить высокий уровень жизни, социальную защищенность граждан, заботиться о благосостоянии нации. Эти меры также способствовали бы созданию благоприятного инвестиционного климата.


16 Финансовый раздел бизнес-плана

Финансовый план составляется на 3-5 лет и включает в себя:

- план доходов и расходов;

- план денежных поступлений и выплат;

- анализ состояния потока реальных денег (наличности);

- балансовый план;

ПРОГНОЗ ДОХОДОВ И РАСХОДОВ.

Этот прогноз составляется, по крайней мере, на первые три года, причем данные за первый год должны быть представлены в месячной разбивке. Он включает такие показатели, как ожидаемый объем продаж, себестоимость реализованных товаров и различные статьи расходов.

Поскольку основным источником доходов большинства фирм являются продажи, составление финансового плана начинается с прогнозирования продаж. Для составления планов доходов и расходов на первый год необходимо рассчитать объемы продаж по месяцам. Для составления прогноза используются такие методы, как опросы потребителей, опрос торговых работников, консультации с экспертами и т.д. Объемы продаж у новых предпринимателей обычно нарастают постепенно, а себестоимость реализованной продукции может "скакать" и в некоторые месяцы быть несоизмеримо высокой или низкой. Все будет зависеть от ситуации, складывающейся в тот или иной момент на рынке.

План расходов и доходов должен содержать также оценки всех статей косвенных (накладных, общефирменных) расходов по месяцам первого года. Расходы на заработную плату будут зависеть от численности сотрудников и их специальностей (эти данные берутся из организационного плана). В плане доходов и расходов следует предусмотреть и расходы на повышение заработной платы работающим сотрудникам. Необходимо также помнить, что в первые месяцы освоения рынка значительно выше расходы на командировки, выплаты комиссионных, представительские работы. С ростом фирмы возрастают расходы на страхование, на рекламу (если она предусмотрена планом маркетинга), на аренду дополнительных складских помещений. Все это должно найти отражение в плане доходов и расходов.

Помимо этих планов в разбивке по месяцам первого года, планы должны содержать прогнозные данные на конец второго и третьего года. При прогнозировании эксплуатационных расходов на второй и третий год рекомендуется начать с тех статей, расходы по которым, по всей вероятности, не будут меняться. Расходы по таким статьям, как амортизационные отчисления, коммунальные услуги, аренда и т.д. нетрудно подсчитать исходя из объема продаж на второй и третий год.

ПЛАН ДЕНЕЖНЫХ ПОСТУПЛЕНИЙ И ВЫПЛАТ.

Этот план, как и план доходов и расходов, строится на определенных предположениях, которые представляются реалистическими на момент составления прогноза, но со временем могут и не подтвердится. В этом случае в планы необходимо внести соответствующие коррективы. Все предложения и допущения должны быть четко сформулированы в тексте бизнес-плана, чтобы потенциальный инвестор смог понять, как была получена та или иная цифра. Если для какого-то месяца окажется, что выплаты превышают поступления, предприниматель должен заранее позаботится и взять на этот период деньги в долг. Если в другом месяце поступления превысят выплаты, то лишние деньги можно отдать в краткосрочную ссуду или положить на банковский счет до того времени, когда выплаты вновь будут превышать поступления.

ПРОГНОЗ ПОТОКА РЕАЛЬНЫХ ДЕНЕГ (НАЛИЧНОСТИ).

Такой прогноз строится на основании плана денежных поступлений и выплат. Он составляется на три года, с месячной разбивкой данных по первому году. Разные счета оплачиваются в разные сроки, поэтому определение потребностей в денежной наличности является важным моментом, особенно для первого года. Доходы могут различаться из месяца в месяц, да и деньги, вырученные от продаж, поступают на банковский счет фирмы не мгновенно, поэтому даже если продукция расходится хорошо, может возникнуть необходимость в краткосрочных займах для покрытия постоянных затрат, например, для выплаты заработной платы или за коммунальные услуги. Именно прогноз потока наличности и выявляет эти условия.


32 Инвестиционная политика региона

Развитие регионов в огромной степени связано с деятельно­стью трудовых коллективов, предпринимателей, с управлен^е-скими структурами и принимаемыми ими решениями. Кроме того, это развитие всецело зависит от наличия производствен­ных и финансовых ресурсов, от умелого их использования и от той перспективной инвестиционной политики. Вот почему вы­работка наиболее целесообразной инвестиционной политики — одна из ключевых задач, которая должна постоянно решаться в регионе, а затем и претворяться в жизнь.

Под инвестиционной политикой региона следует понимать систему поведения администрации региона в области распределе­ния имеющихся инвестиционных ресурсов с целью максимально воз­можного достижения заранее установленных приоритетов.

Инвестиционная политика в регионе может быть реализова­на непосредственно, если речь идет о распределении бюджетных средств, находящихся под контролем и в распоряжении админи­страции, и опосредовано, когда нужно направить в определен­ное русло внебюджетные инвестиции, которые администрация не контролирует, но может с помощью особых приемов и дейст­вии добиться желаемого их использования.

Согласно представленной схеме инвестиции, т.е: имеющиеся возможности инвестирования и последующие инвестиционные потоки в целом складываются из:

• бюджетных средств;

• внебюджетных средств — собственный капитал; привлеченный (заемный) капитал; иностранный капитал; спонсорские пожертвования.

Каждый инвестиционный поток переходит в инвестиционный процесс, реализующийся по заранее установленным направлени­ям, которые определяются исходя из разработанной концепции развития региона, учитывающей необходимую перспективу формирования его производственной структуры и инфраструк­туры, а также возможный идеал житейского состояния, к кото-рохму следует стремиться.

В соответствии с принятой концепцией развития региона инвестиции могут использоваться по:

• отраслям экономики, которые предпочтительно развивать;

• типам воспроизводства предприятий;

• районам и административным единицам, отстающих в своем развитии;

• производственным результатам (научные исследования, освоение производства новых моделей продукции, повы­шение ее качества, экономия производственных ресурсов, повышение производительности труда и пр.);

• срокам окупаемости и уровню эффективности инвести­ций (окупаемость краткосрочная, среднесрочная и долго­срочная).

Выбор направления использования инвестиций и их реа­лизация завершается определением эффективности этих инве­стиций. Она рассматривается с позиций получения конкрет­ного экономического эффекта, социального эффекта, являю­щегося следствием эффекта экономического и составляющего его определенную долю, и бюджетного эффекта. Все три со­ставляющие общего эффекта создают конкретные условия для развития региона и посредством обратной связи повышают на новом временном и производственном витке его инвестици­онные возможности.


20 ? Критерии эффективности инвестиционного проекта


Международная практика оценки эффективности инвестиций существенно базируется на концепции временной стоимости денег и основана на следующих принципах:

  1. Оценка эффективности использования инвестируемого капитала производится путем сопоставления денежного потока (cash flow), который формируется в процессе реализации инвестиционного проекта и исходной инвестиции. Проект признается эффективным, если обеспечивается возврат исходной суммы инвестиций и требуемая доходность для инвесторов, предоставивших капитал.

  2. Инвестируемый капитал равно как и денежный поток приводится к настоящему времени или к определенному расчетному году (который как правило предшествует началу реализации проекта).

  3. Процесс дисконтирования капитальных вложений и денежных потоков производится по различным ставкам дисконта, которые определяются в зависимости от особенностей инвестиционных проектов. При определении ставки дисконта учитываются структура инвестиций и стоимость отдельных составляющих капитала.

Суть всех методов оценки базируется на следующей простой схеме: Исходные инвестиции при реализации какого-либо проекта генерируют денежный поток CF1, CF2, ... , CFn. Инвестиции признаются эффективными, если этот поток достаточен для

  • возврата исходной суммы капитальных вложений и

  • обеспечения требуемой отдачи на вложенный капитал.

Наиболее распространены следующие показатели эффективности капитальных вложений:

  • дисконтированный срок окупаемости (DPB).

  • чистое современное значение инвестиционного проекта (NPV),

  • внутренняя норма прибыльности (доходности, рентабельности) (IRR),

Данные показатели равно как и соответствующие им методы, используются в двух вариантах:

  • для определения эффективности независимых инвестиционных проектов (так называемая абсолютная эффективность), когда делается вывод о том принять проект или отклонить,

  • для определения эффективности взаимоисключающих друг друга проектов (сравнительная эффективность), когда делается вывод о том, какой проект принять из нескольких альтернативных.

7. 2. Метод дисконтированного периода окупаемости

Существенным недостатком метода дисконтированного периода окупаемости является то, что он учитывает только начальные денежные потоки, именно те потоки, которые укладываются в период окупаемости. Все последующие денежные потоки не принимаются во внимание в расчетной схеме. Так, если бы в рамках второго проекта в последний год поток составил, например $1000, то результат расчета дисконтированного периода окупаемости не изменился бы, хотя совершенно очевидно, что проект станет в этом случае гораздо более привлекательным.

7. 3. Метод чистого современного значения (NPV - метод)

Этот метод основан на использовании понятия чистого современного значения (Net Present Value)

,

где CFi - чистый денежный поток,
r - стоимость капитала, привлеченного для инвестиционного проекта.

7. 5. Внутренняя норма прибыльности (IRR)

По определению, внутренняя норма прибыльности (иногда говорят доходности) (IRR) - это такое значение показателя дисконта, при котором современное значение инвестиции равно современному значению потоков денежных средств за счет инвестиций, или значение показателя дисконта, при котором обеспечивается нулевое значение чистого настоящего значения инвестиционных вложений.

Экономический смысл внутренней нормы прибыльности состоит в том, что это такая норма доходности инвестиций, при которой предприятию одинаково эффективно инвестировать свой капитал под IRR процентов в какие-либо финансовые инструменты или произвести реальные инвестиции, которые генерируют денежный поток, каждый элемент которого в свою очередь инвестируется по IRR процентов.

Математическое определение внутренней нормы прибыльности предполагает решение следующего уравнения

,

где: CFj - входной денежный поток в j-ый период,
INV - значение инвестиции.

Решая это уравнение, находим значение IRR. Схема принятия решения на основе метода внутренней нормы прибыльности имеет вид:

  • если значение IRR выше или равно стоимости капитала, то проект принимается,

  • если значение IRR меньше стоимости капитала, то проект отклоняется.


Инвестиционная деятельность в рыночных условиях

Инвестиционная деятельность в рыночных условиях хозяйствова­ния является предпринимательской деятельностью и осуществляется хозяйствующими субъектами на инвестиционном рынке с целью по­лучения прибыли (дохода). Товарами на инвестиционном рынке явля­ются указанные выше объекты инвестиционной деятельности.

В соответствии с классификацией товаров (объектов) инвестици­онный рынок распадается на ряд относительно самостоятельных рын­ков, характеристика которых приведена в таблице 2.1.3. ;

Состояние инвестиционного рынка и его сегментов характери-зуется такими показателями, как спрос, предложение, цеш, конку­ренция. Поскольку инвестиционный рынок во многих своих сегментах находится на этапе становления, то вышеуказанные по­казатели постоянно меняются, что отражает изменчивость эконо­мики РФ.

Таблица 2.1.3 Структура инвестиционного рынка

Инвестиционный рынок

Рынок объектов реального инвестирования


Рынок объектов финансо­вого инвестирования


Рынок объектов инно­вационных инвестиций


Рынок не­движимости


Рынок пря­мых капи­тальных вло­жений


Рынок про­чих объек­тов реаль­ного инвес­тирования


Фондовый рынок


Денежный рынок


Рынок ин­теллектуаль­ных инве­стиций


Рынок на­учно-техни­ческих но­ваций


Промыш­ленные объ­екты


Новое стро­ительство


Художест­венные цен­ности


Акции


Депозиты


Лицензии


Научно-тех­нические проекты


Жилье


Реконструк­ция


Драгоцен­ные метал­лы и изде­лия


Государст­венные обя­зательства


Ссуды и кредиты



Рационали­заторство


Объекты ма­лой прива­тизации


Техничес­кое перево­оружение


Прочие ма­териальные ценности


Опционы и фьючерсы


Валютные ценности


Патенты


Новые тех­нологии


Земельные участки



О бъекты незаверше -иного

строительс­тва


Аренда



Таблица 2.1.4 Последовательность изучения инвестиционного, рынка

Изучение конъюнктуры инвестиционного рынха


1. Оценка и прогнозирование макроэкономических показателей развития инвести­ционного рынка


2. Оценка и прогнозирование инвестиционной привлекательности отраслей (подо­траслей) экономики


3. Оценка и прогнозирование инвестиционной привлекательности регионов


4. Оценка инвестиционной привлекательности отдельных инвестиционных проектов, сегментов инвестиционного рынка


5. Разработка стратегии инвестиционной деятельности предприятия


6. Формирование эффективного инвестиционного портфеля предприятия, включа­ющего как реальные капитальные вложения, так и финансовые и инновационные инвестиции


7. Управление инвестшщонным портфелем предпршггия (в том члсле диверсифика­ция инвестиций, реинвестирование капитала и пр.)


Изучение рыночной конъюнктуры инвестиционного рынка (см. также главу 12) особенно важно для инвесторов по причине больших рисков, влекущих за собой снижение доходов и, зачастую, потерю инвестируемого капитала. В таблице 2.1.4 приведена последователь­ность действий при изучении конъюнктуры инвестиционного рынка.

Как и для всякого рынка, для сегментов инвестиционного рынка характерны четыре основные стадии его развития — конъюнктурный подъем, конъюнктурный бум, период стабильности, конъюнктурный спад. Следует отметить, что для различных рынков в составе инвести­ционного рынка стадии не одинаковы, что дает возможность перели­вания инвестиционного капитала из объектов инвестиций рынка на спаде в объекты рынка на подъеме. Кроме того, в рамках одного рынка, например, акций имеется различная конъюнктура разных акций.

Это создает предпосылки оптимизации инвестиционной деятель­ности предприятия с целью получения стабильного и высокого дохода от этой деятельности.

Для изучения конъюнктуры инвестиционного рынка предприятие должно строить систему его мониторинга для постоянного отслежива­ния динамики рынка по основным показателям как макроэкономиче­ского развития, так и развития сегментов рынка. Мировая практика работы на рынках инвестиций имеет уже развитую систему индикато­ров инвестиционной привлекательности отдельных рынков и объектов, регулярно публикуются рейтинга объектов инвестирования, оценива­емые экспертами. В нашей стране эта практика только начинает свое развитие, что определяется начальной стадией развития инвестицион­ного рынка и сложностью получения достоверной информации.


31 Инвестиционные и подрядные конкурсы

В Положении используются следующие термины:

      • подрядные торги - форма размещения заказа на строительство и ремонтные работы, предусматривающая выбор подрядчика для выполнения работ и оказания услуг на основе конкурса;

      • объект торгов - производственный или непроизводственный объект, к которому относится предмет торгов;

      • предмет торгов - право на выполнение конкретных видов работ и услуг, по которым проводятся торги;

      • участник торгов - лицо, имеющее право принимать участие в торгах; 

      • заказчик - организация или предприятие, для которой строится, реконструируется, ремонтируется или оснащается объект торгов; 

      • организатор торгов - лицо, которому поручено проведение торгов; 

      • тендерная документация - комплект документов, содержащих исходную информацию о технических, коммерческих, организационных и иных характеристиках объект а и предмета торгов, а также об условиях и процедуре торгов;

      • тендерный комитет - постоянный или временный орган, создаваемый для проведения торгов;

      • тендер - конкурсная форма проведения подрядных торгов, представляющих собой соревнование представленных претендентами оферт с точки зрения их соответствия критериям, содержащимся в тендерной документации;

      • претендент - лицо, решившее принять участие в торгах до момента регистрации оферты;

      • оферта - предложение участника торгов (подрядчика) с намерением заключить контракт (подрядный договор) с заказчиком на основе тендерной документации на условиях взаимной выгоды по ценам, срокам и качеству; 

      • оферент - лицо, от имени которого представлена оферта.

Подрядные торги могут проводиться:

      • при размещении заказов на строительство предприятий, зданий и сооружений производственного и непроизводственного назначения, в том числе на условиях "под ключ", на выполнение проектных, строительных, монтажных, ремонтных и других видов работ;

      • на поставку комплектного технологического оборудования.

В подрядных торгах могут принимать участие любые предприятия и организации независимо от форм собственности и имеющие лицензии на соответствующие виды деятельности.
Организатор торгов вправе требовать от участников торгов предоставления документов или иной информации необходимой для удостоверения квалификации.
Запрещается участие в торгах организаций и фирм, имеющих непосредственную организационно - правовую или финансовую зависимость друг от друга (учредительство, финансовое участие, холдинг).

  1. УЧАСТНИКИ ТОРГОВ

    1. Основными участниками подрядных торгов являются: заказчик, организатор торгов, тендерный комитет, претенденты, оференты.

    2. Заказчик на момент принятия решения о проведении подрядных торгов должен обладать необходимыми инвестиционными ресурсами, подтвержденными соответствующими финансовыми документами, обязан иметь статус официального юридического лица с соответствующей регистрацией.
      При проведении торгов заказчик участвует в работе тендерного комитета, устанавливает окончательные условия договора подряда и заключает его с победителем торгов.

    3. Организацию торгов на строительство, проектирование и ремонт объектов, финансируемых из источника по п.1.2. настоящего Положения, осуществляет Управление архитектуры и градостроительства Администрации города.

    4. Организатором торгов по объектам, финансируемым из других источников, может быть заказчик, либо юридическое лицо им уполномоченное.

    5. Организатор торгов осуществляет следующие функции: 

      • подготавливает документы для объявления торгов;

      • формирует тендерный комитет, используя собственных специалистов, представителей проектных, научно-исследовательских и других организаций, отдельных экспертов.
        Работа лиц, привлекаемых к участию в деятельности тендерного комитета, оплачивается на основании заключаемых с ними договоров в соответствии с действующим законодательством, направляет и контролирует деятельность тендерного комитета по подготовке тендерной и другой необходимой информации;

      • утверждает результаты торгов;

      • рассматривает апелляции на решения тендерного комитета;

      • контролирует заключение договоров заказчика с победителем торгов;

      • финансовые отношения, пределы прав и обязанности организатора торгов устанавливаются в договоре "На организацию и проведение подрядных торгов", заключаемым с заказчиком


33 Кредитование капитальных вложений

Капитальные вложения представляют собой использование обществом валового национального продукта на воспроизводство основных фондов. По форме они выступают как совокупность затрат на создание новых, а также техническое перевооружение, реконструкцию и расширение действующих основных фондов производственного и воспроизводственного назначения. Капитальные вложения имеют важное народнохозяйственное значение, определяемое ролью, которую выполняют вновь созданные или модернизированные средства труда в процессе производства материальных благ. Как важный фактор расширенного общественного воспроизводства достижений научно-технического прогресса, что создает материальные условия для роста и совершенствования общественного производства и повышения материального благосостояния народа. Капитальные вложения различаются по формам собственности отраслевому и территориальному признаку, назначению сооруженных объектов, формам воспроизводства основных фондов, составу затрат, способу строительства, источникам финансирования. Эффективность капитальных вложений в значительной мере зависит от их структуры. Различают отраслевую, территориальную, воспроизводственную и технологическую структуры капитальных вложений, которые определяют их соотношения в различных отраслях, регионах, формах воспроизводства основных фондов и отдельных затратах.

Современная инвестиционная политика направлена на обеспечение социальной направленности и высокой народнохозяйственной эффективности капитальных вложений, а также на использование их преимущественно на техническое перевооружение и реконструкцию действующих предприятий.

Важное значение капитальных вложений и необходимость более полного использования товарно-денежных отношений в условиях перехода к рынку объективно требуют государственного регулирования (прямого и косвенного) финансово-кредитных отношений между субъектами инвестиционной деятельности. Эти отношения складываются на основе социально ориентированной рыночной экономики, которая построена на функционировании различных форм собственности.

Совокупность основных правил и рекомендаций, которые определяют состав источников денежных средств для капитальных вложений, порядок их мобилизации банками и предоставления субъектам инвестиционной деятельности, а также контроля за целевым и эффективным использованием этих средств образует ядро системы финансирования и кредитования капитальных вложений. Особенности воспроизводства основных фондов, строительного производства и его продукции обуславливают относительную самостоятельность и специфические черты этой системы.

Различают два основных метода обеспечения капитальных вложений денежными средствами: безвозвратный, или финансирование, и возвратный, или кредитование. Безвозвратное предоставление средств не обусловлено их возвратом в заранее установленные сроки. В каком порядке используются бюджетные ассигнования, собственные и привлеченные средства инвесторов и, как правило, средства специальных внебюджетных фондов.

Основными принципами финансирования являются прямой и планово-целевой характер, его непрерывность, предоставление средств в меру выполнения плана (контракта), денежный контроль в процессе финансирования и безвозвратность предоставления средств. Прямой характер финансирования означает, что средства на капитальные вложения предоставляются предприятия и организациям непосредственно. Планово-целевой характер финансирования заключается в том, что средства выдаются только на те стройки, которые обеспечены утвержденной проектно-сметной документацией и принято соответствующее решение об их сооружении. Важным принципом финансирования капитальных вложений является предоставление средств подрядным и другим организациям в соответствии с выполнением плана (контракта).

Так, проектные работы оплачиваются после окончания всех работ или их этапа, а также другого показателя объема этих работ, а при поступлении "россыпью" - по мере его поступления на стройку. Необходимость непрерывного финансирования обусловлена непрерывностью самого строительства. Неотъемлемой чертой финансирования является контроль денежной единицей за целевым и эффективным использованием средств на капитальные вложения со стороны банков и органов хозяйственного управления. Особое значение он имеет при финансировании капитальных вложений за счет бюджетных и других централизованных средств. При финансировании их за счет собственных средств инвесторов последние сами заинтересованы в эффективности капитальных вложений, поэтому банки могут не контролировать такие вложения. Только по просьбе инвесторов на договорных началах за отдельную плату они могут осуществлять такой контроль, например, проверять качество проектно-сметной документации или проводить контрольные обмеры оплаченных строительно-монтажных и других работ.

Возвратное предоставление средств, или кредитование, производится на условиях возвратности предоставленных средств в конкретные сроки и определенных размерах. Банки предоставляют долгосрочный кредит на капитальные вложения в основном на тех же принципах, на которых производится финансирование. Кроме того, кредитование является возвратным, срочным, платным и обеспеченным. Долгосрочное кредитование более полно, чем безвозвратное финансирование, отвечает условиям перехода к рынку. Необходимость погашения кредита и уплаты процентов за пользование им больше заинтересовывает заемщиков в рациональном технико-экономическом обосновании направления и размера кредита, содействует усилению режима экономии в процессе его использования, а также является средством контроля за окупаемостью капитальных вложений.

Капитальные вложения выступают как одна из форм инвестиций в экономику страны. Непрерывность и достаточность их являются обязательными для нормального функционирования экономики каждой страны. В настоящее время инвестиционная деятельность в стране осуществляется в условиях общего кризиса ее экономики, нестабильности социально-экономического положения в стране. Гиперинфляция, либерализация цен, дефицит бюджета, тяжелое финансовое состояние предприятий и организаций, платежный кризис, непрерывный рост стоимости строительства, дорогой банковский кредит, а также другие кризисные явления вызвали резкое снижение объемов капитальных вложений, капитального строительства и ввода производственных мощностей и объектов строительства, что обусловило спад производства необходимой продукции. Одной из мер по выводу экономики из кризиса должна являться активизация инвестиционной деятельности, для чего необходимо изыскать средства для дополнительных капитальных вложений, направить их на выполнение приоритетных государственных программ, обеспечить их целевое и эффективное использование.


В настоящее время процесс установления процентной ставки за кредиты не регулируется нормативными актами. Плата за пользование долгосрочным кредитом определяется банками с учетом продолжительности срока кредитования, предоставленных заемщиками гарантий своевременного возврата кредита, спроса и предложений кредитных ресурсов и их цены, а также наличия кредитного риска. Устанавливаемые банками процентные ставки должны обеспечивать полное покрытие их расходов и получение прибыли от осуществления хозрасчетной деятельности.

Повышенные размеры процентной ставки предусматриваются кредитным договором в случае нарушения нормативных сроков строительства, получения дополнительных кредитов и переуступки банков сроков возврата ссуды.

Процент за пользование кредитом начисляется в размерах и сроки, предусмотренные кредитным договором.


40 Инвестиционная политика государства на ближайшие годы


Инвестиционная политика в ближайшие годы должна быть наце­лена на развитие инвестиционной деятельности в области промыш­ленного и сельскохозяйственного производства, науки и техники, транспорта, внешнеэкономических связей и сотрудничества со стра­нами СНГ на основе совершенствования системы управления на всех уровнях, улучшения технологической структуры производства, повы­шения в нем доли продукции с высокой степенью обработки, развития инфраструктуры экономики, развития системы свободного движения товаров, труда и капитала. Наиболее важными задачами инвестиционной политики должны стать:

• создание благоприятного климата для инвестиций, трансфор­мации сбережений в инвестиции;

• увеличение объемов и эффективности инвестиций;

• переход от распределения бюджетных ассигнований на капиталь­ное строительство между отраслями и регионами к избирательно­му финансированию конкретных объектов и формированию состава таких объектов на конкурсной основе;

• повышение роли государственных инвестиций в структурной политике государства;

• создание благоприятных условий (в первую очередь через стабилизацию налогового режима) для привлечения иностранных инвестиций;

• формирование стабильной и «прозрачной» нормативно-правовой базы, регулирующей привлечение иностранных инвестиций;

• развитие договорно-правовой основы участия России в межлуна-родном инвестиционном сотрудничестве (соглашения о поощ­рении и взаимной защите капиталовложений, участие в подготовке Многостороннего соглашения по инвестициям и другие);

• развитие инвестиционного сотрудничества со странами ближнего зарубежья на .основе создания международных финансово-промышленных групп, консорциумов для осуществления инвестиционной деятельности, расширения совместного государ­ственно-коммерческого финансирования инвестиционных про­ектов, международного финансового лизинга. Учитывая ограниченность финансовых ресурсов государства, они должны направляться на высокоэффективные, инновационные про­екты, позволяющие сделать технологический прорыв, на создание продукции, способной выйти на внешний рынок, на поддержку быс-троокупаемых, надежных, эффективных проектов, стимулирующих развитие отечественного производства («точек роста»).

В отраслях, характеризующихся техническим отставанием и ориентированных на внутренний рынок, предполагается применять методы стимулирования внутреннего и внешнего спроса (защитные импортные тарифы и сертификация импортной продукции в пределах, допускаемых международными нормами, кредитование, поощрение лизинга и т.п.). Экспортно ориентированные отрасли должны быть нацелены на самостоятельное развитие на основе самофинансирования.

Важной задачей является введение противозатратных механизмов и организация действенного контроля за обоснованностью затрат, включаемых в цены (тарифы).


В соответствии с расчетами, реализация условий формирования массового среднего класса предполагает, что уровень потребления должен возрасти по сравнению с сегодняшним в 1.7-1.8 раза. Отсюда вытекает ряд конкретных задач, которые российское общество должно решить в течение 2000-2010 гг.:

обеспечить поступательное повышение реальных доходов граждан страны не менее чем на 75%;

резко снизить масштабы бедности, уменьшив втрое численность населения с доходами ниже прожиточного минимума;

увеличить к 2003 г. средний размер начисленных пенсий до уровня прожиточного минимума;

обеспечить поддержку и развитие социальных институтов, определяющих качество “человеческого капитала” (образование, здравоохранение, культура). Расходы из бюджетов всех уровней на социальную сферу в реальном выражении должны увеличиться по сравнению с 2000 г. не менее, чем на 60%.

Необходимость решения данных социальных задач, параллельно с обеспечением достаточного уровня национальной безопасности, задает предельно жесткие требования к экономическому росту. Его граница оказывается достаточно высокой – не ниже 5-6% в среднем за год. Кроме того, в перспективе темпы роста произ­водства первичных ресурсов не смогут превысить 2-4% в среднем за год, а это озна­чает, что повышение эффективности их использования должно составлять не менее 2-3% в год. В такой ситуации ключевым звеном обеспечения экономического роста (а значит, и всей стратегии реализации главной цели развития социального государства) в ближайшие десять лет является инвестиционный прорыв. Он имеет несколько критически необходимых компонент:

обеспечение форсированного роста капиталовложений, объем которых должен как минимум удвоиться в предстоящее десятилетие, т.е. увеличиваться со средним темпом не ниже 8-9% в год;

осуществление структурного инвестиционного маневра в пользу секторов, способных обеспечить конкурентоспособность российской экономики в мировом хозяйстве;

обеспечение инвестиционной поддержки ряда ключевых секторов, не обладающих в целом достаточным инвестиционным потенциалом (в част­ности, сельского хозяйства, электроэнергетики);

обеспечение инновационного наполнения инвестиций (в противном случае инвестиционный рост будет способствовать воспроизводству устаревших технологий и консервировать экономическую отсталость страны).

При этом, для того, чтобы инвестиции стали действительно значимым фактором конечного спроса и “локомотивом роста”, в их материальном обеспечении существенную роль должно играть отечественное машиностроение. Это предполагает, в частности, его ускоренную модернизацию на основе как имеющегося инновационного и технологического потенциала, так и импорта.


 
© 2012 Рефераты, доклады, дипломные и курсовые работы.