реферат
Главная

Рефераты по биологии

Рефераты по экономике

Рефераты по москвоведению

Рефераты по экологии

Краткое содержание произведений

Рефераты по физкультуре и спорту

Топики по английскому языку

Рефераты по математике

Рефераты по музыке

Остальные рефераты

Рефераты по авиации и космонавтике

Рефераты по административному праву

Рефераты по безопасности жизнедеятельности

Рефераты по арбитражному процессу

Рефераты по архитектуре

Рефераты по астрономии

Рефераты по банковскому делу

Рефераты по биржевому делу

Рефераты по ботанике и сельскому хозяйству

Рефераты по бухгалтерскому учету и аудиту

Рефераты по валютным отношениям

Рефераты по ветеринарии

Рефераты для военной кафедры

Рефераты по географии

Рефераты по геодезии

Рефераты по геологии

Реферат: Витамин В1

Реферат: Витамин В1

Краткая историческая справка: Витамин В1 это тот витамин, которому человечество обязано открытием всех остальных витаминов. Во времена расцвета английских колоний в странах Юго-Восточной Азии у Английских колонизаторов развивалась не виданная ранее болезнь, течение которой не походило ни на одно ранее известное заболевание и часто вызывала смерть. Местные аборигены называли болезнь «бери-бери» и связывали непонятное явление с «гневом богов» посланным на ненавистных захватчиков. Как было замечено, «гневом богов» заболевали лишь англичане, в то время как на местных жителей «боги не гневались».

Только детально изучив положение дел, учёным удалось выяснить причину болезни. Как выяснилось, местные жители употребляли в пищу не ободранный рис, т.е. с кожурой, в то время как англичане в силу своей цивилизованности ели только ободранный рис. Чуть позже был открыт витамин В1. Так же открыли, что этот витамин содержится только в оболочках зёрен растений, в самих зёрнах его нет. В1 относиться к группе водорастворимых витаминов.

Водорастворимые витамины: Водорастворимые витамины не растворяются в жирах и многих органических растворителях, но хорошо растворяются в воде, термолабильны, неустойчивы к изменениям рН, не могут депонироваться в тканях. Многие из них являются составными частями ферментов и непосредственными участниками большинства реакций обмена веществ во всех живых организмах.

Витамин B1 (тиамин) - первый витамин, открытый наукой. Изучение его связано с выяснением заболевания «бери-бери», распространенного в стра­нах Юго-Восточной Азии.

Гипо - и авитаминозы. При недостатке или отсут­ствии в рационе витамина B1 развиваются гипо - и авитаминозы. Иногда их причиной может быть наличие в кормах папоротника орляка, содержащего фермент тиаминазу, которая гидролитически расщепляет ви­тамин. К недостатку в рационе витамина B1 наиболее чув­ствительны птица, телята, ягнята, лошади, свиньи, собаки и пушные звери. Наступают нарушения деятель­ности нервной (парез и паралич), сердечно­сосудистой систем (стенокардия), пищевого  канала (уменьшается секреция пищеварительных желез, атония, отсутствие ап­петита), резко падает уровень продуктивности. У птицы на ранних стадиях авитаминоза возникают судороги мышц  шеи, у свиней нарушается ритм работы сердечной мышцы. Развиваются Судороги, гипергликемия, ацидоз, в крови накапливается много пировиноградной кислоты, в поджелудочной железе дегенерируют островки Лангерганса, в надпочечниках - хромаффинная ткань, в различных участках нервной системы - нейроны. Развиваются кровоизлияния, парез, паралич, резкое истощение, и наступает смерть. В крови и тканях при этом накапливаются кетокислоты, что вызывает тяжелое нару­шение, особенно в тканях с высокой интенсивностью обмена веществ (мозг, сердце). При недостатке витамина В1 тормозятся как процессы пре­вращения пировиноградной кислоты в активированную уксус­ную кислоту, так и реакции цикла лимонной кислоты в целом.

      Внешними признаками недостаточности являются параличи и полупараличи (полиневриты), судороги и другие нарушения. Особенно чувствительны к недостатку витамина В1 птицы (цып­лята, индюшата и голуби). У больных птиц отмечается взъерошенность оперения, общая слабость, дегенерация скелетных мышц и мускульного желудка, запрокидывание головы и рас­стройства желудочно-кишечного тракта.

Свиньи реагируют на недостаток витамина потерей аппети­та, общей слабостью, поносами, судорогами и нервными рас­стройствами. Затем появляются кровоизлияния в стенках же­лудка и кишечника, нарушается воспроизводительная способ­ность и атрофия сердечной мышцы.

Витамин В1 широко распространен в различных кормах (зерна злаков, мука грубого помола и дерть, отруби, горох, рыбная мука, сухой обрат, молоко и молочная сыворотка). Очень высоким содержанием витамина В1 отличаются дрожжи, в которых тиамин находится в виде пирофосфорного эфира. Наибольшее количество витамина B1 в печени, почках, сердеч­ной мышце и в мозгу.

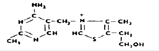
Химическое строение и свойства. Витамин В1 яв­ляется производным двух соединений - тиазола (4-метил-5-оксиэтилтиазола) и пиримидина (2-метил-5-оксиметил-6-аминопиримидина).

В животных тканях и дрожжах витамин В1 находится не в свободном состоянии, а в виде тиаминпирофосфата, т. е. в виде пирофосфорного эфира:

Витамин В1 — белый кристаллический порошок горь­кого вкуса, с характерным запахом, хорошо рас­творяется в воде, относительно устойчив в слабокислой среде, выдерживает сильное нагревание и воздействие кислорода. В щелочной среде, особенно при температуре выше 100° С, он быстро пре­вращается в тиохром.

В природных кормах потери витамина В1 практически не имеют значения, но активность тиамина может снижаться при сушке (например, рыбной муки, сухого снятого молока).

Природные источники и потребность животных. Ви­тамин В1 синтезируется тканями растений и микроба­ми. В 1 кг корма содержится витамина В1 (мг):

Пивные дрожжи                                                                      68,6
Пекарские дрожжи                                                             30,0
Трава (разнотравье, клевер, люцерна)                           10,0
Зерно ячменя                                                                        3,1
Картофель                                                                                                                            1,0

Потребность в витамине организм удовлетворяет за счет тиамина кормов и бактериального синтеза в пи­щевом канале. Тиамин в преджелудках жвачных (в ос­новном в рубце) синтезируется бактериями вида Flavobaclerium vitarumen. Содержание витамина умень­шается по мере перехода от рубца к сычугу. Суточная потребность для свиней составляет 1-1,8 мг на 1 кг сухого вещества корма, для телят-8-15 мг на голо­ву, для ягнят — 2—4 мг на голову.

Обмен в организме. Организм получает витамин с кормом и за счет синтеза микробами пищевого канала. Тиамин корма поступает в свободном, этерифицированном и частично в связанном виде. Две последние формы расщепляются в кишках под влиянием гидролаз с образованием свободного тиамина. С током крови после всасывания он поступает во все органы и тка­ни. Часть тиамина в печени фосфорилируется. Наи­большие концентрации витамина выявляются в миокар­де, печени, мозгу, легких, почках и надпочечниках. Избыток тиамина и продукты его распада выделяются с мочой и частично с калом.

Значение для обмена веществ. Биологическое зна­чение тиамина, прежде всего, обусловлено его коферментными функциями. Тиамин, который поступает в ткани с током крови, фосфорилируется под влиянием фермента тиаминпирофосфокиназы:

                                  Mg2 +

тиамин + АТФ ———» тиаминпирофосфат + АМФ.

Тиаминпирофосфат составляет 70-90% всех фосфор­ных эфиров тиамина тканей, остальное количество составляют тиаминмонофосфат и тиаминтрифосфат. Тиа­минпирофосфат - кофермент пируватдекарбоксила-зы, катализирующей окислительное декарбоксилирование пировиноград-ной и других а-кетокислот.

Одна из основных химических реакций, в которых участвует тиаминпирофосфат, - декарбоксилирование пировиноградной кислоты с образованием ацетил-коэнзим А. Если в кормах и организме нет тиамина, то фермент не синтезируется, в тканях накапливается пировино-градная кислота, возникает явление ацидоза, при котором разрушаются клетки, прежде всего нервной системы. Это приводит к ряду патологичес-ких нару­шений, характерных для гипо - и авитаминозов В1. Кроме того, тиаминпирофосфат входит в состав свыше 30 ферментов, принадлежа-щих к различным классам. В частности, он входит в состав молекулы                                        2-оксоглутаратдегидрогеназы, катализирующей декарбо­ксилирование                               а-кетоглутаровой кислоты до янтарной. Является составной частью транскетолазы, осущест­вляющей перенос двууглеродного остатка (активного гликолевого альдегида) от ксилулозо-5-фосфата на           рибозо-5-фосфат. Тиамин ускоряет реакцию дегидриро­вания янтарной кислоты, предохраняет витамин С от окисления, обеспечивает стабильность концентрации витамина В6 в тканях, способствует биосинтезу нуклеиновых кислот, белков, глюкозы, гликогена и жиров в тканях животного.

Антивитамины. Антивитамины делятся на две груп­пы - структурные аналоги тиамина и тиаминазы. Структурные аналоги могут входить в состав молекул карбоксилаз, вытеснять из них тиамин, вызывая ингибирование их действия. К ним относятся окситиамин и пиритиамин (формулу первого см. ниже).

Тиаминазы способны расщеплять молекулу тиамина на две неактивные части: пиримидиновую и тиазольную.

Применение. Препараты витамина и корма, богатые тиамином, применяют при лечении полиневритов и невритов, неврозов, стенокардии, нефритов, ожогов, ахилии и др.


Список используемой литературы:

1.    А.И. Кононский, Биохимия животных. -М.: Колос, 1992.

2.    А.В. Чечеткин, Биохимия животных. -М.: Высшая          школа, 1982.

3.    Ю.Д. Третьяков, Химия. Справочные материалы. –М.: Просвещение, 1984.

4.    А.Н. Голиков, Физиология сельскохозяйственных  животных. –М.: Агропромиздат, 1991

5.    А.М. Прохоров, Большой энциклопедический словарь. -М.: Советская энциклопедия, 1991

6.    В.И. Георгиевский, Практическое руководство по физиологии сельскохозяйственных животных. –М.: Высшая школа, 1976

7.    А.Г. Тен, Кормопроизводство. –М.: Колос, 1982

На самом деле, что касается литературы, то, это всё ложь и провокация. В действительности использовались тоько первые две книги (примечание автора).

И ещё пару слов полезной информации: За время моего студенчества у меня накопились и продолжают накапливаться всякие разные рефераты (по естественным наукам), если что кому надо, и если у меня такая хрень есть, то могу помочь /совершенно бесплатно/ Мой ящик: Chichenkovvv@front.ru

ИВАН


 
© 2012 Рефераты, доклады, дипломные и курсовые работы.