реферат
Главная

Рефераты по биологии

Рефераты по экономике

Рефераты по москвоведению

Рефераты по экологии

Краткое содержание произведений

Рефераты по физкультуре и спорту

Топики по английскому языку

Рефераты по математике

Рефераты по музыке

Остальные рефераты

Рефераты по авиации и космонавтике

Рефераты по административному праву

Рефераты по безопасности жизнедеятельности

Рефераты по арбитражному процессу

Рефераты по архитектуре

Рефераты по астрономии

Рефераты по банковскому делу

Рефераты по биржевому делу

Рефераты по ботанике и сельскому хозяйству

Рефераты по бухгалтерскому учету и аудиту

Рефераты по валютным отношениям

Рефераты по ветеринарии

Рефераты для военной кафедры

Рефераты по географии

Рефераты по геодезии

Рефераты по геологии

Реферат: Издержки производства и пути их снижения

Реферат: Издержки производства и пути их снижения

МИНИСТЕРСТВО ОБЩЕГО И ПРОФЕССИОНАЛЬНОГО ОБРАЗОВАНИЯ РОССИЙСКОЙ ФЕДЕРАЦИИ


СЕВЕРО-КАВКАЗСКИЙ ГОСУДАРСТВЕННЫЙ ТЕХНИЧЕСКИЙ УНИВЕРСИТЕТ

К У Р С О В А Я    Р А Б О Т А

П О   Д И С Ц И П Л И Н Е

ОСНОВЫ ЭКОНОМИЧЕСКОЙ ТЕОРИИ

На тему : «Издержки производства, их сущность, виды и пути снижения»

Студентки ФЭФ, специальности «ЭУМ», группы 991

Байрамуковой А.М.

Научный руководитель Туманян И.В.

Ставрополь – 2000г


Содержание

Введение………………………………………………3

1. Экономическая природа и содержание издержек производства

1.1  Понятие издержек производства……………………..5

1.2 Определение издержек производства………………...9

2. Влияние издержек на прибыль и пути их снижения

2.1 Анализ соотношения затрат и прибыли…………….14

2.2 Пути снижения издержек производства……………..20

2.3 Взаимосвязь издержек производства и прибыли..…24

Заключение……………………………………….…30

Список литературы…………………………….…..32


Введение

Целями данной курсовой работы является изучение издержек производства, их сущности и пути их снижения, влияния издержек на прибыль. Издержки производства сейчас являются довольно серьёзной и актуальной проблемой на сегодняшний день, потому что в условиях рыночных отношений центр экономической деятельности перемещается к основному звену всей экономики – предприятию. Именно на этом уровне создается нужная обществу продукция, оказываются необходимые услуги. На предприятии сосредоточены наиболее квалифицированные кадры. Здесь решаются вопросы экономного расходования ресурсов, применения высокопроизводительной техники, технологии. На предприятии добиваются снижения до минимума издержек (затрат) производства и реализации продукции.

Затраты отражают, сколько и каких ресурсов было использовано фирмой. Например, элементами затрат на производство продукции (работ, услуг) являются сырье и материалы, оплата труда и др. Общая величина затрат, связанных с производством и реализацией продукции (работ, услуг), называется себестоимостью.

Себестоимость продукции (работ, услуг) является одним из важных обобщающих показателей деятельности фирмы (предприятия), отражающих эффективность использования ресурсов; результаты внедрения новой техники и прогрессивной технологии; совершенствование организации труда, производства и управления.

          В первой главе рассматривается сама природа издержек и их определение этот вопрос особенно важен в переходный этап Российской экономике, так как он носит определяющее действие для российского предпринимательства. Каждый предприниматель должен уметь хорошо считать свои издержки производства. Если он не умеет считать свои затраты, то очень велика вероятность того, что они окажутся больше доходов, т.е. фирма будет терпеть убытки. А если предприятие попадает в состояние финансового кризиса, то выйти из него бывает очень тяжело. Прежде чем начинать какое-либо новое дело, необходимо провести как можно более точные расчеты, спрогнозировать и спланировать свою будущую деятельность, изучить как внешние факторы, которые могут повлиять на положение фирмы, например спрос, так и внутренние, например издержки производства.

А для экономиста знание издержек производства важно еще с той точки зрения, что они, как мы увидим далее, являются одним из наиболее важных факторов, влияющих на предложение продукции на рынке.

Немаловажен вопрос об определении издержек (затрат), он является целью для рассмотрения второго параграфа первой главы.      Существуют различные понятия издержек производства, которые с разных точек зрения характеризуют затраты фирмы на изготовление продукции.

Любая фирма стремится получить максимум прибыли при минимальных совокупных затратах. Естественно, что минимальный объем совокупных затрат меняется в зависимости от объема производства . Однако составляющие совокупных затрат по-разному реагируют на изменение объема производства. Это относится в первую очередь к расходам на оплату обслуживающего персонала и оплату производственных рабочих.

Цель второй главы – изучить влияние издержек производства на прибыль. Этот вопрос является так же концепцией экономического рационализма

Суть концепции экономического рационализма заключается в предположении об определении экономическими субъектами, с одной стороны, выгод от своих действий, а с другой стороны, затрат, необходимых для достижения этих выгод, средств и их сопоставлении с целью максимизации выгод при данных затратах используемых ресурсов (или минимизации затрат, необходимых для получения данных выгод). Такое сопоставление выгод и затрат при принятии экономических решений позволяет определить наиболее оптимальные в данных условиях действия данного экономического субъекта. Выгодами при этом являются получаемые данным экономическим субъектом блага, а затратами — блага, которых данный экономический субъект лишается при данном действии. Рациональность поведения экономических субъектов будет при этом заключаться в максимизации доходов от экономической деятельности.


1. Экономическая природа и содержание издержек производства

1.1 Понятие издержек

Каждое предприятие, фирма прежде чем начать производство продукции, определяет, какую прибыль, какой доход она сможет получить. Прибыль предприятия, фирмы зависит от двух показателей:

цены продукции и затрат на ее производство. Цена продукции на рынке есть следствие взаимодействия спроса и предложения. Под воздействием законов рыночного ценообразования в условиях свободной конкуренции цена продукции не может быть выше или ниже по желанию производителя или покупателя, она выравнивается автоматически. Другое дело — затраты производственных факторов, используемых для производственной и реализационной деятельности, называемых «издержками производства». Они могут возрастать или снижаться в зависимости от объема потребляемых трудовых или материальных ресурсов, уровня техники, организации производства и других факторов. Следовательно, производитель располагает множеством рычагов снижения затрат, которые он может привести в действие при умелом руководстве. Что же понимается под издержками производства, прибылью и валовым доходом?

 В общем виде издержки производства и реализации (себестоимость продукции, работ, услуг) представляют собой стоимостную оценку используемых в процессе производства продукции (работ, услуг) природных ресурсов, сырья, материалов, топлива, энергии, основных фондов, трудовых ресурсов, а также других затрат на ее производство и реализацию.

В издержки производства и реализации продукции включаются затраты, связанные с

 непосредственным производством продукции, обусловленные технологией и организацией производства;

 использованием природного сырья;

 подготовкой и освоением производства;

 совершенствованием технологии и организации производства, а также улучшением качества продукции, повышением ее надежности, долговечности и других эксплуатационных свойств (затраты некапитального характера);

 изобретательством и рационализацией, проведением опытно-экспериментальных работ, изготовлением и испытанием моделей и образцов, выплатой авторских вознаграждений и т.п.;

 обслуживанием производственного процесса: обеспечением производства сырьем, материалами, топливом, энергией, инструментом и другими средствами и предметами труда, поддержанием основных производственных фондов в рабочем состоянии, выполнением санитарно-гигиенических требований;

 обеспечением нормальных условий труда и техники безопасности;

 управлением производством: содержанием работников аппарата управления предприятия, фирмы и их структурных подразделений, командировками, содержанием и обслуживанием технических средств управления, оплатой консультационных, информационных и аудиторских услуг, представительскими расходами, связанными с коммерческой деятельностью предприятий, фирм и т.п.;

 подготовкой и переподготовкой кадров;

 отчислением на государственное и негосударственное социальное страхование и пенсионное обеспечение, в Государственный фонд занятости населения;

 отчислением по обязательному медицинскому страхованию и др.

Конкретный состав затрат, которые могут быть отнесены на издержки производства, регулируются законодательно практически во всех странах. Это связано с особенностями налоговой системы и необходимостью различать затраты фирмы по источникам их возмещения (включаемые в себестоимость продукции и, следовательно, возмещаемые за счет цен на нее и возмещаемые из прибыли, остающейся в распоряжении фирмы после уплаты налогов и других обязательных платежей).

В России действует постановление о составе затрат по производству и реализации продукции (работ, услуг), включаемых в их себестоимость, и о порядке формирования финансовых результатов, учитываемых при налогообложении прибыли.

Существует два подхода к оценке затрат: бухгалтерский и экономический. И бухгалтеры, и экономисты согласны с тем, что издержки фирмы в любой период равны стоимости ресурсов, использованных для производства реализованных в течение этого периода товаров и услуг. В финансовых отчетах фирмы зафиксированы фактические («явные») затраты, которые представляют собой денежные расходы на оплату используемых производственных ресурсов (сырье, материалы, амортизация, труд и т. д.). Однако экономисты, кроме явных, учитывают и «неявные» затраты. Поясним это на следующем примере.

Предположим, что в производство продукции фирма вкладывает заемный капитал, который она взяла в банке; тогда в издержки включались бы и средства на погашение банковского процента. Следовательно, при условии, что вкладывается привлеченный капитал, из дохода фирмы необходимо исключить неявные затраты в размере банковского процента.

Однако даже понятие «неявные затраты» не дает полного представления об истинных затратах на производство. Это объясняется тем, что из множества возможных вариантов использования ресурсов мы осуществляем один определенный выбор, единственность которого вынуждается ограниченностью ресурсов.

Так, например, увлекаясь телевизором, вы упускаете возможность прочесть книгу, поступив в институт, мы теряем возможность получения заработной платы, если бы занимались той или иной работой.

Поэтому, принимая то или иное производственное решение и оценивая действительные затраты, экономисты рассматривают их как затраты упущенных (утраченных) возможностей.

Под «издержками упущенных возможностей» понимают издержки и потери дохода, которые возникают при выборе одного из вариантов производственной или реализационной деятельности, что означает отказ от других возможных вариантов.

Обратимся к примеру. Допустим, некий предприниматель, работая в собственной фирме ИЧП «Эдельвейс» по 10—12 часов ежедневно, получает годовую прибыль в 6 млн руб. С бухгалтерской точки зрения, это ИЧП относится к прибыльным предприятиям. Однако экономист исходит из того, что труд предпринимателя рассматривается как производственная затрата. И хотя наш предприниматель не выплачивает себе зарплату, получая доход, его трудовая деятельность может быть оценена зарплатой в размере 8 млн. рублей, которую он получил бы за год, работая в другой фирме по найму. Подсчитав действительную прибыль, приходим к выводу, что ИЧП убыточно (6 млн. руб. - 8 млн. руб. = — 2 млн. руб.) для своего владельца.

Другой пример. АО «Сантехника» инвестировала 300 млн. руб. в производство кранов-смесителей; по данным финансового отчета, чистая прибыль составила 35 млн. руб. Но если бы эти 300 млн. руб. были инвестированы в производство мебели, то АО могло бы получить 67 млн. руб. чистой прибыли.

Какова же прибыль АО «Сантехника» с точки зрения бухгалтера? 35 млн. руб. А вот с точки зрения экономиста очевиден убыток в 32 млн. руб. (67—35). Таким образом, затраты упущенных возможностей можно рассматривать как сумму доходов, которые могли бы обеспечить фирме факторы производства, если бы они были более выгодно использованы в альтернативных вариантах.

Подведём итог всему выше сказанному.

 Издержки фирмы в любой период равны стоимости ресурсов, использованных для производства реализованных в течение этого периода товаров и услуг. Прибыль предприятия, зависит от цены продукции и затрат на ее производство. Цена продукции на рынке есть следствие взаимодействия спроса и предложения. Здесь, цена изменяется под воздействием законов рыночного ценообразования, а издержки могут возрастать или снижаться в зависимости от объема потребляемых трудовых или материальных ресурсов.

Так же нужно отметить, что конкретный состав затрат, которые могут быть отнесены на издержки производства, регулируются законодательно практически во всех странах.


1.2 Определение издержек производства

В развитых странах последние 35-40 лет широко используется метод отчисления затрат на производство продукции по ограниченной, сокращённой номенклатуре калькуляционных статей. В затраты включаются только переменные расходы: сырье и материалы, оплата труда, переменная часть косвенных расходов. Эти затраты рассматриваются как функция величины объема производственной деятельности. Совершенно обоснованно считается, что постоянные расходы слабо связаны с издержками производства отдельных видов продукции.

В соответствии с этим широко принято подразделение издержек производства предприятия (фирмы) на постоянные, переменные, валовые и предельные.

Под постоянными издержками понимают такие, сумма которых в данный период не зависит непосредственно от величины и структуры производства и реализации продукции. К этим издержкам относят оклады сотрудников предприятия (фирмы), амортизацию основного капитала (основных фондов), аренду помещений, другие относительно постоянные расходы. В свою очередь, постоянные издержки подразделяются на две группы: остаточные и стартовые. К остаточным относится та часть постоянных издержек, которые продолжает нести предприятие, несмотря на то, что производство и реализация продукции на какое-то время полностью остановлены.

К стартовым относится та часть постоянных издержек, которые возникают с возобновлением производства и реализации продукции. Между остаточными и стартовыми издержками не существует четкого разграничения. На решение вопроса о том, к какой группе постоянных издержек относить те или иные расходы, влияет срок, на который приостановлены производство и реализация продукции. Чем длиннее период остановки хозяйственной деятельности, тем меньше величина остаточных издержек, так как при этом возрастают возможности освободиться от отдельных видов расходов или сократить их (например, договоров об аренде помещений, контрактов о найме на работу отдельных категорий работников и др.).

Другой вид издержек — переменные. Это издержки, общая величина которых на данный период непосредственно зависит от объема производства и реализации продукции, а также от структуры издержек при производстве и реализации нескольких видов продукции. Сюда входят расходы на приобретение сырья, материалов, топлива, энергии, требуемых для производства продукции, оплата рабочей силы и т.п.

Сумма постоянных и переменных издержек составляет валовые издержки предприятия.

Различаются также предельные издержки. Дело в том, что на предприятиях нередко возникает вопрос о необходимости расширения или сокращения производства продукции. При этом следует решить, насколько оправданным может быть то или иное

расширение или сокращение производства. При решении этих вопросов необходимо уметь рассчитывать величину издержек прироста при расширении хозяйственной деятельности и соответственно издержек сокращения при ее сворачивании. Под предельными издержками понимается средняя величина издержек прироста или издержек сокращения на единицу продукции, возникших как следствие изменения объемов производства и реализации более чем на одну единицу продукции.

Что касается группировки издержек производства по экономическим элементам и по статьям затрат, то на зарубежных предприятиях и фирмах применяется группировка, близкая отечественной. В группировку издержек по экономическим элементам включаются затраты на приобретение сырья, материалов, топлива, энергии, расходы на содержание персонала (оплата труда работников), амортизация основного капитала (основных фондов), издержки по выплате процентов и прочие внешние издержки (аренда помещений, страховые взносы, транспортные расходы, услуги сторонних организаций, реклама и прочие расходы).

В состав группировки издержек по статьям затрат входят следующие статьи.

1. «Материалы». Эти затраты составляют наиболее важную статью издержек. К ним относятся расходы на приобретение сырья, материалов основных и вспомогательных, полуфабрикатов. Величина расходов на материалы непосредственно зависит от объема производства продукции и относится к переменным издержкам предприятия (фирмы). Они изменяются пропорционально объему производства продукции.

2. «Оплата труда». Сюда входит заработная плата рабочих и административного персонала. За рубежом так же, как и в нашей стране, применяются две принципиально отличающиеся друг от друга формы оплаты труда: повременная и сдельная.

Повременная оплата труда рабочих используется там, где количество продукции, произведенной рабочим, не зависит от его индивидуальных усилий, например, на конвейерных линиях. Она применяется также там, где главную роль играет качество выпускаемой продукции и где трудно или невозможно рассчитать объем выполненной работы. Повременная оплата труда имеет как положительные стороны, так и недостатки. Положительным является то, что рабочий имеет гарантированный ежедневный или ежемесячный доход, не зависящий от колебаний объема производства. Недостатком повременной оплаты труда является то, что она не стимулирует повышение индивидуальных усилий рабочего и не дает ему возможности повышения своего заработка. Повременная

оплата труда наиболее распространена за рубежом при оплате труда рабочих.

Сдельная оплата труда стимулирует рабочих добиваться большей выработки, что выгодно как самому рабочему, так и предприятию (фирме). В то же время возможен риск снижения качества выпускаемой продукции.

Обе формы оплаты труда (и сдельная, и повременная) могут иметь свои разновидности. Например, за рубежом широко применяется сдельная оплата с гарантированным минимумом, сдельно-премиальная. Так, при сдельной оплате с гарантированным минимумом минимальный размер заработной платы может быть установлен в соответствии с почасовой заработной платой. Такая смешанная оплата труда обеспечивает рабочему минимальный размер заработка с одновременным использованием преимуществ сдельной оплаты труда.

Формой оплаты труда административного персонала на зарубежных предприятиях (фирмах) служат, как и в нашей стране, должностные оклады. Помимо твердых окладов таким работникам в порядке стимулирования выплачиваются так называемые тантьемы (премии), обычно соотносимые с прибылью предприятия (фирмы). Некоторые фирмы заключают соглашения со своими работниками в той или иной форме распределения части своих расходов (прибыли).

3. «Плата за аренду помещений». Эта плата нередко составляет относительно крупную статью издержек. Если предприятие или фирма арендуют помещение, то величина издержек по этой статье будет равна общей величине арендной платы. Если же помещение принадлежит самому предприятию (фирме), то плата за его аренду будет состоять из ряда статей: выплат по ипотечной задолженности, налогов на недвижимость, страховки, эксплуатационных расходов, а также, с точки зрения утраченных возможностей, процентов от собственного капитала, вложенного в данную недвижимость.

4. «Амортизация». На зарубежных предприятиях, фирмах под амортизацией понимается часть постоянных издержек, которая складывается путем распределения единовременных затрат на приобретение основного капитала на несколько периодов его использования. При этом используется несколько методов расчета величины амортизации: линейная амортизация; амортизация по остаточной стоимости; амортизация по объему производства.

Наиболее близка отечественным методам исчисления амортизации линейная амортизация.

В соответствии с этим методом ежегодная величина амортизации капитала А рассчитывается по формуле:

где ПС — первоначальная стоимость данного элемента основного капитала (основных фондов). Сюда включаются также расходы по доставке и монтажу;

ЛС — ликвидационная стоимость (стоимость реализации данного элемента после окончания срока его службы);

СС — срок службы этого элемента основного капитала (период времени, на протяжении которого планируется использование данного элемента).

5. «Прочие издержки». Сюда относятся расходы на эксплуатацию и ремонт машин и прочие элементы основного капитала, издержки на различные виды энергоносителей, расходы на доставку продукции покупателю, телекоммуникационные издержки, почтовый сбор и некоторые другие.

Следует сказать также о том, что на предприятиях и фирмах зарубежных стран под структурой издержек нередко понимается процентное соотношение переменных и постоянных издержек предприятия (фирмы) в рамках его валовых издержек. По такому соотношению делают определенные выводы.

Так, например, представим структуру издержек предприятий А

и Б следующим образом (в процентах):

А Б
Переменные издержки              70 40
Постоянные издержки               30 60
Валовые издержки                    100 100

Анализ представленной структуры издержек предприятий А и Б позволяет сделать вывод о том, что предприятие А имеет меньший уровень механизации и автоматизации производства и обладает большей потребностью в использовании малопроизводительного ручного труда. Вследствие этого постоянные издержки фирмы А на амортизацию и выплату процентов на капитал, использованный на приобретение машинного парка, будут относительно невелики. Переменные издержки на оплату труда работников предприятия А будут относительно высокими. На предприятии Б картина обратная: относительно высокие постоянные издержки на амортизацию и выплату процентов на капитал и соответственно низкие переменные издержки на оплату ручного труда, обусловленные высоким уровнем механизации и автоматизации производства.

На предприятиях и фирмах зарубежных стран осуществляется также сравнительный анализ издержек производства конкурентов. Такой анализ позволяет сопоставить структуру издержек собственного производства со структурой издержек конкурентов, выявить их преимущества, а также излишние издержки у конкурентов и на основе этого анализа принять необходимые меры, направленные на улучшение структуры издержек производства, снижение этих издержек.

          Подводя вывод, хочется ещё раз выделить основные виды издержек. Итак, принято подразделение издержек производства предприятия на постоянные, переменные, валовые и предельные. Постоянные и переменные издержки вместе составляют валовые издержку производства.

Так же, следует отметить, что на предприятиях под структурой издержек нередко понимают соотношение между постоянными и переменными издержками, что позволяет анализировать структуру и делать выводы о качестве производства.


2. Влияние издержек на прибыль и пути их снижения

2.1 Анализ соотношения затрат и прибыли

Предпринимателю в процессе деятельности постоянно приходится принимать решения о цене, по которой продукция будет реализована, о переменных и постоянных издержках, о приобретении и использовании ресурсов. Для этого необходимо точно и достоверно организовать уровни затрат и прибыли.

Все предпринимаемые в условиях рынка управленческие модели основаны на изучении взаимосвязи затрат, объема производства и прибыли. Специальный анализ помогает понять взаимоотношения между ценой изделия, объемом производства, переменными и постоянными затратами. Он позволяет сравнить различные варианты цен на продукцию и получение прибыли, а также отыскать наиболее выгодное соотношение между переменными, постоянными затратами, ценой и объемом производства продукции. Достичь этого можно разными способами: снизить цену продаж и соответственно увеличить объем реализации; увеличить постоянные затраты и увеличить объем;

пропорционально изменять переменные, постоянные затраты и объем выпуска продукции. Иногда анализ соотношения затрат, объема производства и прибыли (CVP-анализ, Cost-Volume-Profit) трактуют более узко, как анализ критической точки.

Под критической понимается та точка объема производства, в которой затраты равны выручке от реализации всей продукции, т.е. где нет ни прибыли, ни убытков. Эту точку называют также «мертвой», или точкой безубыточности.

Для ее вычисления можно использовать три метода: уравнения, маржинальной прибыли и графического изображения.

Метод уравнения

В качестве исходного уравнения для анализа принимают следующее соотношение выручки, издержек и прибыли:

Выручка — переменные затраты — постоянные затраты = прибыль.

Если выручку представить как произведение цены продажи единицы изделия и количества проданных единиц, а затраты пересчитать на единицу изделия, то в точке критического объема производства будем иметь:

Исходя из этого определяем количество единиц продукции, которое необходимо продать, чтобы достигнуть критической точки:

где Qкр — объем производства продукции в критической точке (количество единиц);

Р — цена единицы продукции;

VС — удельные переменные затраты на единицу продукции;

FС — постоянные расходы.

Рассмотрим этот метод на условном примере. Предприятие планирует продать свою продукцию по цене 500 ден. ед., постоянные расходы составляют 70 000 ден. ед., удельные переменные расходы на единицу продукции — 300 ден. ед. В точке безубыточности прибыль равна 0, тогда

500 • Х - 300 • Х - 70 000 = О

200 • Х = 70 000

Х = 350

Таким образом, при продаже 350 ед. изделий предприятие достигнет точки, в которой прибыль и убытки равны.

Критическую точку можно рассчитать и в стоимостном выражении, если умножить полученный объем на цену единицы продукции:

350-500= 175 000 ден. ед.

CVP-анализ может быть использован для определения объема реализации, необходимого для получения желаемой величины прибыли. Предположим в нашем условном примере, что предприятие хочет достигнуть прибыли в размере 40 000 ден. ед. Каким должен быть объем производства и продаж? Эту задачу можно решить методом уравнений.

В точке безубыточности, как известно, выручка равна сумме постоянных и переменных затрат. Поэтому, чтобы рассчитать заданную величину прибыли, необходимо прибавить ее к сумме затрат:

Выручка = переменные затраты + постоянные затраты + прибыль.

500 • Х = 300 • Х + 70 000 + 40 000

200-Х= 110000

X = 550

Таким образом, заданная величина прибыли может быть получена при объеме продаж, равном 550 ед., что составляет в денежном

выражении

550 • 500 = 275 000 ден. ед.

Метод маржинальной прибыли представляет собой модификацию

метода уравнений.

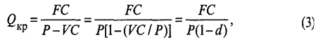
Маржинальная прибыль — это разность между выручкой от реализации продукции и переменными затратами, т.е. это определенная сумма средств, необходимая, в первую очередь, для покрытия постоянных затрат и получения прибыли предприятия. Маржинальную прибыль на единицу изделия можно также представить как разность между ценой реализации единицы товара и удельными переменными расходами. Маржинальная прибыль, приходящаяся на единицу продукции, представляет вклад каждой проданной единицы в покрытие постоянных затрат.

Преобразование формулы (2) раскрывает связь объема продукции

и относительного маржинального дохода:

где d— относительный уровень удельных переменных расходов в цене продукта (d = VC/Р);

(1 - d) — относительная маржинальная прибыль на единицу объема реализации.

В нашем примере маржинальная прибыль на единицу составляет

500 - 300 = 200 ден. ед., а точка безубыточности равна 70 000 / 200 =350ед.

Графический метод дает наглядное представление о СVР-анализе и сводится к построению комплексного графика «затраты — объем

производства — прибыль».

В прямоугольной системе координат строится график зависимости затрат и дохода от количества единиц произведенной продукции (см. рис.).

По вертикали откладываются данные об издержках и доходе, по

горизонтали — количество единиц продукции. Порядок построения графика следующий:

1. Чтобы нанести на график линию переменных расходов (VС), выбираем любой объем, предположим, 500 ед. и находим точку расходов, соответствующую этому объему: 300 • 500 =150 000 (точка А). Проводим линию переменных расходов через точки 0 и A.

2. Чтобы нанести линию постоянных расходов (ТС), отметим на оси ординат точку, соответствующую 70 000 ед. (точка В), а от точки А вверх отложим 70 000 ед. (точка С). Используя точки В и С, проводим линию постоянных расходов параллельно линии переменных расходов. Линия ВС показывает общую сумму затрат.

Рис. График поведения затрат, прибыли и объема продаж

3. Чтобы нанести на график линию выручки (ТR), возьмем тот же условный объем продаж (500 ед.). Отметим точку Д, полученную от умножения цены единицы продукции на объем (500 • 500 = 250 000 ден. ед.). Проводим линию выручки через точки 0 и Д.

Критическая точка (точка перелома) образуется в месте пересечения линии выручки ОД и линии валовых (совокупных) издержек ВС. В точке критического объема производства К нет прибыли и нет убытка.

Слева от критической точки заштрихована область чистых убытков, которая образуется в результате превышения величины постоянных издержек над величиной маржинальной прибыли. Справа от нее заштрихована область чистых прибылей. Для каждого значения Q (количества единиц продукции) чистая прибыль определяется как разность между величиной маржинальной прибыли и постоянных издержек.

Проекция точки К на ось абсцисс дает критический объем производства в физических единицах измерения (шт. м, кг). Проекция точки К на ось ординат дает критический объем производства в стоимостном измерении.

Приведенная графическая зависимость затрат, прибыли и объема продаж позволяет сделать важные для предприятия выводы:

1. Предприятие может получить прибыль (выручка за минусом постоянных и переменных издержек) лишь при условии реализации продукции большего объема, чем критическая точка К.

2. Точка К, находящаяся на пересечении кривой валовых издержек (ГС) и кривой выручки от реализации (TR), называется критической точкой, при переходе через которую наступает окупаемость всех издержек и предприятие начинает получать прибыль.

3. Точка пересечения кривой постоянных издержек (FC) и кривой маржинального дохода показывает тот объем производства, после прохождения которого наступает окупаемость постоянных затрат.

4. С повышением цен на производимую продукцию минимальный объем производства, который соответствует критической точке, уменьшается, а при снижении цены — возрастает.

5. С увеличением постоянных расходов минимальный объем производства, соответствующий точке безубыточности, повышается.

6. Сохранение безубыточного объема производства при росте переменных расходов возможно при прочих равных условиях за счет увеличения минимального объема производства.

При проведении CVP-анализа условно принимается целый ряд допусков, которые ограничивают точность и надежность результатов анализа: объем производства равен объему продаж; цена за единицу продаваемого товара, а также доли переменных и постоянных издержек остаются неизменными; производится единственный вид изделия.

В заключении подведём итог, что же такое CVP-анализ(анализ критической точки). Итак, СVP-анализ – взаимосвязь затрат, объёма производства и прибыли, позволяющая сравнить различные варианты цен на продукцию и получение прибыли. Так же анализ критической точки может быть использован для определения объёма реализации, необходимого для получения нужной величины прибыли. Так же нужно отметить, что CVP-анализ будет нагляден если построить комплексный график «затраты - объём производства - прибыль»


2.2 Пути снижения издержек производства

Как уже отмечалось, в условиях свободной конкуренции цена продукции, произведенной предприятиями, фирмами, выравнивается автоматически. На нее воздействуют законы рыночного ценообразования. В то же время каждый предприниматель стремится к получению максимально возможной прибыли. И здесь, помимо факторов увеличения объема производства продукции, продвижения ее на незаполненные рынки и др., неумолимо выдвигается проблема снижения затрат на производство и реализацию этой продукции, снижения издержек производства

В традиционном представлении важнейшими путями снижения затрат является экономия всех видов ресурсов, потребляемых в производстве- трудовых и материальных

Так, значительную долю в структуре издержек производства занимает оплата труда (в промышленности России — 13—14%, развитых стран — 20—25%). Поэтому актуальна задача снижения трудоемкости выпускаемой продукции, роста производительности труда, сокращения численности административно-обслуживающего персонала.

Снижения трудоемкости продукции, роста производительности труда можно достигнуть различными способами. Наиболее важные из них — механизация и автоматизация производства, разработка и применение прогрессивных, высокопроизводительных технологий, замена и модернизация устаревшего оборудования. Однако одни мероприятия по совершенствованию применяемой техники и технологии не дадут должной отдачи без улучшения организации производства и труда. Нередко предприятия, фирмы приобретают или берут в аренду дорогостоящее оборудование, не подготовившись к его использованию. В результате коэффициент использования такого оборудования очень низок. Затраченные на приобретение средства не приносят ожидаемого результата.

Важное значение для повышения производительности труда имеет надлежащая его организация: подготовка рабочего места, полная его загрузка, применение передовых методов и приемов труда и др.

Материальные ресурсы занимают до 3/5 в структуре затрат на производство продукции. Отсюда понятно значение экономии этих ресурсов, рационального их использования. На первый план здесь выступает применение ресурсосберегающих технологических процессов. Немаловажным является повышение требовательности и повсеместное применение входного контроля за качеством поступающих от поставщиков сырья и материалов, комплектующих изделий и полуфабрикатов.

Сокращения расходов по амортизации основных производственных фондов можно достигнуть путем лучшего использования этих фондов, максимальной их загрузки.

На зарубежных предприятиях рассматриваются также такие факторы снижения затрат на производство продукции, как определение и соблюдение оптимальной величины партии закупаемых материалов, оптимальной величины серии запускаемой в производство продукции, решение вопроса о том, производить самим или закупать у других производителей отдельные компоненты или комплектующие изделия.

 Известно, что чем больше партия закупаемого сырья, материалов, тем больше величина среднегодового запаса и больше размер издержек, связанных со складированием этого сырья, материалов (арендная плата за складские помещения, потери при длительном хранении, потери, связанные с инфляцией и др.). Вместе с тем приобретение сырья и материалов крупными партиями имеет свои преимущества. Снижаются расходы, связанные с размещением заказа на приобретаемые товары, с приемкой этих товаров, контролем за прохождением счетов и др. Таким образом, возникает задача определения оптимальной величины закупаемых сырья и материалов. Расчет можно вести по следующей примерной схеме (табл. 1).

Как видно из таблицы, оптимальное годовое число закупок в данном примере равно четырем, поскольку сумма издержек по складированию и обслуживанию закупок в этом случае является наименьшей.

Те же правила действуют и при определении оптимальной величины серии запускаемой продукции. При производстве продукции значительным числом мелких серий издержки по складированию готовой продукции будут минимальными. Однако возрастут затраты на подготовку производства. Рассчитаем оптимальную величину серии запуска (табл.2)

Таблица 1

Количество закупаемых в год партий
1 2 3 4 5
Величина партии, кг 20000 10000 6667 5000 4000
Среднегодовой запас, кг 10000 5000 3333 2500 2000
Стоимость среднегодового запаса, тыс.руб. 100000 50000 33333 25000 20000
Издержки по складированию, тыс.руб. в год 20000 10000 6667 5000 4000
Издержки по обслуживанию закупок, тыс.руб. в год 1250 2500 3750 5000 6250
Издержки по складированию и обслуживанию закупок, всего, тыс. руб. в год 212500 12500 10417 10000 10250

Таблица 2

Количество серий

Кол»

дчество с

ерий

1 2 3 4 5
Величина серии, шт. 3000 4500 3000 2250 1800
Среднегодовой запас готовой продукции, шт. 3375 1688 1125 844 675
Стоимость среднегодового запаса, тыс.руб. 47250 23632 15750 11816 9450
Издержки по складированию готовой продукции, тыс. руб. в год 11813 5908 3938 2954 2363
Издержки по подготовке производства, тыс.руб. в год 3000 6000 9000 12000 15000
Издержки по складированию готовой продукции и подготовке производства, всего, тыс.руб. в год 14813 11908 12938 14954 1363

Из таблицы следует, что наиболее оптимальной величиной серии запуска является серия 2 по 4500 штук, в результате которой издержки по складированию готовой продукции и подготовке производства составляют минимальную величину — 11908 тыс. руб. в год.

Конечно, подобные расчеты нельзя считать достаточно объективными и точными, однако в определенном приближении их принять можно.

В сочетании с традиционными путями снижения затрат на производство продукции вновь возникшие факторы позволят в комплексе довести величину издержек производства до оптимального уровня.

Итак, важнейшими путями снижения затрат на производство продукции является экономия всех видов ресурсов, потребляемых в производстве, - трудовых и материальных.


2.3 Взаимосвязь издержек производства и прибыли

Производство и движение товара в сфере предпринимательской деятельности можно рассматривать в двух аспектах: с точки зрения затрат и с позиции результата. Создание продукции и оказание услуг связано с определенными расходами. Современные исследователи издержек производства рассматривают их под углом зрения хозяйственника, предпринимателя. Для ведения хозяйства, будь то индивидуальный производитель или предприятие, приобретаются необходимые компоненты; машины, оборудование, сырьевые и топливные ресурсы, электроэнергия и др. Определенная часть средств идет на оплату труда. Совокупность затрат прошлого и живого труда, расходуемого на создание блага или выработку услуги образует издержки производства. Расходы, связанные с продвижением товаров до потребителей, т.е. с их реализацией, называются издержками обращения. Применяя уже известные обозначения, издержки производства можно выразить формулой:

где С - обозначает материальные затраты, т.е. стоимость израсходованных средств производства, а V -расходы по оплате труда.

Как видим, величина издержек измеряется потребленной в процессе производства частью авансированного капитала. Предприниматель в полном объеме расходует средства на приобретение машин, оборудования, строительство производственных зданий и других элементов, образующих основной капитал. В стоимость готовой продукции он включается постепенно, по мере износа в течение ряда лет. Поэтому авансированный и потребленный капитал величины неравнозначные. Упрощая понятие, можно сказать, что под издержками предприятия понимается то, во что обходится ему производство продукции. В хозяйственной практике социалистических государств было принято отождествлять издержки с себестоимостью. В структуре затрат на производство промышленной продукции в СССР (1987 г. в % к итогу) расходы по отдельным статьям составили;

Сырье, основные и вспомогательные материалы 67,4%
Топливо и энергия
6,7%
Амортизация 9,0%
Заработная плата и отчисления на социальное страхование 13,9%
Прочие затраты 3,0%

С тех пор многое изменилось: резко возросли затраты на топливные ресурсы и электроэнергию, повысилась зарплата и т.д.

По иному рассматривается природа издержек производства в теории и практике хозяйствования в развитых государствах. Раскрывая содержание этого понятия с позиций отдельной фирмы, американские профессора К. Р. Макконнелл и С. Л. Брю утверждают, что «экономические издержки -это те выплаты, которые фирма обязана сделать, или те доходы, которые фирма обязана обеспечить поставщику ресурсов для того, чтобы отвлечь эти ресурсы от использования в альтернативных производствах». К внешним издержкам относится плата за ресурсы поставщикам, не принадлежащим к числу владельцев данной фирмы. К внутренним издержкам относятся используемые в производстве собственные неоплаченные ресурсы. С точки зрения фирмы они равны денежным платежам, которые могли бы быть получены за самостоятельно используемый ресурс при наилучшем из возможных способов его применения. Речь идет о включении в издержки возможных доходов от использования своей собственности (внутренней ренты и внутренней заработной платы) и нормальной прибыли в качестве вознаграждения за выполнение предпринимательских функций.

Любая фирма, прежде чем начать производство, должна четко представить, на какую прибыль она может рассчитывать. Для этого она изучает спрос и определяет, по какой (примерно) цене будет продаваться ее продукция. Решение принимается после сравнения предполагаемых доходов с издержками, которые предстоит понести.

Нередко внешние и внутренние издержки рассматриваются как явные и вмененные. Явные затраты фирмы в конечном счете сводятся к возмещению использованных факторов производства. Сюда входит оплата трудя в виде заработной платы, земли в виде аренды, капитал в виде расходов на основные и оборотные фонды, а также оплата предпринимательских способностей организаторов производства и сбыта. Сумма всех явных издержек выступает как себестоимость продукции, а разница между рыночной ценой и себестоимостью как прибыль.

Для принятия фирмой решения о начале или развитии производства, кроме явных издержек следует учитывать и неявные (вмененные) затраты. Речь идет об использовании собственных ресурсов фирмы. Эти издержки не входят в платежи фирмы. Например, собственник земли не платит ренту и отказываясь от сдачи ее в аренду, он как бы отказывается от дополнительного дохода, возникающего в связи с этим. Работник, занимающийся индивидуальной трудовой деятельностью не получает заработную плату на фабрике. Таким образом речь идет об альтернативных издержках, связанных с использованием ресурсов, являющихся собственностью фирмы. Как видим, существенных различий между делением издержек на внешние и внутренние и явные и вмененные нет.

Одним словом, западные экономисты считают издержками все платежи - внешние и внутренние, включая в последние и нормальную прибыль, - необходимые для тоге, чтобы привлечь и удержать ресурсы в пределах данного направления деятельности. Кроме того, издержки делятся на постоянные и переменные. Постоянные издержки - это те, которые предприятие несет в любом случае и которые мало зависят от объема производства (содержание помещений, административно-управленческие расходы и др.). Переменные издержки связаны с затратами на покупку сырья, оплату рабочей силы. Деятельность фирмы может быть краткосрочной и долгосрочной, в зависимости от соотношения постоянных и переменных факторов, постоянных и переменных издержек. Если у предприятия осталось неоплаченным хоть одно обязательство из ряда постоянных, то оно находится в краткосрочном периоде и не может прекратить дело, а по существующим в мире законодательствам может только объявить себя банкротом. Когда погашено последнее обязательство по самому длительному виду постоянных издержек, краткосрочный период деятельности фирмы превращается в долгосрочный и предприниматель волен решать, заключать ли ему новые долгосрочные обязательства или прекращать дело.

Современная экономическая теория сохраняет исходное положение об издержках производства: чтобы получить большее количество любого блага, необходимо предоставить потенциальным производителям и поставщикам этого блага определенный стимул, который бы побудил их перебросить ресурсы из сферы их текущего использования на производство того, чего мы хотим. Необходимо, чтобы выгоды от такой переброски превысили затраты на нее, т.е. превысили ценность тех возможностей, от которых придется отказываться потенциальным предпринимателям. Всю жизнь, стимулы заставляют нас совершать определенные поступки. Рабочие ищут наивысшую зарплату. Желание повысить свое благосостояние побуждает их работать эффективнее и производительнее. Бизнесмен стремится к высоким прибылям. Владельцы собственности хотят установить по возможности более высокие цены на свои ресурсы. В системе свободного предпринимательства экономические стимулы помогают нам определить, какое направление деятельности будет наиболее выгодным. Решения всегда принимаются на основе сопоставления дополнительных затрат с дополнительными выгодами. Дополнительные затраты - это предельные затраты или предельные издержки, связанные с производством дополнительной единицы продукта наиболее дешевым способом. Слово «предельный» означает расположенный на границе или «краю». Вы решили приобрести автомобиль и стать таксистом. Прикидываете ожидаемые затраты; цена автомобиля, оформление прав, страховка, расходы на бензин, масло, техобслуживание, процент за кредит, аренда гаража и т.д. Ориентировочно определяете ожидаемые доходы в расчете на год и получаете результат. После сопоставления его с настоящей работой и доходом принимаете решение, быть вам таксистом или не быть.

В большинстве производств экономия, а, следовательно, и выгода, достигаются на масштабах. Если деловые люди не видят способа произвести большой объем продукции, они не станут производить ничего. Их решения направляются ожидаемыми предельными затратами. Предприятие направляет ограниченные ресурсы на ту продукцию, которая необходима потребителю и по цене, которую они согласны платить. Прибыль сигнализирует предприятию о том, насколько оно правильно решает вопросы «Что производить?» и «Как производить?».

Затраты всегда являются результатом действия спроса и предложения. Вы взбудоражены очередным повышением цен на продукцию животноводства. Вам отвечают, что возросли издержки, повысилась закупочная цена. Ее рост есть в свою очередь результат повышения цен на топливные ресурсы, на корма и зарплаты. Сама зарплата растет в связи с повышением цен на блага и услуги и т.д. Изменение спроса воздействует на цены в зависимости от величины предельных издержек производства. Возрастание спроса на любое благо повысит затраты на приобретение этого блага лишь постольку, поскольку оно не вызовет роста величины предложения. Затраты связаны не с вещами, а с действиями людей. Существо экономической системы и состоит в постоянной координации процессов сотрудничества и взаимного приспособления.

При системе свободного предпринимательства производятся только те товары и услуги, которые ценятся индивидуальными потребителями данного общества. Мы склонны так действовать, поскольку это выгодно нам самим. Ожидание вознаграждения (для предприятия - это прибыль) стимулирует работников производить больше, а работодателей расходовать ресурсы рационально.

На практике прибыль есть излишек выручки над затратами капитала. Прибыль представляет собой конкретную цель, к которой стремится каждый предприниматель, а издержки производства – затраты на достижение этой цели. Уровень доходности предприятия определяется процентным отношением полученной суммы прибыли к затратам:

Полученный показатель (Р) называется нормой прибыли(где m- сумма прибыли). Это своеобразный барометр эффективности хозяйствования. Далеко не вся прибыль обращается в доход собственника и идет на его личное потребление. Она служит источником самофинансирования и используется на дальнейшее расширение и совершенствование производства. Значительная ее часть расходуется на охрану окружающей среды и экологическую безопасность, на подготовку и переподготовку кадров, на социальные потребности работников предприятия, общегосударственные нужды, создание благотворительных фондов и т.д. В современных условиях, когда самой распространенной стала акционерная форма ведения хозяйства, предназначенная в качестве дохода прибыль распределяется между всеми пайщиками, внесшими свой вклад в совместный капитал. В получении большой прибыли заинтересованы, таким образом, собственники ресурсов, предприниматель и наемный персонал. С увеличением размера прибыли приумножается и собственность государства.

В заключении подведём итог.

Итак, основное положение современной экономики об издержках производства: чтобы получить большее количество любого блага, необходимо предоставить потенциальным производителям и поставщикам этого блага определенный стимул, который бы побудил их перебросить ресурсы из сферы их текущего использования на производство того, чего мы хотим. Необходимо, чтобы выгоды от такой переброски превысили затраты на нее, т.е. превысили ценность тех возможностей, от которых придется отказываться потенциальным предпринимателям.

Затраты всегда являются результатом действия спроса и предложения. Возрастание спроса на любое благо повысит затраты на приобретение этого блага лишь постольку, поскольку оно не вызовет роста величины предложения.


Заключение

          В соответствии с поставленными в начале работы целями подведём итог исследований курсовой работы.

Издержки фирмы в любой период равны стоимости ресурсов, использованных для производства реализованных в течение этого периода товаров и услуг. Прибыль предприятия, зависит от цены продукции и затрат на ее производство. Цена продукции на рынке есть следствие взаимодействия спроса и предложения. Здесь, цена изменяется под воздействием законов рыночного ценообразования, а издержки могут возрастать или снижаться в зависимости от объема потребляемых трудовых или материальных ресурсов.

Конкретный состав затрат, которые могут быть отнесены на издержки производства, регулируются законодательно практически во всех странах.

Основные виды издержек. Итак, принято подразделение издержек производства предприятия на постоянные, переменные, валовые и предельные. Постоянные и переменные издержки вместе составляют валовые издержку производства.

На предприятиях под структурой издержек нередко понимают соотношение между постоянными и переменными издержками, что позволяет анализировать структуру и делать выводы о качестве производства.

СVP-анализ(анализ критической точки) – взаимосвязь затрат, объёма производства и прибыли, позволяющая сравнить различные варианты цен на продукцию и получение прибыли. Так же анализ критической точки может быть использован для определения объёма реализации, необходимого для получения нужной величины прибыли. Так же нужно отметить, что CVP-анализ будет нагляден если построить комплексный график «затраты - объём производства - прибыль»

Важнейшими путями снижения затрат на производство продукции является определение оптимальной величины закупаемых ресурсов и запускаемой продукции, потребляемых в производстве, - трудовых и материальных. А так же снижение трудоёмкости продукции и рост производительности.

Основное положение современной экономики об издержках производства: чтобы получить большее количество любого блага, необходимо предоставить потенциальным производителям и поставщикам этого блага определенный стимул, который бы побудил их перебросить ресурсы из сферы их текущего использования на производство того, чего мы хотим. Необходимо, чтобы выгоды от такой переброски превысили затраты на нее, т.е. превысили ценность тех возможностей, от которых придется отказываться потенциальным предпринимателям.

Затраты всегда являются результатом действия спроса и предложения. Возрастание спроса на любое благо повысит затраты на приобретение этого блага лишь постольку, поскольку оно не вызовет роста величины предложения.


Список литературы

1.   В.Я. Горфинкель, проф. Е.М. Купрякова. «Экономика предприятия»: - Москва, изд-во «ЮНИТИ», 1996.

2.   А.В. Мутнян, И.М. Оконников, Е.А. Пантелеев «Микроэкономика», книга 1:- Ижевск, изд-во «странник», 1993

3.   О.Ю. Мамедов. «Современная экономика»: - Ростов-на-Дону, изд-во «Феникс», 1997.

4.   В.Е. Адамов, С.Д. Ильенкова. «Экономика и статистика фирм»: - Москва, изд-во «Финансы и статистика», 1997

5.   И.К. Салимжанов. «Цены и ценообразование», Москва, изд-во ЗАО «Финстатинформ» – ЗАО «КноРус», 1999

6.   Т.П. Карпова «Управленческий учёт». - Москва, изд-во «Аудит», 1998

7.   А.В. Сидорович «Курс экономической теории».: - Москва, изд-во «ДИС», 2997

8.   Е.И. Бородина «Финансы предприятий»: - Москва, изд-во «ЮНИТИ», 1995


 
© 2012 Рефераты, доклады, дипломные и курсовые работы.