Реферат: Электрическое оборудование городского электрического транспорта
Реферат: Электрическое оборудование городского электрического транспорта
СОДЕРЖАНИЕ
Введение 4
1.
Разработка
эскизного
проекта конструкций
контактора 5
1.1
Устройство
и принцип работы
контактора
КПВ-604 5
1.2 Разработка
кинематической
схемы подвижной
части аппарата 6
2. Расчет и
построение
механических
характеристик 9
2.1 Определение
параметров
контактов 9
2.2 Определение
величины рабочего
воздушного
зазора 10
2.3 Расчет моментов
сопротивления
движению якоря
в
характерных
точках 11
2.4 Построение
механической
характеристики 12
3. Расчет основных
параметров
магнитной
цепи 13
3.1 Определение
значений магнитного
потока 13
3.2 Расчет
магнитной
проводимости
воздушного
зазора для
различных
положений
якоря 13
3.3 Расчет МДС 14
3.4 Определение
магнитной
индукции и
напряженности
поля 15
3.5 Расчет
характеристик
магнитной
цепи 16
4. Расчет
электромагнитной
катушки 17
4.1
Определение
размеров катушки
и параметров
обмотки 17
4.2
Тепловой расчет
обмотки 19
Вывод 21
Литература 22
                                     
ВВЕДЕНИ
Электрические
аппараты имеют
следующие
конструктивные
элементы: проводники
– части цепи
тока, обеспечивающие
соединение
отдельных
частей аппаратов
друг с другом;
катушки – детали
аппаратов,
создающие
магнитный
поток; контакты
– детали, обеспечивающие
замыкание или
размыкание
электрических
цепей; дугогасительные
устройства
– элементы
аппаратов,
осуществляющие
гашение электрической
дуги, возникающей
между контактами
при их размыкании;
приводы – части
аппаратов,
осуществляющие
рабочее перемещение
подвижных
деталей, т. е.
срабатывание
аппаратов.
В данном
проекте разработана
конструкция
аппарата коммутации
электрических
цепей ПС ГЭТ.
Для расчета
был взят контактор
– прототип
КПВ-604.
1 . РАЗРАБОТКА
ЭСКИЗНОГО
ПРОЕКТА КОНСТРУКЦИЙ
КОНТАКТОРА
1.1 Устройство
и принцип работы
контактора
КПВ-604
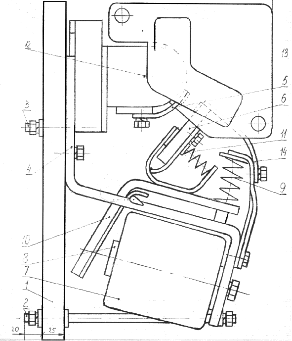
На рисунке
1.1 изображен
контактор
КПВ-604. Он имеет
магнитопровод
клапанного
типа.

Рисунок 1.1 –
Общий вид контактора
КПВ-604
На
рисунке 1.1 показано
устройство
и принцип работы
контактора
КПВ-604. Крепление
к контакторной
панели 1 производится
при помощи
болтов 2 и 3. Роль
основного
связующего
элемента
выполняет ярмо
4, к которому
крепится неподвижный
контакт 5 с
дугогасящим
устройством,
а также система
подвижного
контакта 6 с
электромагнитным
приводом. При
возбуждении
катушки 7 ее
сердечник 8
преодолевает
сопротивление
возвращающей
пружины 9 и
притягивает
якорь 10, обеспечивая
замыкание
подвижного
контакта с
неподвижным.
Держатель
подвижного
контакта
обеспечивает
возможность
некоторого
его поворота
и скольжения
относительно
неподвижного
контакта,
благодаря чему
при помощи
пружины 11 достигается
необходимое
притирание.
Размыкание
контактов
происходит
при помощи
возвращающей
пружины после
прекращения
питания втягивающей
катушки.
Дугогасительное
устройство
состоит из
дугогасительной
катушки 12,
дугогасительной
камеры 13 и
дугогасительных
рогов 14.
1.2 РАЗРАБОТКА
КИНЕМАТИЧЕСКОЙ
СХЕМЫ ПОДВИЖНОЙ
ЧАСТИ АППАРАТА
Вычерчиваем
в масштабе
упрощенную
кинематическую
схему контактора
(рисунок 1.1).

Рисунок
1.2 – Кинематическая
схема подвижной
части контактораКПВ-604.
Размеры
подвижной части
контактора
определяем
из кинематической
схемы.
l1=0,065м,
l2=0,13м,
l3=0,112м,
l4=0,092м,
l5=0,042м.
Расчетная
схема контактора
КПВ-604 представлена
на рисунке 1.3.
Рисунок 1.3 –
Расчетная
схема контактора
КПВ-604
2 . РАСЧЕТ И
ПОСТРОЕНИЕ
МЕХАНИЧЕСКИХ
ХАРАКТЕРИСТИК
2.1 Определение
параметров
контактов
Сила
нажатия в силовом
контакте контактора
определяется
из условия
 ,
принимаем
,
Pc
= Ik/5
= 190/5 = 38 H.
Ширина
контакта силовой
части контактора
выбирается
исходя из выражения
,
принимаем
,
b
= Ik/15000
= 190/15000 = 0,0126
м.
Раствор
контактов
принимается
в зависимости
от максимального
коммутируемого
напряжения
и условий работы
(принимаем
м).
Размер
катушки определяем
по зависимости
(принимаем dk=
0,085 м).
Длина
катушки контактора
может быть
определена
из соотношения

тогда
lk
= 1,5dk
= 1,5·0,085 = 0,1275 м.
,
принимаем
,
hk
= lk
/5 = 0,1275 /5 = 0,0255 м.
С
учётом необходимости
изоляции обмотки
от корпуса
(принимаем
hk=0,028
м).
Диаметр
сердечника
катушки контактора
dc,
м, определяется
по следующей
формуле
dc
= dk
– 2hk
=0,085 – 2·0,028 = 0,029 м.
Диаметр наконечника
сердечника
dн, м,
определяется
по следующей
формуле
dн
= dc+0,011=0,04
м.
Высота
наконечника
сердечника
катушки hн=
0,006 м.
2.2 Определение
величины рабочего
воздушного
зазора
Провал силового
контакта контактора
, м, равен
м.
Воздушный
зазор между
якорем и наконечником
сердечника
,м,
определяется
из кинематической
схемы контактора:
м.
Величина
воздушного
рабочего зазаора,
соответствующая
провалу
= 0,003 м.
Деформация
возвращающей
пружины
,
м, в характерных
точках
м;
м.
Деформация
притирающей
пружины
,
м, равна
м.
Принимаем
предварительную
затяжку пружин
и их жёсткость.
Для возвращающей
пружины:
 
Принимаем
С1= 500 Н/м
Для притирающей
пружины:
 
Принимаем
С2= 3000 Н/м
2.3 Расчет моментов
сопротивления
движению якоря
в
характерных
точках
Определим
моменты сопротивления
в характерных
точках
Mb=P1·l3=7,6·0,112=0,85
H·м;
Mc=(P1+C1·c)·l3=(7,6+500·0,0172)·0,112=1,81
H·м;
Md=
Mc
+P2·l5·l2/l4=1,81+83·0,042·0,13/0,092=6,736
H·м;
Me=Md+C1·(
-c)·l3+C2·n·l5·l2/l4=6,736
+
+500·(0,0224-0,0172)·0,112+3000·0,0027·0,042·0,13/0,092=7,51
H·м;
Определяем
силы притяжения
между якорем
и сердечником
катушки, необходимые
для преодоления
моментов
сопротивления
в характерных
точках:
 
 

 
2.4 Построение
механической
характеристики
Механическую
характеристику
строим по значениям
моментов в
характерных
точках, рассчитанных
в пункте 2.3 в
зависимости
от изменения
рабочего воздушного
зазора.
Рисунок 2.2 –
механическая
характеристика.
3 Расчет основных
параметров
магнитной цепи
3.1
Определение
значений магнитного
потока
Вычислим
значения магнитного
потока Ф, Вб,
необходимого
для реализации
притяжения
якоря к сердечнику
в характерных
точках, с помощью
формулы Максвелла:
,
где
,
Тогда
,
Фb
=
Вб,
Фc
=
Вб,
Фd
=
Вб,
Фe
=
Вб.
3.2 Расчет
магнитной
проводимости
воздушного
зазора для
различных
положений якоря
Проводимость
воздушного
зазора G,
ВЧс/А,
для различных
положений якоря
,
таким
образом: Gb
=
ВЧс/А,
Gd
=
ВЧс/А.
3.3 Расчет МДС
Магнитодвижущая
сила F, А,
для проведения
магнитопотока
через воздушный
зазор
Fi
= Фi
/ Gi,
тогда
Fb
=
А,
Fd
=
А.
3.4 Определение
магнитной
индукции и
напряженности
поля
Сечение
ярма контактора
fя
= а·b,
где а
– ширина ярма
контактора,
принимается
из условия
(принимаем
а = 0,08 м);
b
– толщина ярма
контактора,
b
= (0,005 – 0,015) м; (принимаем
b
= 0,0075 м);
fя
= 0,08·0,0075 = 6·10-4
м2.
Сечение
сердечника
катушки контактора
fс
= π·d2c
/ 4= 3,14·0,0292
/4 = 6,6·10-4
м2.
Магнитная
индукция в ярме
Вiя
= Фi
/ fя,
Вbя
= 20,2·10-5 / 6·10-4 = 0,33
Тл,
Вся = 29,6·10-5
/ 6·10-4 = 0,49 Тл,
Вdя
= 57,1·10-5 / 6·10-4 = 0,95
Тл,
Вeя
= 60,4·10-5 / 6·10-4 = 1,01
Тл.
Индукция
в сердечнике
катушки
Вiс
= Фi
/ fс,
Вbс
= 20,2·10-5 /
6,6·10-4 =
0,30 Тл
Вcс
= 29,6·10-5 /
6,6·10-4 =
0,45 Тл
Вdс
= 57,1·10-5 /
6,6·10-4 =
0,86 Тл
Вeс
= 60,4·10-5 / 6,6·10-4 = 0,92
Тл,
По справочнику
[2] находим значения
напряженности
поля в ярме и
сердечнике
катушки для
характерных
точек:
Hbя
= 150 А/м; Hся
= 300 А/м; Hdя
= 870 А/м; Hея
= 980 А/м;
Hbc
= 140 А/м; Hсс
= 265 А/м;Hdc
= 740 А/м; Hec
= 830 А/м.
3.5 Расчет характеристик
магнитной цепи
Длина
средней силовой
линии равна
в ярме
контактора
хя,
м:
хя
= 2·l1
+ lk
+ hн+b
= 2·0,065+0,1275+0,0075+0,006
= 0,271
м,
в сердечнике
катушки контактора
xc,
м:
xc
= lk
+ hн
= 0,1275 + 0,006 = 0,1335 м.
Cуммарные
намагничивающие
силы
ΣFb
и ΣFd
, А:
ΣFb
= Fb+
Hbя·
хя+Hbc·xc
= 1929+150·0,271+140·0,1335=1990 А,
ΣFd
=Fd+Hdя·хя+Hdc·x
= 1300+870·0,271+740·0,1335=1635
А.
Для
дальнейшего
расчета катушки
контактора
принимаем
наибольшую
намагничивающую
силу ΣF
= 1990 А.
4 Расчет электромагнитной
катушки
4.1 Определение
размеров катушки
и параметров
обмотки
Принимаем
рабочий ток
катушки контактора
IП = 0,25 А.
Число
витков W
катушки контактора
W = ΣF
/ IП =
1990 / 0,25 = 7960.
Диаметр
провода катушки
контактора
dпр, м,
определяется
по формуле
dпр =
1,13 ,
где Δ,
А/мм2 – плотность
тока в проводнике
(для расчета
принимаем:
Δ = 4 А/мм2);
dпр =
1,13 =
0,2825 мм.
Согласно
справочнику
[2] принимаем
диаметр провода
катушки ближайший
к стандартным
значениям. В
нашем случае
dпр =
0,29 мм, а с учетом
изоляции d`пр
= 0,325 мм, Sпр=0,0661мм2.
Расчетное
значение сечения
окна S0,
м2, определяется
по формуле
S0 =
,
где fk
– коэффициентзаполнения,
для катущек
электрических
аппаратов
fk=0,4;
S0
=
0,00165
м2.
Длина
намотки катушки
lн , м,
определяется
по формуле
lн = lk
– 2·ak,

где ак –
толщина каркаса,
для катушек
электрических
аппаратов ак
= (0,001- 0,003) м.
Принимаем
ак = 0,00225 м;
lн =
0,1275 – 2·0,00225 = 0,123 м,
h`н
= So
/ lн
= 0,00166 / 0,123 = 0,0135 м.
Принимаем
рядную обмотку
с наложением
изоляции между
слоями толщиной
ан = 0,0003 м:
nc
= W·d`пр
/ lн
= 7960·0,325·10-3 / 0,123 = 21 слой.
Общая
высота намотки
ho,
м, определяется
по формуле
ho
= h`н
+ nс
·aн=
0,0135 + 21·0,0003 = 0,0198 м.
Средняя
длина витка
катушки
,
м, определяется
по формуле
,
где dmin
= dc
+ 2·ak
= 0,029 + 2·0,00225 = 0,0335 м,
dmax
= dc
+ 2·ak
+ 2·ho
= 0,029 + 2·0,0198 + 2·0,00225
= 0,0736 м,
0,168
м.
Общая
длина намотки
Lo,
м, определяется
по формуле
Lo
= lcp·W
= 0.168·7960 = 1337 м.

Сопротивление
катушки Rk,
Ом, определяется
по формуле
Rk
= ρ·Lo
/ Sпр,
где ρ
– сопротивление
меди при ожидаемой
температуре
нагрева катушки
которая принята
40о С. Величина
удельного
сопротивления
выбирается
по справочнику
[2],
Sпр
– площадь поперечного
сечения проводника
выбирается
по справочнику
[2].
Rk
=1,99·10-8·1337 / 0,0661·10-6
= 402 Ом
При
напряжении
в катушке 110 В,
ток Iпк,
А, в катушке
составит:
Iпк
= Uп / Rk,
Iпк
= Uп / Rk
= 110 / 402 = 0,27 A.
4.2 Тепловой расчет
обмотки
Предполагаемый
нагрев катушки
Θ,
оС, выражается
из следующей
формулы
I2 пкRk
= o(Sн
+·
Sв)Θ,
где о
– удельный
коэффициент
теплоотдачи,
выбирается
из справочника
[2],
– коэффициент,
учитывающий
расположение
катушки; для
катушки со
стальным
сердечником
= 2,4,
Sн –
наружная поверхность
катушки,
Sв –
внутренняя
поверхность
катушки,
Sн =
π·dmax
·lн
= 3,14·0,0736·0,123 = 0,0284 м2,
Sв =
π·dmin·lн
= 3,14·0,0335 ·0,123 = 0,0129 м2,
Θ
=
45О
С.
Температура
нагрева катушки
контактора
t, ОС,
определяется
по следующей
формуле
t = Θ
+ tнар
= 45 + 20 = 65О С
Принимаем
провод с изоляцией
класса А марки
ПЭЛ диаметром
0,29мм.
Вывод
В
данном курсовом
проекте был
разработан
контактор,
который, судя
по характеристикам
на рисунке 2.2
пригоден для
рабочего
использования.
Недостатками
данного контактора
являются:
ненужные
затраты электроэнергии
для срабатывания;
удар
в момент касания
контактов за
счет большой
ускоряющей
силы.
В результате
расчета электромагнитной
катушки мы
определили,
что необходимо
выбрать класс
нагревостойкости
А и марку провода
– ПЭЛ.
Литература
1. Ефремов
И.С., Косарев
Г.В. Теория и
расчет электрического
оборудования
подвижного
состава городского
электрического
транспорта.
– М. 1976.
2. Пролыгин
А.П., Рабинович
А.А. Электрооборудование
подвижного
состава городского
электрифицированного
транспорта.
– М.: Энергия,
1973.
Министерство
образования
Республики
Беларусь
Белорусский
государственный
университет
транспорта
Кафедра
“Электрический
подвижной
состав”
КУРСОВОЙ
ПРОЕКТ
по
дисциплине
“Электрическое
оборудование
городского
электрического
транспорта”
Принял Выполнил
доцент ст.
группы
Ергучев
Л.А.
2004
Министерство
образования
Республики
Беларусь
Белорусский
государственный
университет
транспорта
Кафедра
“Электрический
подвижной
состав”
РАСЧЕТ И
ПРОЕКТИРОВАНИЕ
ЭЛЕКТРИЧЕСКОГО
АППАРАТА КПВ-604
Выполнил
студент
группы
.
2004

Министерство
образования
Республики
Беларусь
Белорусский
государственный
университет
транспорта
Кафедра
“Электрический
подвижной
состав”
ЗАДАНИЕ
на
курсовой проект
по дисциплине
“Электрическое
оборудование
городского
электрического
транспорта”
Тема:
«Расчет и
проектирование
электрического
аппарата»
Подлежит
разработке:
Разработка
эскизного
проекта конструкций
контактора
Расчет и
построение
механических
характеристик
Расчет основных
параметров
магнитной цепи
4. Расчет
электромагнитной
катушки
Исходные
данные
1. Контактор-прототип КПВ-604
2. Ток
коммутационной
цепи Iк,
А 190
3.
Напряжение
коммутационной
цепи Uк,
В 220
4.
Напряжение
цепи управления
Uп,
В 110 |